万千商家帮你免费找货
0 人在求购买到急需产品
- 详细信息
- 文献和实验
- 技术资料
- 保存条件:
阴凉干燥
- 保质期:
长期
- 英文名:
4-Epitetracycline
- 库存:
404
- 供应商:
北京百奥莱博科技有限公司
特别声明:本产品及我公司所售其他产品均为科研类试剂产品,严禁用于药物、医疗及其他非科研用途。
北京百奥莱博公司供应包括4-差向四环素标准品厂家现货在内的化学标准品,化学对照品,杂志对照品,HPLC标准品,UV标准品等高品质标准品、对照品
名称:4-差向四环素标准品厂家现货
编号:BP1588
品牌:百奥莱博
产地:国产|进口
规格:50mg
英文名:4-Epitetracycline
本品为4-差向四环素标准品,供盐*(代"酸")四环素品种 HPLC系统适用性用。
使用方法:精密称取本品适量,按相关质量标准的规定,溶解并稀释至所需浓度的溶液,立即使用。
储存条件:置5℃以下低温避光保存。开启安瓿后严密保持干燥,以防吸水。
注意事项:使用前不需干燥处理。
想要了解更多关于4-差向四环素标准品厂家现货的价格、品牌、厂家、说明书、促销信息,请和我们联系。此外我公司还销*(代"售")下面的产品:
145224-94-8 MES 2-(N-玛啡啉)乙磺酸
HC0043 细胞铲子
PY02-438 改良Giolitti-Cantoni肉汤 250克
BTN131122 考马斯亮蓝R-250 Coomassie Blue R-250
ARB13884 猪主要组织相容性复合体Ⅱ类(MHCⅡ/SLAⅡ)含量检测 Swine major Histocomp*(代"a")tibility complexⅡ,mhcⅡ/slaⅡ ELISA KIT
56-45-1 L-Serine 丝*酸
ARB11113 人乳腺癌易感蛋白1(BRCA-1)Elisa分析 Human breast cancer susceptibility protein 1,brca-1 ELISA KIT
RN0701 EASYspin 组织/细胞RNA快速提取试剂盒
ARB10760 人抗BP180抗体(BP180-Ab)ELISA检测服务 Human anti-bullous pemphigoid 180 antibody,bp180-ab ELISA KIT
乙酰胺 L-Hydroxyproline 60-35-5
BL1216 甲**(代"胺")蓝溶液
ARB12318 大鼠低密度脂蛋白(LDL)elisa测定使用说明书 Rat low density lipoprotein,ldl ELISA KIT
BTN111207 动物线粒体纯化试剂盒 Animal Mitochondria Purification Kit
ARB12396 大鼠泌乳素(ProlActIn)酶联免疫定量检测
BL0916 FITC标记人白蛋白抗体
ARB11482 人胰淀素(Amylin)Elisa分析 Human amylin ELISA KIT
结晶碳酸* Michler"s ketone 6381-79-9
ARB10724 人异质型核糖核蛋白复合物/抗RA33抗体(hnRNP/RA33)ELISA检测服务 Human heterogeneous nuclear ribonucleoprotein compies/anti-ra33-antibody,hnrnp/ra33 ELISA KIT
