相关产品推荐更多 >
万千商家帮你免费找货
0 人在求购买到急需产品
- 详细信息
- 文献和实验
- 技术资料
- 保存条件:
冷藏
- 保质期:
长期
- 英文名:
Notoginsenoside R1
- 库存:
520
- 供应商:
北京百奥莱博科技有限公司
- CAS号:
80418-24-2
特别声明:本产品及我公司所售其他产品均为科研类试剂产品,严禁用于药物、医疗及其他非科研用途。
北京百奥莱博公司供应包括北京三七皂苷R1标准品大量库存促销在内的化学标准品,化学对照品,杂志对照品,HPLC标准品,UV标准品等高品质标准品、对照品
名称:北京三七皂苷R1标准品大量库存促销
编号:BP1044
产地:国产|进口
英文名:Notoginsenoside R1
规格:约20mg/支
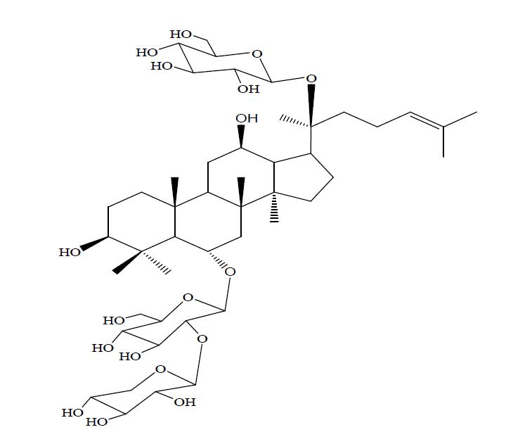
本品为三七皂苷R1化学对照品,供鉴别和含量测定用,使用前不需干燥处理。含量以95.0%计。
CAS号:80418-24-2
分子式:C47H80O18
分子量:933.13
结构式:

包装:棕色安瓿
规格:约20mg/支
储存条件:冷冻保存
注意事项:本品有引湿性,开封后一次使用完毕。
北京三七皂苷R1标准品大量库存促销极具性价比,此外,我公司正火爆促销以下产品:
BTN131140 双脱氧dNTP溶液,10mM ddNTP Solution
D-色*醇 Gly-Gly-Len 52485-52-6
盐*(代"酸")*肼 L-Dopa 59-88-1
ARB13452 鸡白血病抑制因子(LIF)酶联免疫定量检测 Chicken leukemia inhibitory factor,lif ELISA KIT
3-(N,N-二甲基十二烷基铵)丙*(代"烷")磺酸盐 Bis(4-nitrophenyl)phosphoric Acid 14933-08-5
BL1257 250bp DNA Ladder
ARB12987 小鼠抗小核糖核蛋白/Sm抗体(snRNP/Sm)检测服务 Mouse small nuclear ribonucleoprotein,snrnp/sm ELISA KIT
ARB10283 人上皮细胞粘附分子(Ep-CAM/CD362)酶标法分析 Human epithelial cell adhesion molecule,ep-cam ELISA KIT
52-89-1 L-Cysteine hydrochloride L-盐*(代"酸")半胱*酸
柠嗪酸 (+)-Usniacin 99-11-6
PY02-189 吲哚培养基 10克
ARB12996 小鼠抗平滑肌抗体(ASMA)Elisa分析 Mouse anti-smooth muscle antibody,asma ELISA KIT
ARB11341 human胎盘碱性磷酸酶(PLAP)elisa检测 Human placental alkaline pkosphatase,plap ELISA KIT
ARB11595 人晚期氧化蛋白产物(AOPP)血清中含量检测 Human advanced oxidation protein products,aopp ELISA KIT
4-硝基乙酰**(代"胺") 3,4-Dihydroxybenzoic acid 104-04-1
7235-40-7 β-胡萝卜素(原装) β-Carotene
磷钨酸 Adenine sulfate 12501-23-4
ARB12419 大鼠细胞周期素D1(CyclIn-D1)代做ELISA实验 Rat cyclin-d1 ELISA KIT
北京三七皂苷R1标准品大量库存促销关键词:Notoginsenoside R1,三七皂苷R1,80418-24-2
PY02-187 0.5%乳糖发酵培养基 250克
ZCNXQ03 特级胎牛血清 100ml
ARB10598 人血小板衍生生长因子受体(PDGFR)酶免分析 Human platelet-derived growth factor receptor α,pdgfr-α ELISA KIT
1,6-二磷酸果糖一*盐 2-Naphthoxyacetic acid sodiu*(代"m") salt 103213-33-8
四环素 Lipofectamine 2000 Transfection Reagent 60-54-8
BTN71203 柱式植物RNAOUT Column Plant RNAOUT
BTN131148 驴抗山羊IgG,碱性磷酸酶标记 Donkey Anti-Goat IgG,AP Conjugate
谷胱甘肽还原酶 Sepharose 6FF 9001-48-3
60-00-4 乙二*(代"胺")四乙酸 EDTA FREE ACLD
ARB12175 大鼠白血病抑制因子(LIF)酶联免疫定量检测 Rat leukemia inhibitory factor,lif ELISA KIT
ARB10093 人D二聚体(D2D)定量分析 Human d-dimer,d2d ELISA KIT
DL-组*酸盐*(代"酸")盐 Acridine orange 123333-71-1
BTN130651 DNA促旋酶(E.coli) DNA Gyrase(E.coli)
ARB10671 人血管紧张素Ⅱ受体IA型(AgtrIA)ELISA检测服务 Human angiotensin Ⅱ receptor type ia,agtria ELISA KIT
北京三七皂苷R1标准品大量库存促销关键词:Notoginsenoside R1,三七皂苷R1,80418-24-2
我公司向您保证所售三七皂苷R1等产品均为正品,并开具正规机打增值税普通发票,请您放心订购!
·艾瑞昔布
编号:BP0791
规格:100mg
·消旋甲*蝶呤
编号:BP2141
英文名称:Racemethotrexate
规格:50mg/支
本品为消旋甲*蝶呤化学对照品,供甲*蝶呤R异构体检查系统适用性试验用,使用前不需要干燥处理。
CAS号:60388-53-6
分子式:C20H22N8O5
分子量:454.45
结构式:

