相关产品推荐更多 >
万千商家帮你免费找货
0 人在求购买到急需产品
- 详细信息
- 文献和实验
- 技术资料
- 保存条件:
冷藏
- 保质期:
长期
- 英文名:
Cefalexin
- 库存:
508
- 供应商:
北京百奥莱博科技有限公司
特别声明:本产品及我公司所售其他产品均为科研类试剂产品,严禁用于药物、医疗及其他非科研用途。
头孢*苄标准品厂家直销的品牌:百奥莱博,是优质的标准品对照品产品,用于生化科研试验,本产品质量好,且极具价格优势,深为用户称道,了解更多头孢*苄等标准品对照品产品请联系我司咨询订购。
名称:头孢*苄标准品厂家直销
产地:国产|进口
编号:BP1594
规格:200mg/支
品牌:百奥莱博
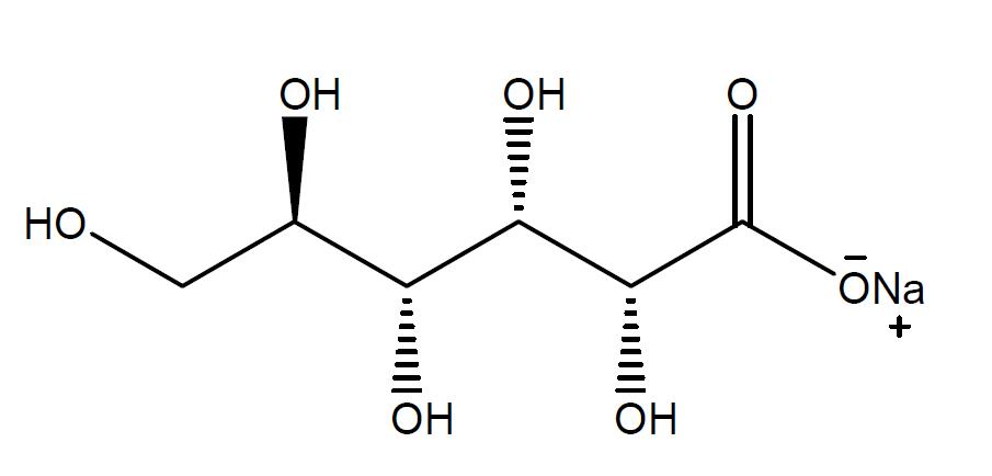
本品为头孢*苄标准品,供含量测定用。
分子式:C16H17N3O4S·H2O
分子量:365.41
结构式:
包装:安瓿
装量:约200mg/支
储存条件:置4℃以下条件低温避光保存。
头孢*苄标准品厂家直销极具性价比,此外,我公司正火爆促销以下产品:
BTN101002 KOD DNA聚合酶 KOD DNA Polymerase
ARB10464 人生长激素释放肽(GHRP-Ghrelin)含量测试 Human growth hormone releasing Peptide-ghrelin,ghrp-ghrelin ELISA KIT
甲基磺酸乙酯 Magnesium trisilicate 62-50-0
DL-胱*酸 THAM 923-32-0
NF-221 抗人HBsAg血清
ARB14242 猪金属硫蛋白(MT)Elisa分析
DL-高半胱*酸 Ferrosoferric oxide 454-29-5
74-79-3 L-Arginine L-精*酸
PY02-148 DNA酶甲基绿琼脂基础 100克
SJ0742 大鼠白细胞分离液
角豆胶 Sarcosine ethyl ester HC1 9000-40-2
BTN131121 蛋白折叠试剂盒 Protein Folding Kit
BFD057 玉米赤霉烯酮快速检测卡
3",6"-二*荧光素 MEGA-9 630-88-6
F030503 FITC标记小鼠抗乙肝表面抗原抗体 Monoclonal Mouse Anti-HBsAg*FITC
ARB10963 人免疫核糖核酸(IrnA)酶免分析 Human immune rna,irna ELISA KIT
BL1215 *甲*(代"酚")绿-甲基红指示剂溶液
BL0807 HRP标记羊抗人IgG抗体
ARB10113 人I型胶原蛋白(COL-1)酶联免疫定量检测 Human collagen type i,col-1 ELISA KIT
ARB11833 人整合素连接激酶1(ILK-1)Elisa分析 Human integrin-linked kinase 1,ilk-1 ELISA KIT
ARB13754 骆驼β内啡肽(β-EP)酶标法分析 Camel beta-endorphin,β-ep ELISA KIT
A4016-28 山羊血清Goat Serum
头孢*苄标准品厂家直销关键词:头孢*苄,BP1594,Cefalexin
CYB163029 羊抗人IgG、A、M-RBITC
ARB11130 人肺癌标志物DR-70(DR-70TM)定量分析 Human tumor marker dr-70 for lung cancer,dr-70tm ELISA KIT
58-58-2 嘌呤霉素盐*(代"酸")盐 Puromycin,2HCl
PY02-384 R2A琼脂 250克
F030711 BIOTIN标记羊抗乙肝核心抗原抗体 Polyclonal Goat Anti-HBcAg*BIOTIN
ARB10434 人甲状旁腺激素相关蛋白(PTHrP)含量测试 Human paRathyroid hormone related protein,pthrp ELISA KIT
SJ0543 Sepharose CL-4B
65455-52-9 Percoll 细胞分离液
ARB11876 人激动异构酶/细胞分裂素MB(CKMB)代做ELISA实验 Human cytokinin mb,ckmb ELISA KIT
42934-87-2 NADPH 还原型辅酶Ⅱ四*
N-羟基琥珀酰亚胺生物素 DPG 35013-72-0
11070-73-8 Insulin 牛胰岛素
PY02-093 亮绿乳糖胆盐培养基 250克
ARB10953 人肝细胞生长因子受体(HGFR)检测服务 Human hepatocyte growth factor receptor, hgfr ELISA KIT