ARB10049 人Apelin 12(AP12)Elisa定量检测 Human apelin 12,ap12 ELISA KIT
ARB10035 人I型前胶原N端前肽(PINP)含量测试 Human procollagen i n-terminal Peptide,pinp ELISA KIT
葡聚糖凝胶LH-20 VB6
ARB13730 兔核因子κB受体活化因子配基(RANKL)ELISA代测服务 Rabbit receptor activator of nuclear factor kappa b ligand,rankl ELISA KIT
4-差向四环素标准品厂家现货关键词:4-Epitetracycline,4-差向四环素,BP1588
·盐*(代"酸")硫利达嗪
编号:BP0276
英文名称:Thioridazine Hydrochloride
规格:50mg
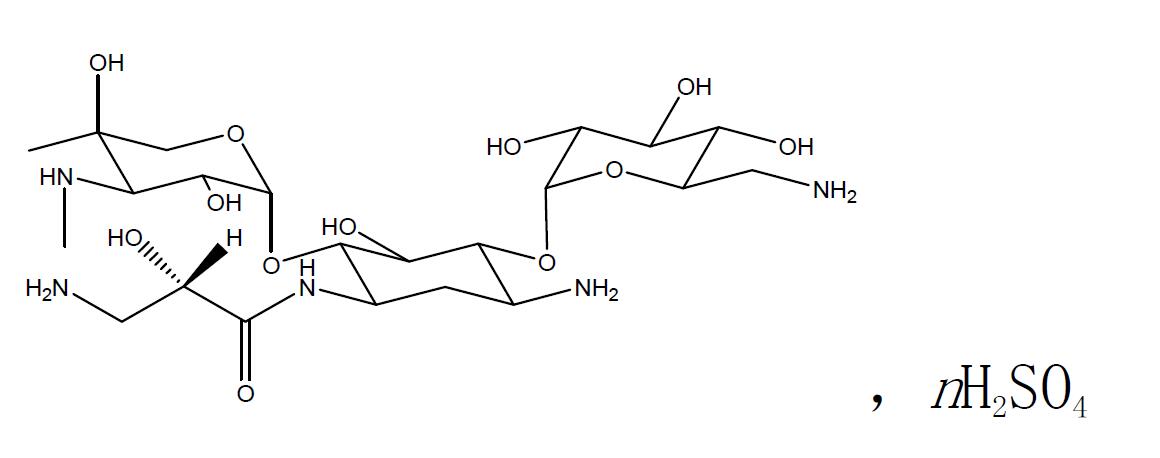
·异帕米星
编号:BP1714
英文名称:Isepamicin
规格:100mg/支
本品为异帕米星化学对照品,供高效液相含量测定用,含量以异帕米星(C22H43N5O12)计。
分子式:C22H43N5O12·nH2SO4(n≤2)
结构式:

包装:安瓿
装量:100mg/支
储存条件:置4℃以下条件低温保存。
·2-单硝酸异山梨酯
编号:BP0536
英文名称:Isosorbide 2-nitrate
规格:50mg/支
本品为2-单硝酸异山梨酯化学对照品,供HPLC法测定,按C6H9NO6计,含量为100.0%。
CAS号:16106-20-0
分子式:C6H9NO6
分子量:191.14
包装及装量:棕色瓶,约50mg/支
储存条件:遮光密封保存
注意事项:受热或受到撞击易发生爆炸,使用前不需干燥处理。
·盐*(代"酸")特拉唑嗪杂质II
编号:BP2147
英文名称:2-chloro-4-amino-6,7-dimethoxyquinazolin
规格:100mg/支
本品为盐*(代"酸")特拉唑嗪杂质II化学对照品,供HPLC法检查用。按C10H10ClN3O2计,含量为99.8%。
CAS号:23680-84-4
分子式:C10H10ClN3O2
分子量:239.66
结构式:

包装:棕色西林瓶装
规格:100毫克/支
储存条件:遮光,密封保存
4-差向四环素标准品厂家现货关键词:4-Epitetracycline,4-差向四环素,BP1588
我公司拥有专业生化试剂实验和销*(代"售")经验,为专业的您提供专业的服务。种类丰富,*基酸类、酶类、维生素类、4-差向四环素、缓冲剂类、色素类、植物激素及核酸类、碳水化合物类、抗生素类均有销*(代"售")。品牌代理,质量保障,其产品涉及生命科学的所有领域,包括生化试剂,抗体,ELISA试剂盒等等。
·盐*(代"酸")贝那替嗪
编号:BP0392
英文名称:Benactyzine Hydrochloride
规格:100mg
·盐*(代"酸")硫必利
编号:BP0362
英文名称:Tiapride Hydrochloride
规格:100mg
·三十烷醇
编号:BP1174
英文名称:1-triacontanol
规格:约20mg/支
本品为三十烷醇化学对照品,供鉴别及含量测定用,含量以99.0%计,使用前不需干燥处理。
CAS号:593-50-0
分子式:C30H62O
分子量:438.83
包装:棕色瓶.