包装:棕色西林瓶装
规格:50毫克/支
储存条件:遮光,密封保存
·6-巯基嘌呤
编号:BP0036
英文名称:Mercaptopurine
规格:100mg
本品为消旋甲*蝶呤化学对照品,供甲*蝶呤R异构体检查系统适用性试验用,使用前不需要干燥处理。
CAS号:60388-53-6
分子式:C20H22N8O5
分子量:454.45
结构式:

包装:棕色西林瓶装
规格:50毫克/支
储存条件:遮光,密封保存
·毛两面针素
编号:BP1187
英文名称:Toddalolactone
规格:20mg/支
本品为毛两面针素化学对照品,供含量测定用。
CAS号:483-90-9
分子式:C16H20O6
分子量:308.33
结构式:

包装:棕色瓶
规格:约20mg/支
储存条件:冷处(2-10℃)保存
·3,29-二*甲酰基栝楼仁三醇
编号:BP1470
英文名称:3,29-Dibenzoyl Rarounitriol
规格:20mg/支
本品为3,29-二*甲酰基栝楼仁三醇化学对照品,供含量测定用,含量以96.7%计,使用前不需干燥处理。
CAS号:873001-54-8
分子式:C44H58O5
分子量:666.93
结构式:

包装:棕色安瓿瓶
规格:约20mg/支
储存条件:冷冻保存
三七皂苷R1怎样保存?
一般试剂可保存在玻璃瓶内; 对玻璃有强烈腐蚀作用的试剂,如**酸、*氧化*应保存在聚乙*(代"烯")塑料瓶内; 易被空气氧化、分化、潮解的试剂应密封保存;易感光分解的试剂应用有色玻璃瓶贮存并藏于暗处; 易受热分解及低沸点溶剂,应存于冷处; 剧毒试剂应存于保险箱; 有放射性的试剂应存于铅罐中。如果化学试剂保管不当,就会失效变质,影响实验的效果,并造成物质的浪费,甚至有时还会发生事故。因此,科学地保管好试剂对于保证实验顺利进行,获得 可靠的实验数据具有非常重要的意义。
三七皂苷R1是我们热销产品之一,品牌代理,品质保证,专业性强,实验全程无忧。我公司已为中国市场提供数万种高端试剂,我们有能力提供毫克级,克级,甚至公斤级。试剂产品相关信息齐全,欢迎来电咨询、选购。
我公司正在优惠促销标准品对照品等系列产品,期待您的咨询选购北京三七皂苷R1标准品大量库存促销。
风险提示:丁香通仅作为第三方平台,为商家信息发布提供平台空间。用户咨询产品时请注意保护个人信息及财产安全,合理判断,谨慎选购商品,商家和用户对交易行为负责。对于医疗器械类产品,请先查证核实企业经营资质和医疗器械产品注册证情况。
文献和实验作者:dwh1217 回复数:0000【求助】请推荐检测呼吸道病毒抗体试剂盒作者:星兰 回复数:0000【求助】上海哪个试验室有自动酶联斑点图像分析仪器?急作者:byday100 回复数:0000【请教】ELISA法测定大鼠肝组织匀浆TNF-alpha作者:yaocz96888 回复数:0000【讨论】北京做ELISA研究开发的朋友有没有想跳槽的作者:tedzhangbj 回复数:0000分析elisa结果的CurveExpert 1.38使用方法作者:cathryn167 回复
技术资料暂无技术资料 索取技术资料