对羟基*甲*(代"酸")丙酯 Thymolphthalein 94-13-3
ARB11151 人肿瘤特异生长因子/肿瘤相关因子(TSGF)酶标法分析 Human tumor specific growth facter/tumor supplied group of factor,tsgf ELISA KIT
ARB13501 鸡硫*(代"酸")类肝素(HS)酶免分析 Chicken heparan sulfate,hs ELISA KIT
BTN130666 尿嘧啶切刻酶 Uracile Nicking Enzyme
头孢*苄标准品厂家直销关键词:头孢*苄,BP1594,Cefalexin
头孢*苄等级划分:
我国的试剂规格基本上按纯度(杂质含量的多少)划分,共有高纯、光谱纯、基准、分光纯、优级纯、分析和化学纯等7种。国家和主管部门颁布质量指标的主要优级纯、分级纯和化学纯3种。
(1)优级纯(GR),又称一级品或保证试剂,99.8%,这种试剂纯度最高,杂质含量最低,适合于重要精密的分析工作和科学研究工作,使用绿色瓶签。
(2)分析纯(AR),又称二级试剂,纯度很高,99.7%,略次于优级纯,适合于重要分析及一般研究工作,使用红色瓶签。
(3)化学纯(CP),又称三级试剂,≥ 99.5%,纯度与分析纯相差较大,适用于工矿、学校一般分析工作。使用蓝色(深蓝色)标签。
(4)实验试剂(LR),又称四级试剂。
·葡萄糖酸*
编号:BP0568
英文名称:Sodium Gluconate
规格:100mg/支
本品为葡萄糖酸*化学对照品,使用前不需干燥处理,供HPLC法测定,按C6H11NaO7计,含量为99.4%。
CAS号:527-07-1
分子式:C6H11NaO7
分子量:218.14
结构式:

包装:棕色小瓶装
规格:每支约100毫克。
储存条件:遮光,密闭,10~30℃干燥处保存。
·人参二醇
编号:BP1013
英文名称:Panaxadiol
规格:20mg/支
本品为人参二醇化学对照品,供相关物质鉴别用。含量测定用时,置五氧化二磷减压干燥器中干燥12小时以上使用,含量以99.3%计。
CAS号:19666-76-3
分子式:C30H52O3
分子量:460.73
包装:棕色瓶
装量:约20mg/支。
储存条件:冷处(2~10℃)
·吡唑(扎那米韦杂质)
编号:BP0898
英文名称:Pyrazole
规格:50mg
本品为吡唑(扎那米韦杂质)化学对照品,使用前不需干燥处理,供HPLC法检查用,按C3H4N2计,含量为100%。
CAS号:288-13-1
分子式:C3H4N2
分子量:68.08
包装及装量:棕色安瓿装,每支约50毫克。
储存条件:遮光,阴凉处保存。
注意事项:使用前不需干燥处理。
·帕米膦酸二*
编号:BP0726
英文名称:Pamidronate Disodiu*(代"m")
规格:100mg
本品为帕米膦酸二*五水合物,供HPLC法测定,按C3H9NNa2O7P2计,含量为99.6%。
CAS号:109552-15-0
分子式:C3H9NNa2O7P2
分子量:369.11
包装及装量:棕色小瓶装,每支约100毫克。
储存条件:遮光,密封保存。
注意事项:150℃减压干燥3小时后使用。
我公司立足北京,辐射全国。随着产品战略的不断延伸,产品理念的不断完善,百奥莱博将逐步成长为一流的生化试剂供应商,并一如既往的为您提供优质的头孢*苄和完善的售后服务,与您一起携手整合各自的优势资源,竭尽全力支持您的事业,为中国生命科学的发展贡献一份力量。
我公司是一家集研发、销*(代"售")、实验室技术服务于一体的高科技企业。 多年来一直处于行业前沿。我们专业经营培养基、生化试剂、头孢*苄、进口ELISA试剂盒、化工产品、实验室消耗品、实验室耗材以及实验室器材。产品涉及分子生物学、细胞生物学、细菌学、遗传学、免疫学、生物化学、蛋白质学、细胞治疗等领域。
我公司正在优惠促销标准品对照品等系列产品,期待您的咨询选购头孢*苄标准品厂家直销。
风险提示:丁香通仅作为第三方平台,为商家信息发布提供平台空间。用户咨询产品时请注意保护个人信息及财产安全,合理判断,谨慎选购商品,商家和用户对交易行为负责。对于医疗器械类产品,请先查证核实企业经营资质和医疗器械产品注册证情况。
文献和实验剂不能含有甲醇;2)不同的酮类化合物使用不同的标准品。可使用库仑法和容量法检测酮类产品,根据检测对象选择检测方法及适用试剂。 下面非活性羰基化合物可以使用含有甲醇的脱水溶剂(GEX/MS)直接滴定:对异丙基酮、樟脑、二苯酮、脱氧安息香、苄基、安息香、茜素、醌茜素、茚三酮。 其他物质,须使用酮类试剂。如下: 应用实例 1、容量法滴定 滴定剂:AQUAMICRON® Titrant SS-Z (or SS) 酮类脱水溶剂:AQUAMICRON ®
技术资料暂无技术资料 索取技术资料










