相关产品推荐更多 >
万千商家帮你免费找货
0 人在求购买到急需产品
- 详细信息
- 技术资料
- 保存条件:
阴凉干燥
- 保质期:
长期
- 英文名:
Hyperoside
- 库存:
321
- 供应商:
北京百奥莱博科技有限公司
- CAS号:
482-36-0
特别声明:本产品及我公司所售其他产品均为科研类试剂产品,严禁用于药物、医疗及其他非科研用途。
百奥莱博公司致力于为全国科研单位提供药典标准品、对照品、标准溶液、标准样品、对照培养基、国家标准品等可靠标准物质,其中金丝桃苷对照品促销的品质过硬,在广大科研人员中有口皆碑!
北京百奥莱博科技有限公司专业生产供应金丝桃苷对照品促销,产品信息:
类别:标准品对照品
英文名:Hyperoside
| 产品名 | CAS号 | 包装规格 |
| 金丝桃苷 | 482-36-0 | 约20mg/支 |
品牌:百奥莱博
英文名:Hyperoside
编号:BP1184
产地:国产|进口
本品为金丝桃苷化学对照品,供下含量测定用,含量以95.1%计,使用前不需干燥处理。
CAS号:482-36-0
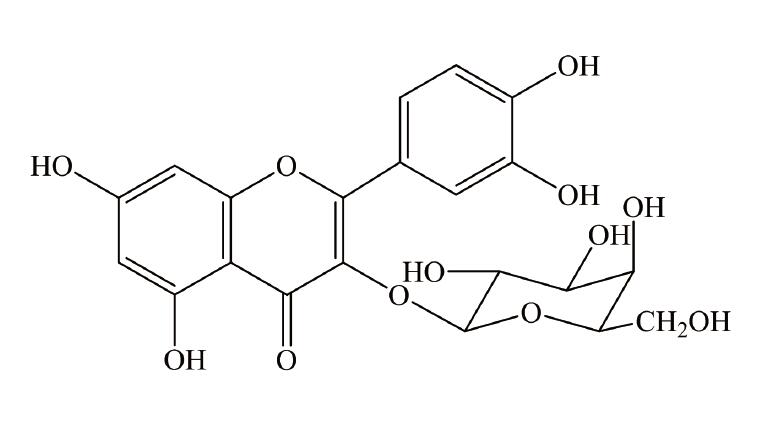
分子式:C21H20O12
分子量:464.38
结构式:

包装:棕色安瓿瓶
规格:约20mg/支
储存条件:冷冻保存
注意事项:本品具引湿性,建议打开包装一次性使用完。
金丝桃苷对照品促销专业优质供应商:北京百奥莱博科技有限公司
关键词:482-36-0,金丝桃苷,Hyperoside
生物化工学科起始于第二次世界大战时期,以抗生素的深层发酵和大规模生产技术的研究为标志。20世纪60年代末至80年代中期,转基因技术、生物催化与转比技术、动植物细胞培养技术、新型生物反应器和新型生物分离技术等开发和研究的成功,使本学科进入了新的发展时期,学科体系逐步完善。20世纪后期,随着以基因工程为代表的高新技术的迅速崛起,为本学科的进一步发展开辟了新领域,无数前人的工作和我公司的不懈奋斗。造就了高品质的金丝桃苷。
想要了解更多关于金丝桃苷对照品促销的价格、品牌、厂家、说明书、促销信息,请和我们联系。此外我公司还销*(代"售")下面的产品:
| 编号 | 名称 | 英文名称 |
| BP0059 | 盐*(代"酸")多塞平 | Doxepin Hydrochloride |
| BP0124 | 泼尼松龙 | Prednisolone |
| BP0189 | 环吡酮胺 | Ciclopirox Olamine |
| BP1716 | 5-巯基-1-磺酸甲基四唑(3-TSA) | 5-Mercaptotetrazole-1-methanesulfonic acid |
| BP0241 | 丁酸*化可的松 | Hydrocortisone Butyrate |
| BP0164 | 青蒿琥酯 | Artesunate |
| BP0143 | 丙谷胺 | Proglumide |
| BP0674 | 依西美坦 | Exemestane |
| BP1445 | 芹菜素 | Apigenin |
| BP0974 | 盐*(代"酸")米多君 | Midodrine Hydrochloride |
| BP1797 | 重组人胰岛素单体-二聚体 | Recombinant Human Insulin Monomer-dimer |
| BP0007 | 苄*噻嗪 | Bendrofluazide |
| BP1546 | 山柰酚-3-O-龙胆二糖苷 | Kaempferol-3-O-gentionbioside |
| BP1130 | 隐丹参酮 | Cryptotanshinone |
| BP1285 | 正十五烷 | n-Pentadecane |
| BP0734 | 孕三烯酮 | gestrinone |
| BP1380 | 连翘酯苷B | Forsythoside B |
| BP1838 | 小牛血去蛋白提取物 | Deproteinized Calf Blood Extractives |
| BP2045 | 硫*(代"酸")羟喹*(代"啉") | Oxyquinoline Sulfate |
| BP1040 | 淫羊藿苷 | Icariin |
| BP0784 | 丙*酞 | Propylphthalide |
| BP1516 | 闹羊花毒素III | Rhodojaponin III |
| BP1371 | 莪术二酮 | Curdione |
| BP0176 | 乙羟茶碱 | Hydroxuethyl theophylline |
| BP0600 | 盐*(代"酸")阿扎司琼 | Azasetron Hydrochloride |
| BP1458 | 女贞苷 | Ligustroflavone |
| BP1572 | 磷霉素 | Fosfomycin |
| BP0888 | 盐*(代"酸")阿莫地喹 | Amodiaquine Hydrochloride |
| BP0804 | 2,3-二甲基**(代"胺") | 2,3-Dimethylaniline |
北京百莱博科技有限公司是标准品对照品产品的专业生产供应销*(代"售")商,恭候您的咨询选购金丝桃苷对照品促销。
风险提示:丁香通仅作为第三方平台,为商家信息发布提供平台空间。用户咨询产品时请注意保护个人信息及财产安全,合理判断,谨慎选购商品,商家和用户对交易行为负责。对于医疗器械类产品,请先查证核实企业经营资质和医疗器械产品注册证情况。
技术资料暂无技术资料 索取技术资料









