万千商家帮你免费找货
0 人在求购买到急需产品
- 详细信息
- 询价记录
- 文献和实验
- 技术资料
- 保存条件:
2-10℃
- 保质期:
长期
- 英文名:
Ligustrazine hydrochloride
- 库存:
817
- 供应商:
北京百奥莱博科技有限公司
特别声明:本产品及我公司所售其他产品均为科研类试剂产品,严禁用于药物、医疗及其他非科研用途。
百奥莱博公司致力于为全国科研单位提供药典标准品、对照品、标准溶液、标准样品、对照培养基、国家标准品等可靠标准物质,其中北京盐*(代"酸")川芎嗪标准品价格的品质过硬,在广大科研人员中有口皆碑!
名称:北京盐*(代"酸")川芎嗪标准品价格
编号:BP1104
产地:国产|进口
品牌:百奥莱博
英文名:Ligustrazine hydrochloride
本品为盐*(代"酸")川芎嗪化学对照品,供含量测定用,含量以83.4%计,使用前不需干燥处理。
分子式:C8H12N2·HCl
分子量:172.66
结构式:

包装:棕色安瓿瓶
规格:约30mg/支
储存条件:冷处(2-10℃)保存
注意事项:本品具有引湿性,建议打开包装一次性使用完。
想要了解更多关于北京盐*(代"酸")川芎嗪标准品价格的价格、品牌、厂家、说明书、促销信息,请和我们联系。此外我公司还销*(代"售")下面的产品:
·异亮*酸
编号:BP1263
规格:20mg
本品为异亮*酸化学对照品,供相关物质鉴别用。
包装及装量:棕色西林瓶,约20mg
储存条件:干燥密闭保存。
·碘塞罗宁*
编号:BP2129
英文名称:Liothyronine sodiu*(代"m")
规格:50mg/支
本品为碘塞罗宁*化学对照品,供左甲状腺素*品种项下碘塞罗宁*检查用。本品不需干燥处理,以C15H11I3NNaO4计,含量为95.4%。
CAS号:55-06-1
分子式:C15H11I3NNaO4
分子量:672.96
包装:棕色西林瓶
规格:约50毫克/支
储存条件:-20℃,密闭保存
注意事项:本品具有引湿性,建议打开包装后一次性使用完。
·正十八烷
编号:BP1254
英文名称:n-Octadecane
规格:约0.2ml/支
本品为正十八烷化学对照品,供含量测定项下内标用,含量以99.4%计。
结构式:CH3(CH2)16CH3
分子式:C18H38
分子量:254.51
包装及装量:棕色安瓿瓶每支约0.2ml
储存条件:室温保存。
注意事项:使用前无需处理,本品挥发性强,打开包装后立即使用,一次使用完毕。
·伊曲康唑杂质D
编号:BP1759
英文名称:Itraconazole impurity D
规格:30mg/支
本品为伊曲康唑杂质D化学对照品,供伊曲康唑原料及其制剂HPLC法有关物质检查用,以伊曲康唑杂质(C34H36Cl2N8O4)计,含量为95.1%。使用前不需干燥处理。
CAS号:89848-49-7
分子式:C34H36Cl2N8O4
分子量:690.2
结构式:

包装:棕色安瓿
规格:30mg/支
储存条件:常温遮光保存
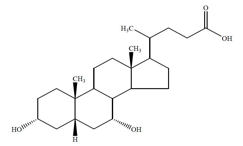
·鹅去氧胆酸
编号:BP1095
英文名称:Chenodeoxycholic acid
规格:约30mg/支
本品为鹅去氧胆酸化学对照品,供鉴别和含量测定用,使用前不需干燥处理。含量以91.3%计。
CAS号:474-25-9
分子式:C24H40O4
分子量:392.57
结构式:

包装:棕色安瓿瓶
装量:约30mg/支
储存条件:冷处(2-10℃)保存
北京盐*(代"酸")川芎嗪标准品价格关键词:BP1104,Ligustrazine hydrochloride,盐*(代"酸")川芎嗪
