万千商家帮你免费找货
0 人在求购买到急需产品
- 详细信息
- 技术资料
- 保存条件:
2~10℃
- 保质期:
长期
- 英文名:
Cyasterone
- 库存:
915
- 供应商:
北京百奥莱博科技有限公司
- CAS号:
17086-76-9
特别声明:本产品及我公司所售其他产品均为科研类试剂产品,严禁用于药物、医疗及其他非科研用途。
杯苋甾酮对照品价格是高品质的标准品对照品产品,由北京百奥莱博供应,用于科研实验,本产品质量好,且极具价格优势,深为用户称道,了解更多杯苋甾酮等标准品对照品产品请联系我司咨询订购。
名称:杯苋甾酮对照品价格
规格:约20mg/支
英文名:Cyasterone
编号:BP1374
品牌:百奥莱博
产地:国产|进口
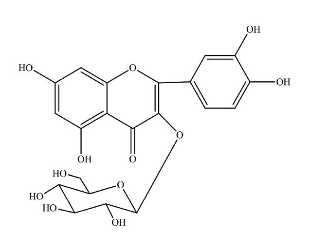
本品为杯苋甾酮化学对照品,鉴别或含量测定用,含量以95.3%计,使用前不需干燥处理。
CAS号:17086-76-9
分子式:C29H44O8
分子量:520.65
结构式:

包装:棕色安瓿
规格:约20mg/支
储存条件:冷处(2~10℃)
注意事项:本品有引湿性,建议打开包装一次性使用完。
欲咨询购买杯苋甾酮对照品价格,请致电北京百奥莱博科技有限公司,为您提供最全面周到的产品服务,除此之外,我公司正在促销以下产品:
·三磷酸腺苷二*
编号:BP1822
英文名称:Adenosine Disodiu*(代"m") Triphosphate
规格:10mg
本品为三磷酸腺苷二*化学对照品,供三磷酸腺苷辅酶胰岛素鉴别用,使用前不需干燥处理。
分子式:C10H14N5Na2O13P3·3H2O
分子量:605.19
包装:棕色小瓶
规格:每瓶10mg
储存条件:密封,阴凉干燥处保存。
·碘塞罗宁
编号:BP2128
英文名称:Liothyronine
规格:50mg/瓶
本品为碘塞罗宁化学对照品,供HPLC法鉴别和含量测定用。以C15H12I3NO4计,含量为99.2%,使用前不需干燥处理。
CAS号:5817-39-0
分子式:C15H12I3NO4
分子量:650.97
结构式:

包装:棕色安瓿瓶
规格:约50毫克/支
储存条件:密闭避光-20℃下保存
·黄豆甙元
编号:BP0278
英文名称:Daidzein
规格:100mg
本品为黄豆苷元的化学对照品。供含量测定用。按C15H10O4计,供HPLC法测定,含量为99.7%;供UV法测定,含量为100.0%。
分子式:C15H10O4
分子量:254.24
CAS号:486-66-8
包装及装量:棕色小瓶装,每支约100毫克。
储存条件:遮光,密封,在干燥处保存。
注意事项:使用前不需干燥处理。
杯苋甾酮对照品价格关键词:Cyasterone,杯苋甾酮,17086-76-9
·*解磷定
编号:BP0388
规格:100mg
·安替比林
编号:BP0393
英文名称:Phenazone
规格:200毫克/支
本品为安替比林化学对照品,供含量测定用,使用前不需干燥处理,供分光光度法测定,按C11H12N2O计,含量为100%。
分子式:C11H12N2O
分子量:188.23
CAS号:60-80-0
包装:棕色西林瓶
规格:约200毫克/支
储存条件:遮光,密闭,10~30℃保存
·右旋酮洛芬*丁三醇
编号:BP0923
英文名称:Dexketoprofen Trometamol
规格:100mg
本品为右旋酮洛芬*丁三醇化学对照品,供含量测定用。60℃减压干燥4小时后使用。按C16H14O3·C4H11NO3计,供UV法测定,含量为100%。
CAS号:156604-79-4
分子式:C16H14O3·C4H11NO3
分子量:375.43
包装:棕色西林瓶
规格:约100毫克/支
储存条件:遮光,密闭保存
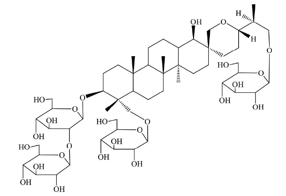
·凤仙萜四醇苷K
编号:BP1532
英文名称:Hosenkoside K
规格:20mg/支
本品为凤仙萜四醇苷K化学对照品,供含量测定用,含量以92.8%计,使用前不需干燥处理。
CAS号:160896-49-1
分子式:C54H92O25
分子量:1141.29
结构式:

