相关产品推荐更多 >
万千商家帮你免费找货
0 人在求购买到急需产品
- 详细信息
- 文献和实验
- 技术资料
- 保存条件:
冷藏
- 保质期:
长期
- 英文名:
Spectinomycin
- 库存:
660
- 供应商:
北京百奥莱博科技有限公司
- CAS号:
22189-32-8
特别声明:本产品及我公司所售其他产品均为科研类试剂产品,严禁用于药物、医疗及其他非科研用途。
百奥莱博公司致力于为全国科研单位提供药典标准品、对照品、标准溶液、标准样品、对照培养基、国家标准品等可靠标准物质,其中大观霉素标准品优惠促销的品质过硬,在广大科研人员中有口皆碑!
名称:大观霉素标准品优惠促销
规格:100mg
产地:国产|进口
英文名:Spectinomycin
品牌:百奥莱博
编号:BP1576
本品为大观霉素标准品,供抗生素微生物效价测定用,含量以大观霉素单位计,每毫克相当于657单位,使用前不需干燥处理。
CAS号:22189-32-8
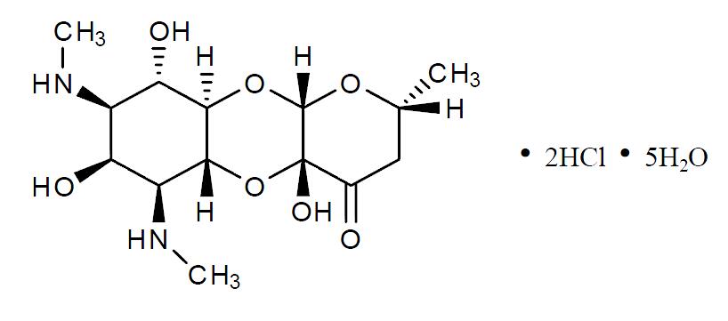
分子式:C14H24N2O7·2HCl·5H2O
分子量:495.35
结构式:

包装:白色安瓿
规格:约100mg/支
储存条件:2-8℃遮光保存
大观霉素标准品优惠促销极具性价比,此外,我公司正火爆促销以下产品:
·阿仑膦酸*
编号:BP0684
英文名称:Alendronate Sodium
规格:约100mg
本品为阿仑膦酸*化化学对照品,供含量测定用。供UV法含量测定,按C4H12NNaO7P2·3H2O计,含量为83.0%。本品溶液应临用新制。
CAS号:121268-17-5
分子式:C4H12NNaO7P2·3H2O
分子量:325.12
包装及装量:棕色瓶,约100mg/支
储存条件:遮光,密封保存
注意事项:使用前不需干燥处理
·核黄素磷酸*混合物
编号:BP0225
英文名称:Riboflavin Sodium Phosphate Mixture
规格:100mg
本品为核黄素磷酸*混合物,供HPLC法系统适用性试验用。
包装及装量:棕色小瓶装,每支约100毫克。
储存条件:遮光,密封保存。
注意事项:使用前不需干燥处理。
附图——典型色谱图:

(色谱柱:Thermo Hypersil GOLD 250*4.6mm,5um)
·γ-亚麻酸甲酯
编号:BP1165
英文名称:Methyl γ-linolenate
规格:约0.2ml/支
本品为γ-亚麻酸甲酯化学对照品,供含量测定用,含量以99.9%计,使用前不需干燥处理。
CAS号:16326-32-2
分子式:C19H32O2
分子量:292.47
结构式:

包装:棕色安瓿瓶。
规格:约0.2毫升/支。
储存条件:冷冻(-20℃)保存。
注意事项:本品不稳定,打开包装后一次使用完毕。
·来*米特杂质Ⅱ
编号:BP0849
英文名称:Leflunomide impurityⅡ[2-cyano-3-hydroxy-N-(4’-trifluoromethylphenyl)-crotone amide]
规格:50mg/支
本品为来*米特杂质Ⅱ化学对照品,使用前不需干燥处理。供HPLC法系统适用性试验用。
CAS号:108605-62-5
分子式:CHFNO129322
分子量:270.21
结构式:


来*米特系统适用性试验色谱图[AgilentHypersil
大观霉素标准品优惠促销关键词:Spectinomycin,大观霉素,22189-32-8
我公司所售科研每月均有新品促销,您可对我公司网站时刻进行关注,在促销期间购买您所需产品,价格更优惠。大观霉素质量保证,品质已经得到广大客户的认可,您可放心,且我公司有专门的售后部门对客户进行全线跟踪,全程免费技术指导。欢迎询价详谈!
·*吡格雷杂质II
编号:BP2165
英文名称:Clopidogrel Impurity II
规格:50mg/支
本品为*吡格雷杂质II化学对照品,供HPLC法系统适用性试验用,使用前不需干燥处理。
CAS号:144750-52-7
分子式:C16H17Cl2NO2S
分子量:358.28
结构式:

包装:棕色西林瓶
装量:约50mg/支
储存条件:遮光,密封保存。
·盐*(代"酸")小檗碱
编号:BP1022
英文名称:Berberine Hydrochloride
规格:30mg/支
本品为盐*(代"酸")小檗碱化学对照品,供鉴别及含量测定用,使用前不需干燥处理。含量以86.8%计。
CAS号:633-65-8
分子式:C20H18ClNO4
分子量:371
结构式:

包装:棕色安瓿瓶
装量:约30mg/支
储存条件:冷处(2~10℃)保存。
·芦丁
编号:BP0068
英文名称:Rutin(Rutoside)
规格:100mg/支
本品为芦丁Rutin(Rutoside)的化学对照品,供鉴别、含量测定用,使用前不需干燥处理。按C27H30O16计,供HPLC法测定,含量为91.9%;供UV法测定,含量为92.6%。
分子式:C27H30O16
结构式:

分子量:610.52
CAS号:153-18-4
包装:棕色安瓿
装量:约100毫克/支
储存条件:遮光,密封,10~30℃
大观霉素标准品优惠促销关键词:Spectinomycin,大观霉素,22189-32-8
我公司是一家生物高新技术企业,主要从事免疫学、分子生物学和常规生化试剂的研发、销*(代"售")。致力于为广大高校、科研院所和企事业单位提供一流的科研试剂和完善的技术服务,满足生物化学、分子生物学 、大观霉素、细胞生物学、免疫学ELISA试剂盒等生物科技实验需求。我们诚以100%的热情换您100%的满意!
F030507 FITC标记兔抗卵清蛋白抗体 Rabbit Anti-OVA*FITC
支链淀粉 Sudan Ⅳ 9037-22-3
ARB12397 大鼠性激素结合球蛋白(SHBG)含量测试 Rat sex hormone-binding globulin,shbg ELISA KIT
CYB168016 大鼠血清 100ml/瓶
BL1149 10×DNA上样缓冲液
BTN120801 镍柱原位再生试剂盒 Ni-Agarose Column In-Place Recharge Kit
ARB10093 人D二聚体(D2D)elisa检测说明书 Human d-dimer,d2d ELISA KIT
ARB11187 人孤腓肽(OFQ/N)elisa检测操作说明书 Human orphanin fq/nociceptin,ofq/n ELISA KIT
BTN130534 抗凝血酶Ⅲ溶液 Antithrombin III Solution
PY02-332 Korser柠檬酸盐肉汤 250克
ARB10423 人丙*(代"酮")酸激酶M2型同工酶(M2-PK)含量测试 Human pyruvate kinase,m2-pk ELISA KIT
F030620 FITC标记兔抗马IgG抗体 Rabbit Anti-Horse IgG*FITC
ARB13853 猪心肌肌*蛋白I(cTn-I)ELISA检测服务 Porcine cardiac troponin i,ctn-iELISA KIT
肌*酸甲酯盐*(代"酸")盐 Amygdalin 13515-93-0
大观霉素的纯度及用途:纯度高质含量低,适用于研究和配制标准液; 纯度较高,杂质含量较低,适用于定性和定量分析 重量略低于二级试剂,用途近似二级试剂 化学试剂按纯度由低到高可分为工业纯、实验纯(LR)、化学纯(CP)、分析纯(AR)、优级纯(GR)和超纯等多种规格。
我公司生产供应销*(代"售")的标准品对照品正全品类优惠促销,十分期待您的咨询选购大观霉素标准品优惠促销。
风险提示:丁香通仅作为第三方平台,为商家信息发布提供平台空间。用户咨询产品时请注意保护个人信息及财产安全,合理判断,谨慎选购商品,商家和用户对交易行为负责。对于医疗器械类产品,请先查证核实企业经营资质和医疗器械产品注册证情况。
文献和实验【信息】【新年促销】德国IBL儿茶酚胺类ELISA试剂盒优惠大促销 5.5~7.5折优惠
德国IBL国际有限公司是一家有着近30年经验的专业医疗诊断试剂研发制造商,其产品均已经通过ISO9001、ISO13485和欧洲CE认证,并且通过了美国FDA的认证。公司产品系列包括生物胺系列、传染病系列、新生儿筛查系列及不孕系列等ELISA产品及放免产品。深圳市科润达生物工程有限公司,为德国IBL公司中国(含港澳地区)独家代理商!现我公司推出德国IBL儿茶酚胺/生物胺类检测试剂优惠大促销活动,即日起,通过深圳科润达生物购买德国IBL儿茶酚胺/生物胺类产品,即可获得5~7.5折优惠! 活动时间
至010-80485460或E-mail至 liuyu@genomics.cn。010-80485460或E-mail至liuyu@genomics.cn。培训费用:全程培训(讲座+实验): 3500元/人,学生为 2900元/人。 注:学生报到请带学生证培训费用包含会务费、资料费、餐费。培训期间公司协助安排住宿,费用自理。 三、相关促销政策 参加本届培训班的学员可以享受公司提供的常规技术服务八折优惠。优惠有效时间2013.10.17-2013.12.31 四、汇款信息 账号
1100 96孔可拆式酶标板(高吸附) 50元/块 AR1103 ELISA用ABC 140元/瓶(130μι) AR1104 Tetramethylbenzidine(TMB) 80元/瓶(10ml) AR1105 终止液(0.5M H2SO4) 30元/瓶(10ml) AR1106 样品稀释液 40元/瓶(30ml) AR1107 ELISA用生物素化抗体 380/瓶(130μι) 好消息!!! 在7月9日到9月10日期间进行暑假期间让利优惠活动,所有ELISA试剂盒7折上市促销
技术资料暂无技术资料 索取技术资料