盐*(代"酸")川芎嗪由我公司长期专业供应,公司为广大顾客提供 盐*(代"酸")川芎嗪产品说明,生产厂家,价格,规格,哪里买 。公司遵循高品质的产品,高质量的技术服务,合理的价格,是国内研发与生产,销*(代"售")合为一体的一家大型企业,我们承诺:以最少的经费,最高的效率,得到您最需要的实验结果,同时我们承诺,若有质量问题,无条件退换。
·聚丙*(代"烯")酸树脂III
编号:BP2021
规格:200mg
本品为聚丙*(代"烯")酸树脂Ⅲ化学对照品,供聚丙*(代"烯")酸树脂Ⅲ品种红外光谱鉴别用。
包装及装量:棕色西林瓶装, 每支约200 毫克
储存条件::遮光,密封,于阴凉处保存。
注意事项:使用前于 110℃干燥6 小时。
·非那雄胺
编号:BP0473
英文名称:Finasteride
规格:100mg
本品为非那雄胺化学对照品,供HPLC法含量测定用,使用前不需干燥处理,按C23H36N2O2计,含量为99.6%。
分子式:C23H36N2O2
分子量:372.55
CAS号:98319-26-7
包装及装量:棕色西林瓶装,每支约100毫克。
储存条件:遮光,密封保存。
注意事项:使用前不需干燥处理。
·奥扎格雷*
编号:BP0635
英文名称:Ozagrel Sodium
规格:100mg
本品为奥扎格雷*化学对照品,供UV法测定,按C13H11N2NaO2计,含量为100.0%。
分子式:C13H11N2NaO2
分子量:250.25
CAS号:82571-53-7
包装及装量:棕色小瓶装,每支约100毫克。
储存条件:遮光,密封保存。
注意事项:使用前不需干燥处理。
·2-*基-4-**酚
编号:BP0760
英文名称:2-Amino-4-chlorophenol
规格:50mg
本品为奥扎格雷*化学对照品,供UV法测定,按C13H11N2NaO2计,含量为100.0%。
分子式:C13H11N2NaO2
分子量:250.25
CAS号:82571-53-7
包装及装量:棕色小瓶装,每支约100毫克。
储存条件:遮光,密封保存。
注意事项:使用前不需干燥处理。
·*化可的松琥珀单酯
编号:BP0687
英文名称:Hydrocortisone Hemisuccinate
规格:100mg
本品为奥扎格雷*化学对照品,供UV法测定,按C13H11N2NaO2计,含量为100.0%。
分子式:C13H11N2NaO2
分子量:250.25
CAS号:82571-53-7
包装及装量:棕色小瓶装,每支约100毫克。
储存条件:遮光,密封保存。
注意事项:使用前不需干燥处理。
·紫菀酮
编号:BP1223
英文名称:Shionone
规格:约20mg/支
本品为紫菀酮化学对照品,供鉴别和含量测定用,含量以99.8%计,使用前不需干燥处理。
CAS号:10376-48-4
分子式:C30H50O
分子量:426.72
结构式:

包装:棕色安瓿
规格:约20mg/支
储存条件:冷处(2-10℃)密封保存
北京盐*(代"酸")川芎嗪标准品价格关键词:BP1104,Ligustrazine hydrochloride,盐*(代"酸")川芎嗪
我公司先后与天津中医学院、北京军区总医院、复旦大学、北京大学、上海交通大学、华东师范大学、第二军医大学、南京大学、清华大学、复兴医院、南京工业大学、301医院、中科院上海分院等多家单位建立了良好的合作关系。本公司可为您提供高品质的盐*(代"酸")川芎嗪等科研试剂。 公司秉承“专注品质、信守承诺、积极沟通、创新服务”的企业文化积极参与生物领域的技术创新和技术服务,力求为我国科研事业更好的,更专业的服务!
