万千商家帮你免费找货
0 人在求购买到急需产品
- 详细信息
- 文献和实验
- 技术资料
- 保存条件:
2-10℃
- 保质期:
长期
- 英文名:
Amygdalin
- 库存:
511
- 供应商:
北京百奥莱博科技有限公司
- CAS号:
29883-15-6
特别声明:本产品及我公司所售其他产品均为科研类试剂产品,严禁用于药物、医疗及其他非科研用途。
北京百奥莱博公司供应包括苦杏仁苷标准品厂家现货在内的化学标准品,化学对照品,杂志对照品,HPLC标准品,UV标准品等高品质标准品、对照品
名称:苦杏仁苷标准品厂家现货
产地:国产|进口
英文名:Amygdalin
编号:BP1106
规格:约20mg/支
品牌:百奥莱博
本品为苦杏仁苷化学对照品,供鉴别或含量测定用,使用前不需干燥处理,含量以90.7%计。
CAS号:29883-15-6
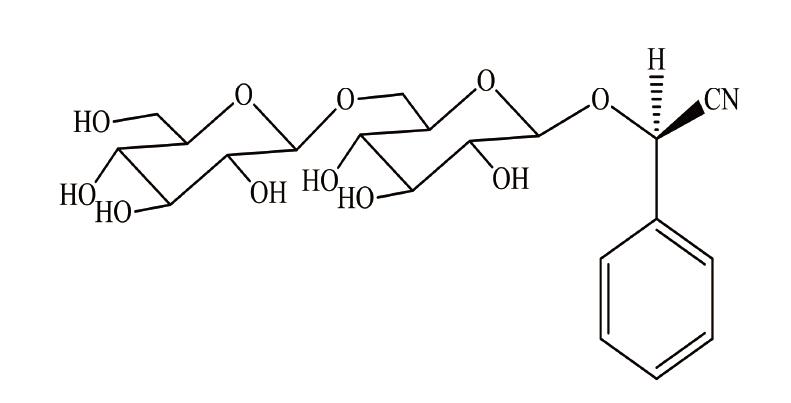
分子式:C20H27O11
分子量:457.4
结构式:

包装:棕色安瓿瓶
装量:约20mg/支
储存条件:冷处(2-10℃)保存
我公司的苦杏仁苷标准品厂家现货,性价比高,货期短,送货上门,欢迎您来电咨询购买,另外,我公司还生产供应销*(代"售")下列产品:
ARB11913 人鳞状上皮细胞癌抗原2(SCCAg-2)酶联免疫定量检测 Human squamous cell carcinoma antigen 2,sccag 2 ELISA KIT
三*乙酸 Phenylhydrazine hydrochloride 76-05-1
HC0195 记号笔(红色)
卡特缩合剂 IAM 56602-33-6
ARB11372 人前列腺素F(PGF)含量检测 Human prostaglandin f,pg-f ELISA KIT
ARB11720 人普通急性淋巴细胞白血病抗原(CALLA)elisa测定使用说明书 Human common acute lymphocytic leukaemia antigen,calla ELISA KIT
γ-L-谷*酰对硝基*(代"*")胺一水合物 Cresyl Violet acetate 24032-35-7
BL1407 2×Taqman PCR MasterMix
DL-苹果酸 Nifedipine 6915-15-7
乙氧基喹*(代"啉") TES sodiu*(代"m") salt 91-53-2
L-赖*酸盐*(代"酸")盐 Myristic acid 657-27-2
ARB11817 人膀胱肿瘤抗原(BTA)ELISA代测服务 Human bladder tumor antigen,bta ELISA KIT
ARB10558 人丝狀血球凝集素(FHA)含量测试 Human filamentous hemagglutinin,fha ELISA KIT
ARB13337 牛免疫球蛋白G(IgG)elisa检测说明书
苦杏仁苷标准品厂家现货关键词:Amygdalin,29883-15-6,苦杏仁苷
·芦荟大黄素
编号:BP1086
英文名称:Aloe-emodin
规格:约20mg/支
本品为芦荟大黄素化学对照品,供鉴别或含量测定用,使用前不需干燥处理,含量以98.3%计。
CAS号:481-72-1
分子式:C15H10O5
分子量:270.05
结构式:

包装:棕色安瓿
规格:约20mg/支
储存条件:冷处(2-10℃)
·双*芬酸*
编号:BP0269
英文名称:Diclofenac Sodium
规格:100mg
本品为芦荟大黄素化学对照品,供鉴别或含量测定用,使用前不需干燥处理,含量以98.3%计。
CAS号:481-72-1
分子式:C15H10O5
分子量:270.05
结构式:

包装:棕色安瓿
规格:约20mg/支
储存条件:冷处(2-10℃)
·甘草酸二铵
编号:BP0768
英文名称:Diammonium Glycyrrhizinate
规格:30mg
本品为甘草酸二铵化学对照品,供TLC法鉴别用。
CAS号:79165-06-3
分子式:C42H68N2O16
分子量:857.01
包装及装量:棕色小瓶装,每支约30毫克。
储存条件:密封,在干燥处保存。
注意事项:使用前不需干燥处理,本品具有引湿性。
·门冬*酸鸟*酸
编号:BP1872
英文名称:Ornithine Aspartate
规格:50mg/瓶
本品为门冬*酸鸟*酸化学对照品,含量以C9H19N3O6计为96.6%,供门冬*酸鸟*酸鉴别使用,以及门冬*酸鸟*酸制剂的含量测定使用。
CAS号:3230-94-2
分子式:C9H19N3O6
分子量:265.27
结构式:

包装:棕色西林瓶
装量:50mg/瓶
储存条件:4℃
·司帕沙星
编号:BP1630
英文名称:Sparfloxacin
规格:100mg/支
本品为司帕沙星化学对照品,供HPLC法含量及UV法溶出度测定用,以CHFNO计,含量为99.4%,使用前不需干燥处理。
CAS号:110871-86-8
分子式:C19H22F2N4O3
分子量:392.41
结构式:

包装:安瓿
规格:约100mg/支
储存条件:置2-8℃遮光保存。
苦杏仁苷标准品厂家现货关键词:Amygdalin,29883-15-6,苦杏仁苷
我公司严格遵守“质量优先、客户优先、技术优先、服务优先”“四项优先”原则;苦杏仁苷已被广泛应用于化学、化工、生命科学的基础研究和开发应用等诸多领域,并销往全国各地,公司客户遍布国内各大学、医院、研究所、卫生防疫、制药公司、生物公司等单位,得到广大客户的一致好评。我们的宗旨是“为客户提供最优质的产品和服务”。 百奥莱博以技术为核心并拥有完善的市场营销体系、现代化管理体系和专业化物流配送系统,最大程度满足国内外生命科研人员的产品需求。公司专门设立优质完善的客服中心及技术中心,第一时间为客户解决技术支持、产品跟踪以及售后等相关问题,旨在生命科学和医学科学研究领域创造具有国际竞争力的自主知识产权品牌产品。欢迎社会各界朋友前来洽谈业务,共创辉煌!
F030218 HRP标记兔抗猪IgG抗体 Rabbit Anti-Pig IgG*HRP
N-乙酰-L-亮*酸 5-HT 1188-21-2
F010101 小鼠抗乙肝表面抗原抗体 Monoclonal Mouse Anti-HBsAg
ARB13952 猪活化素A(ACV-A)代做ELISA实验 Porcine activin a,acv-a ELISA KIT
BL0882 兔抗山羊IgG免疫血清
C1701 大鼠血清(无菌过滤)
对羟基*乙*(代"胺") Glucose Dehydrogenase 51-67-2
植酸* BCA 14306-25-3
碳酸环己*(代"胺") Chloroauric acid hydrated 20190-03-8
13292-46-1 Rifampicin 利福平
BTN130856 T4 RNA连接酶 2(截短型) T4 RNA Ligase 2(truncated)
BL1078 标准胎牛血清
BTN120686 细胞松弛素B溶液 Cytochalasin B Solution
我公司倾力为客户提供最优 、最全、最有效的苦杏仁苷等科研试剂产品,质量被全国各大院校科研机构认可。 同时,我们售前,售中,售后全程为您服务。欢迎来电咨询!
本公司免费技术支持,由专业的技术人员和销*(代"售")人员为科研用户提供全面的技术支持和完善的售前、售中、售后服务。百奥莱博暑期大促,凡够买我司各种生物试剂、抗体、ELISA试剂盒、抗原、血清、血浆、苦杏仁苷、脱纤维血、抗凝血、裂解血、分子生物学试剂、培养基等优质试剂,均可享受超低会员价,各种高品质科研试剂及各种规格包装均可定制,如有需要请联系我们。
北京百莱博科技有限公司专业生产供应销*(代"售")生物试剂、化学试剂、抗原抗体、血清血浆、Elisa试剂盒,更多试剂产品需求,欢迎来电咨询选购苦杏仁苷标准品厂家现货。
风险提示:丁香通仅作为第三方平台,为商家信息发布提供平台空间。用户咨询产品时请注意保护个人信息及财产安全,合理判断,谨慎选购商品,商家和用户对交易行为负责。对于医疗器械类产品,请先查证核实企业经营资质和医疗器械产品注册证情况。
文献和实验本文主要介绍 ELISA 试剂盒、实验样本、相关问题,帮助大家更好地开展实验 试剂盒 Q1:科研试剂盒与临床试剂盒的区别 ? A1:临床试剂是经过权威机构认可的,如 FDA、CFDA 等;而科研试剂一般是厂家自主研制,不需要通过权威机构验证。 经营临床诊断类产品的机构需要取得《医疗器械经营企业许可证》;经营科研试剂的机构不需要此证件。 临床试剂盒一般仅用于检测人血清/血浆等较为单一的分泌性样本类型;科研试剂盒的样本检测种类、检测范围则比临床试剂盒宽广得多。但一般来说,临床试剂盒的质量
清白蛋白。 二、各等级BSA 说明 1、 等级最低的BSA,这个是普通意义上的BSA,只要主要成分是BSA的产品都可以成为牛血清白蛋白,所以他也涵盖了其他等级的BSA,所以客户要注意其纯度。 作用:一般是工业生产用。 2、 牛血清白蛋白第五组分,英文名称:BSAV,这个是生物技术级的产品,适用范围是最广的,有些厂家的BSAV脂肪酸和内毒素很低,可直接用于细胞培养,纯度高甚至可以用于任何相关实验。常用的有Roche公司的10735078001,Sigma公司
清白蛋白第五组分,英文名称:BSAV,这个是生物技术级的产品,适用范围是最广的,有些厂家的BSAV脂肪酸和内毒素很低,可直接用于细胞培养,纯度高甚至可以用于任何相关实验。常用的有Roche公司的10735078001,Sigma公司的A7906,Amresco公司的0332。 作用:Elisa实验,WB实验,因BSA分子量为66KDa,纯度高的还可用作蛋白质marker。 3、 牛血清白蛋白(无必须脂肪酸),脂肪酸含量极低,脂肪酸含量≤
技术资料暂无技术资料 索取技术资料