包装:棕色安瓿瓶
规格:约20mg/支
储存条件:冷处(2-10℃)保存
注意事项:本品具有引湿性,建议打开包装一次性使用完。
杯苋甾酮对照品价格关键词:Cyasterone,杯苋甾酮,17086-76-9
我公司拥有专业生化试剂实验和销*(代"售")经验,为专业的您提供专业的服务。种类丰富,*基酸类、酶类、维生素类、杯苋甾酮、缓冲剂类、色素类、植物激素及核酸类、碳水化合物类、抗生素类均有销*(代"售")。品牌代理,质量保障,其产品涉及生命科学的所有领域,包括生化试剂,抗体,ELISA试剂盒等等。
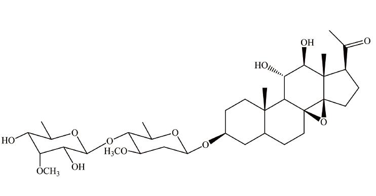
·通光散苷A
编号:BP1490
英文名称:Tenacigenoside A
规格:20mg
本品为通光散苷A化学对照品,供鉴别和含量测定用,含量以98.8%计。
CAS号:920502-42-7
分子式:C35H56O12
分子量:668.81
结构式:

包装及装量:棕色安瓿瓶,约20mg/支
储存条件:常温干燥、密闭遮光保存。
注意事项:使用前无需处理。
·帕珠沙星
编号:BP1629
英文名称:Pazufloxacin
规格:100mg
本品为帕珠沙星化学对照品,供含量测定用。
分子式:C16H15FN2O4·CH3SO3H
分子量:414.41
结构式:
包装及装量:安瓿;约100mg/支
储存条件:置4℃以下条件低温避光保存。
·醋酸**可的松
编号:BP0009
英文名称:Fludrocortisone Acetate
规格:100mg
本品为帕珠沙星化学对照品,供含量测定用。
分子式:C16H15FN2O4·CH3SO3H
分子量:414.41
结构式:
包装及装量:安瓿;约100mg/支
储存条件:置4℃以下条件低温避光保存。
·盐*(代"酸")异丙肾上腺素
编号:BP0133
英文名称:Isoprenaline [Isoproterenol]Hydrochloride
规格:50mg
本品为盐*(代"酸")异丙肾上腺素的化学对照品,使用前不需干燥处理,按C11H17NO3·HCl计,供HPLC法测定,含量为99.2%,供UV法测定,含量为99.9%.
分子式:C11H17NO3·HCl
分子量:247.72
CAS号:51-30-9
包装:棕色小瓶装
规格:约50mg/支
储存条件:避光,密封保存
我公司是一家专业经营生化试剂、仪器、杯苋甾酮、实验室耗材的公司,代理许多国际先进水平的高科技产品,包括分子生物学、细胞生物学、免疫学等多个研究及应用领域。我们努力将欧美专业生产厂家的具有国际先进水平的产品推荐给各类研究人员;另一方面也非常重视自主产品研究和开发,推出了一系列具有竞争力的产品和服务。同时国家对于生物行业的发展给予了极大的重视,更多地侧重于科研的投入。
我公司是一家生物高新技术企业,主要从事免疫学、分子生物学和常规生化试剂的研发、销*(代"售")。并代理销*(代"售")Omega、Sigma、R&D、GBD、ATCC、HYCLONE等二十多家国外知名品牌,致力于为广大高校、科研院所和企事业单位提供一流的科研试剂和完善的技术服务,满足生物化学、分子生物学 、杯苋甾酮、细胞生物学、免疫学 ELISA试剂盒等生物科技实验需求。
北京百莱博科技有限公司专业生产供应销*(代"售")生物试剂、化学试剂、抗原抗体、血清血浆、Elisa试剂盒,更多试剂产品需求,欢迎来电咨询选购杯苋甾酮对照品价格。
风险提示:丁香通仅作为第三方平台,为商家信息发布提供平台空间。用户咨询产品时请注意保护个人信息及财产安全,合理判断,谨慎选购商品,商家和用户对交易行为负责。对于医疗器械类产品,请先查证核实企业经营资质和医疗器械产品注册证情况。
技术资料暂无技术资料 索取技术资料









