万千商家帮你免费找货
0 人在求购买到急需产品
- 详细信息
- 技术资料
- 保存条件:
室温
- 保质期:
长期
- 英文名:
Oridonin
- 库存:
452
- 供应商:
北京百奥莱博科技有限公司
- CAS号:
28957-04-2
特别声明:本产品及我公司所售其他产品均为科研类试剂产品,严禁用于药物、医疗及其他非科研用途。
北京百奥莱博公司供应包括北京冬凌草甲素对照品大量库存促销在内的化学标准品,化学对照品,杂志对照品,HPLC标准品,UV标准品等高品质标准品、对照品
名称:北京冬凌草甲素对照品大量库存促销
规格:20mg
产地:国产|进口
编号:BP1319
英文名:Oridonin
本品为冬凌草甲素化学对照品,供鉴别或含量测定用。使用前无需干燥处理,含量以99.5%计。
CAS号:28957-04-2
分子式:C20H28O6
分子量:364.43
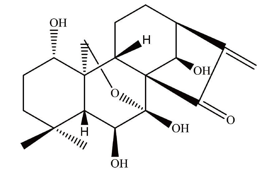
结构式:

包装及装量:棕色安瓿瓶,约20mg/支
储存条件:常温保存。
北京冬凌草甲素对照品大量库存促销正在火爆热销,除此之外,为您推荐下别热销产品:
丙*(代"烷")磺酸*一水物 Disodiu*(代"m") zinc ethylenediamin*(代"e")tetraacetate tetrahydrate 304672-01-3
ARB11280 人骨骼肌受体酪*酸激酶(MUSK)elisa检测 huma musclespecific tyrosine kinase, musk ELISA KIT
CYB167016 羊抗人C3
PY01-117 琼脂粉 日本进分 100克
BTN130646 尿嘧啶-DNA糖基化酶 Uracil DNA Glycosylase(UDG)
L-甘-甘-甘三肽 HSPYU 556-33-2
ARB10093 人D二聚体(D2D)含量分析 Human d-dimer,d2d ELISA KIT
BTN81202 真菌总蛋白质微量提取试剂盒 Fungal Total Protein Miniprep Kit
BL1177 DAB显色试剂盒(20×)
F010203 小鼠抗人IgG Fab抗体 Monoclonal Mouse Anti-Human IgG(Fab)
ARB12397 大鼠性激素结合球蛋白(SHBG)尿液中含量检测 Rat sex hormone-binding globulin,shbg ELISA KIT
ARB11796 人碱性胎儿蛋白(BFP)Elisa分析 Human basic fetoprotein,bfp ELISA KIT
ARB10707 人多功能蛋白聚糖(VS)ELISA检测服务 Human versican/pg-m/pg-350,vs ELISA KIT
ARB12677 大鼠颗粒酶B(Gzms-B)检测服务 Rat granzymes b,gzms-b ELISA KIT
BTN80911 蛋白酶K溶液 Proteinase K Solution
1-乙基-3-(3-二甲*丙基)碳二亚胺盐*(代"酸")盐 D-Arginine 25952-53-8
SJ0793 褪黑素
ARB10011 人17羟孕酮(17-OHP)血清中含量检测 Human 17-hydroxyprogesterone,17-ohp ELISA KIT
ARB12044 大鼠乙酰胆碱酯酶(AChE)elisa测定使用说明书 Rat acetylcholinesterase,ache ELISA KIT
甲氧苄啶 Pectinase 738-70-5
北京冬凌草甲素对照品大量库存促销关键词:28957-04-2,冬凌草甲素,Oridonin
PY02-143 四环素检定琼脂 250克
BL1303 BSA标准品(5mg/ml)
103476-89-7 Leupeptin 亮抑酶肽
BL0878 兔抗人IgM免疫血清 0.5ml
BTN100882 电泳级*酚蓝溶液 Bromophenol Blue Solution, EG
BOC-Nim-苄基-L-组*酸 Chymotrypsinogen A 20898-44-6
9001-12-1 胶原酶Ⅰ CollagenaseⅠ
BFD002 猪蓝耳病毒抗体检测试剂盒