十二烷基三甲基*化铵 4-NPP 112-00-5
茜素蓝S N-Acetyl-D-tryptophan 66675-89-6
ARB12679 大鼠膜联蛋白Ⅴ(ANX-Ⅴ)酶标法分析 Rat annexin Ⅴ,anx-Ⅴ ELISA KIT
吐温40 Sodium Cyclamate 9005-66-7
BL0957 胶体金标记兔抗牛IgG抗体
L-酪*酸乙酯盐*(代"酸")盐 Ethyl p-toluene sulfonate 4089-07-0
ARB10161 人SmAd7 ELISA代测服务 Human mothers against decapentaplegic homolog 7,smad7 ELISA KIT
ARB10577 人成熟促进因子(MPF)含量测试 Human matuRation promoting factor,mpf ELISA KIT
ARB11939 大鼠5羟色胺(5HT)elisa检测说明书 ?Rat 5-hydroxytryptamine,5ht ELISA KIT
PY02-295 巧克力琼脂培养基基础 250克
115-39-9 Bromphenol Blue *酚蓝
L-半胱*酸盐*(代"酸")盐无水物 GPDA 52-89-1
BTN130920 dITP溶液,100mM dITP Solution,100mM
BTN100818 MDS 42rec A trf A菌种 MDS 42rec A trf A Strain
BTNygtz22 荧光探针和示踪剂 Fluorescent Probe and Tracer
2,4-二羟基二*甲酮 Amberlite XAD761 131-56-6
CYB168009 马血清 500ml/瓶
ARB13290 小鼠凝血酶抗凝血酶复合物(TAT)ELISA代测服务 Mouse thrombin-antithrombin complex,tat ELISA KIT
ARB12245 大鼠血管生成素4(ANG-4)酶联免疫定量检测 Rat angiopoietin 4,ang-4 ELISA KIT
盐*(代"酸")川芎嗪等科研试剂品质优良,受到广大科研工作者的一致肯定和赞许。质量品牌保证,价格公正,倾力为国内国外生命科学研究人员提供一流的产品。欢迎来电咨询!
我公司正在打折促销标准品对照品全系列产品,恭候您的咨询选购北京盐*(代"酸")川芎嗪标准品价格。
风险提示:丁香通仅作为第三方平台,为商家信息发布提供平台空间。用户咨询产品时请注意保护个人信息及财产安全,合理判断,谨慎选购商品,商家和用户对交易行为负责。对于医疗器械类产品,请先查证核实企业经营资质和医疗器械产品注册证情况。
- 作者
- 内容
- 询问日期
文献和实验北京时间 7 月 12 日,中国科学院深圳先进技术研究院司同课题组与伊利诺伊大学厄巴纳-香槟分校 Jonathan V. Sweedler 教授团队合作,在 FASEB J 国际学术期刊上发表研究论文 Profiling of D-alanine production by the microbial isolates of rat gut microbiota。 文章建立了酶法定性快筛和手性色谱-质谱联用(chiral LC-MS/MS)准确定量的两级分析方法,对 38 株大鼠肠菌产
了此抗体检测标准系统,完成了标准阳性血清中特异性抗Hp尿素酶抗体的定量工作。 1 材料和方法 1.1 材料 抗Hp抗体阳性及阴性血清各50份,经实验室酶联免疫吸附实验(ELISA)和免疫印迹分析(Western blots)证实。10736份其它血清采自北京和河南的四个人群现场。Hp尿素酶抗原(HpU)由本实验室分离纯化。酶标板采用美国Linbro/Titertek酶标板。IgG标准品购自百泰生物技术公司,为日本北里研究所产品,IgG含量为15.5g/L。参考血清由多份抗
检测站抽样样品另加4O×0.000001浓度的DM.A。 1.2 主要药品及仪器 硅胶G:青岛海洋化工有限公司制造(CP)。DM.A标准品:中国兽医药品监察所提供。0.25%茚三酮溶液:0.25 g茚三酮溶于100 ml95%乙醇中,避光保存。0.1%蒽酮溶液:0.1g蒽酮溶于100ml浓硫酸中,现配现用。邻苯二甲醛溶液:0.2 g邻苯二甲醛溶于4O ml pHl0乙醇中加2-巯基乙醇0.4 mlpHl0乙醇:5Oμl 45%NaOH水溶液加到195 ml95%乙醇中制得。
技术资料暂无技术资料 索取技术资料