规格:约20mg/支
储存条件:常温保存
·灵芝酸A
编号:BP1517
英文名称:Ganoderic acid A
规格:约20mg/支
本品为灵芝酸A化学对照品,供含量测定用,含量以95.0%计,使用前不需干燥处理。
CAS号:81907-62-2
分子式:C30H44O7
分子量:516.67
结构式:

包装:棕色安瓿瓶
规格:约20毫克/支
储存条件:冷处(2~10℃)保存
·非布司他杂质B
编号:BP1001
英文名称:Febuxostat impurity B
规格:20mg/支
本品为非布司他杂质B化学对照品,使用前不需干燥处理,供HPLC法系统适用性试验用。
CAS号:1239233-87-4
分子式:C16H17NO5S
分子量:335.37
结构式:

包装:棕色小瓶装
规格:每支约20毫克
储存条件:遮光,密闭10~30℃保存。
4-差向四环素现货供应,凡在我公司购买该产品均可享受免费的技术咨询服务,年中降价>>低价格促销:elisa试剂盒,Amrecso原装试剂、抗体、等相关试剂,产品品种齐全,价格优惠。产品质量,服务质量均是一流,您尽可放心购买!
4-差向四环素的不同等级:
除了优级纯、分析纯、化学纯、实验试剂外,目前市场上尚有:基准试剂(PT):专门作为基准物用,可直接配制标准溶液。光谱纯试剂(SP):表示光谱纯净。但由于有机物在光谱上显示不出,所以有时主成分达不到99.9%以上,使用时必须注意,特别是作基准物时,必须进行标定。纯度远高于优级纯的试剂叫做高纯试剂(≥ 99.99%)。
一般化学试剂的品级:一级试剂、二级试剂、三级试剂、四级试剂
国内标准名称:优级纯(保证试剂)、分析纯、化学纯 、实验试剂
国内标签颜色:绿色、红色、蓝色、中黄色
我公司生产供应销*(代"售")的标准品对照品正全品类优惠促销,十分期待您的咨询选购4-差向四环素标准品厂家现货。
风险提示:丁香通仅作为第三方平台,为商家信息发布提供平台空间。用户咨询产品时请注意保护个人信息及财产安全,合理判断,谨慎选购商品,商家和用户对交易行为负责。对于医疗器械类产品,请先查证核实企业经营资质和医疗器械产品注册证情况。
文献和实验四环素变色牙是在牙齿发育过程中矿化期间服用四环素类药物,如四环素、土霉素、金霉素等,都可成为四环素牙的原因。各种药物引起的牙变色的程度不同,以四环素为最严重而得名。服用大剂量四环素后,不但能引起四环素牙,还可伴有釉质、牙本质发育不全和钙化不全。有文献报道四环素还可引起骨的生长迟缓。 临床表现 1.牙变色--黄色、灰棕色、黄褐色。 2.全口多数牙发病。 3.无自觉症状。 4.紫外线下特有荧光。 5.前牙光泽度差、表面粗糙,外观欠佳。 诊断
清白蛋白。 二、各等级BSA 说明 1、 等级最低的BSA,这个是普通意义上的BSA,只要主要成分是BSA的产品都可以成为牛血清白蛋白,所以他也涵盖了其他等级的BSA,所以客户要注意其纯度。 作用:一般是工业生产用。 2、 牛血清白蛋白第五组分,英文名称:BSAV,这个是生物技术级的产品,适用范围是最广的,有些厂家的BSAV脂肪酸和内毒素很低,可直接用于细胞培养,纯度高甚至可以用于任何相关实验。常用的有Roche公司的10735078001,Sigma公司
清白蛋白第五组分,英文名称:BSAV,这个是生物技术级的产品,适用范围是最广的,有些厂家的BSAV脂肪酸和内毒素很低,可直接用于细胞培养,纯度高甚至可以用于任何相关实验。常用的有Roche公司的10735078001,Sigma公司的A7906,Amresco公司的0332。 作用:Elisa实验,WB实验,因BSA分子量为66KDa,纯度高的还可用作蛋白质marker。 3、 牛血清白蛋白(无必须脂肪酸),脂肪酸含量极低,脂肪酸含量≤
技术资料暂无技术资料 索取技术资料