ARB11333 human胎球蛋白A(FETU-A)Elisa分析 Human fetuin a,fetu-a ELISA KIT
BL0803 山羊IgG抗原干粉(原装)
矿物油 Potassium citrate monohydrate 8042-47-5
ET108 High Affinity HotStart Taq
ARB13742 兔超敏C反应蛋白(hs-CRP)Elisa方法检测 Rabbit high sensitivity c-reactive protein,hs-crp ELISA KIT
环磷酸腺苷 Lithocholic acid 60-92-4
BTN120503 柱式藻类RNAOUT Column Algal RNAOUT
北京冬凌草甲素对照品大量库存促销关键词:28957-04-2,冬凌草甲素,Oridonin
生物化工学科起始于第二次世界大战时期,以抗生素的深层发酵和大规模生产技术的研究为标志。20世纪60年代末至80年代中期,转基因技术、生物催化与转比技术、动植物细胞培养技术、新型生物反应器和新型生物分离技术等开发和研究的成功,使本学科进入了新的发展时期,学科体系逐步完善。20世纪后期,随着以基因工程为代表的高新技术的迅速崛起,为本学科的进一步发展开辟了新领域,无数前人的工作和我公司的不懈奋斗。造就了高品质的冬凌草甲素。
·麦角甾醇
编号:BP1406
英文名称:Ergosterol
规格:20mg/支
·曲昔匹特
编号:BP0623
英文名称:Troxipide
规格:100mg
·乙酰谷酰胺
编号:BP0651
英文名称:Aceglutamide
规格:100mg
本品为乙酰谷酰胺化学对照品,供含量测定用,使用前不需干燥处理。供HPLC法测定,按C7H12N2O4计,含量为99.6%
CAS号:2490-97-3
分子式:C7H12N2O4
分子量:188.18
结构式:

包装及装量:棕色安瓿瓶,充氮,约100mg/支
储存条件:遮光,密闭保存
·甲基正壬酮
编号:BP1119
英文名称:Methylnonylketone
规格:约0.1ml/支
本品为甲基正壬酮化学对照品,供鉴别及含量测定用,含量以99.8%计,使用前不需干燥处理。
CAS号:112-12-9
分子式:C11H22O
分子量:170.29
包装:棕色安瓿瓶
规格:约0.1毫升/支
储存条件:阴凉处保存。
·*氧喹
编号:BP0771
英文名称:Methylnonylketone
规格:100mg
本品为甲基正壬酮化学对照品,供鉴别及含量测定用,含量以99.8%计,使用前不需干燥处理。
CAS号:112-12-9
分子式:C11H22O
分子量:170.29
包装:棕色安瓿瓶
规格:约0.1毫升/支
储存条件:阴凉处保存。
·头孢他美酯
编号:BP1660
英文名称:Cefetamet Pivoxil
规格:100mg
本品为头孢他美酯化学对照品,供高效液相含量测定用,含量以头孢他美(C14H15N5O5S2)计。
使用方法:精密称取适量,按规定的方法,配制至所需浓度的对照品溶液,立即使用。
储存条件:置 5℃以下条件低温避光保存。启开安瓿后严密保持干燥以防吸水。
注意事项:使用前不需干燥处理。最小取样量:5mg
冬凌草甲素特价促销,价格合理,售后服务完善,确属质量问题可包换包退,免除您的后顾之忧。工作时间内可免费技术咨询和指导,我们将竭尽我们的全力为您服务,争取包您100%满意,欢迎新老客户来电订购!
我公司是一家生物高新技术企业,主要从事免疫学、分子生物学和常规生化试剂的研发、销*(代"售")。并代理销*(代"售")Omega、Sigma、R&D、GBD、ATCC、HYCLONE等二十多家国外知名品牌,致力于为广大高校、科研院所和企事业单位提供一流的科研试剂和完善的技术服务,满足生物化学、分子生物学 、冬凌草甲素、细胞生物学、免疫学 ELISA试剂盒等生物科技实验需求。
北京百莱博科技有限公司专业生产标准品对照品产品,欢迎来电咨询选购北京冬凌草甲素对照品大量库存促销。
风险提示:丁香通仅作为第三方平台,为商家信息发布提供平台空间。用户咨询产品时请注意保护个人信息及财产安全,合理判断,谨慎选购商品,商家和用户对交易行为负责。对于医疗器械类产品,请先查证核实企业经营资质和医疗器械产品注册证情况。
技术资料暂无技术资料 索取技术资料










