相关产品推荐更多 >
万千商家帮你免费找货
0 人在求购买到急需产品
- 详细信息
- 文献和实验
- 技术资料
- 保存条件:
阴凉干燥
- 保质期:
长期
- 英文名:
Plantamajoside
- 库存:
732
- 供应商:
北京百奥莱博科技有限公司
- CAS号:
104777-68-6
特别声明:本产品及我公司所售其他产品均为科研类试剂产品,严禁用于药物、医疗及其他非科研用途。
大车前苷对照品哪里卖是高品质的标准品对照品产品,由北京百奥莱博供应,用于生化科学研究,本产品质量好,且极具价格优势,深为用户称道,了解更多大车前苷等标准品对照品产品请联系我司咨询订购。
名称:大车前苷对照品哪里卖
规格:约20mg/支
编号:BP1454
英文名:Plantamajoside
产地:国产|进口
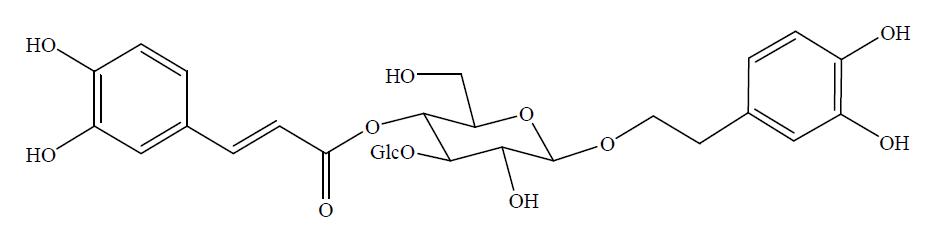
本品为大车前苷化学对照品,供鉴别及含量测定用,含量以90.2%计,使用前不需干燥处理。
CAS号:104777-68-6
分子式:C29H36O16
分子量:640
结构式:

包装:棕色安瓿瓶
规格:约20毫克/支
储存条件:冷冻保存
注意事项:本品不稳定,且有引湿性,打开包装后一次使用完毕。
关于大车前苷对照品哪里卖的更详细说明,请致电我公司咨询,我们将以最饱满的热情为您提供解答,此外,我公司专业供应下列产品:
·辛夷脂素
编号:BP1210
英文名称:Fargesin
规格:20mg
·二丙*(代"酸")倍他米松
编号:BP0458
英文名称:Betamethasone Dipropionate
规格:100mg
·硝基呋*(代"喃")丙*(代"烯")酸
编号:BP0072
英文名称:5-Nitro-2-Furan-acrylic Acid
规格:100mg
·头孢唑林
编号:BP1607
英文名称:Cefazolin
规格:100mg
·水杨酰胺
编号:BP0379
英文名称:Saliclamide
规格:100mg
·乳酸*
编号:BP0858
英文名称:Calcium Lactate
规格:100mg
·草乌甲素
编号:BP0406
英文名称:Bulleyaconitine A
规格:50毫克/支
本品为草乌甲素化学对照品,供含量测定用,使用前不需干燥处理,供HPLC法测定,按C35H49O10N计,含量为99.5%。
分子式:C35H49O10N
分子量:643.77
CAS号:79592-91-9
包装:棕色西林瓶
规格:约50毫克/支
储存条件:遮光,密闭,10~30℃保存。
·异土木香内酯
编号:BP1058
英文名称:Isoalantolactone
规格:约20mg/支
本品为异土木香内酯化学对照品,供鉴别及含量测定用。置五氧化二磷减压干燥器中减压干燥12h后使用。含量以98.8%计。
CAS号:470-17-7
分子式:C15H20O2
分子量:232.32
结构式:

包装:棕色瓶
规格:约20毫克/支
储存条件:冷处(2~10℃)保存
大车前苷对照品哪里卖关键词:Plantamajoside,大车前苷,104777-68-6
我公司是一家生物高新技术企业,主要从事免疫学、分子生物学和常规生化试剂的研发、销*(代"售")。并代理销*(代"售")Omega、Sigma、R&D、GBD、ATCC、HYCLONE等二十多家国外知名品牌,致力于为广大高校、科研院所和企事业单位提供一流的科研试剂和完善的技术服务,满足生物化学、分子生物学 、大车前苷、细胞生物学、免疫学 ELISA试剂盒等生物科技实验需求。
·磷酸转乙酰化酶
编号:BP1785
英文名称:Phosphotransacetylase
规格:120U/支
本品为磷酸转乙酰化酶标准试剂,效价为120U/支,供辅酶A效价测定用。
包装:白色安瓿
装量:每支120U
储存条件:密封,-20℃保存
注意事项:使用时放置室温,溶解后离心取上清液一次使用。
·乌拉地尔杂质A
编号:BP0683
英文名称:Urapidil Impurity A
规格:20mg
本品为磷酸转乙酰化酶标准试剂,效价为120U/支,供辅酶A效价测定用。
包装:白色安瓿
装量:每支120U
储存条件:密封,-20℃保存
注意事项:使用时放置室温,溶解后离心取上清液一次使用。
·溶酶小球菌底物
编号:BP1783
英文名称:Lysomicrococcus Substration
规格:约13mg/瓶
本品为溶酶小球菌底物化学对照品,供溶菌酶效价测定用底物。
使用方法:取溶酶小球菌底物 1 瓶,加磷酸盐缓冲液 1-2ml, 转移到乳钵中研磨,再加磷酸盐缓冲液适量混匀,于25±0.1℃条件下,450nm处调整吸收度为 0.70±0.05 范围测定(临用前配制)。
包装及装量:棕色瓶,约13mg/支
储存条件:-20℃
注意事项:打开后一次使用
·比阿培南
编号:BP1707
英文名称:Biapenem
规格:50mg/支
本品为比阿培南化学对照品,供HPLC法含量测定用,以C15H18N4O4S计,含量为99.0%。使用前不需干燥处理。
CAS号:120410-24-4
分子式:C15H18N4O4S
分子量:350.4
结构式:

包装:棕色安瓿
规格:约50毫克/支
储存条件:2-8℃遮光保存。
·6-甲基香豆素
编号:BP2171
英文名称:6-Methylcoumarin
规格:100mg/支
本品为6-甲基香豆素化学对照品,供HPLC法和GC法检查用,按C10H8O2计,含量为 100%,使用前不需干燥处理。
CAS号:92-48-8
分子式:C10H8O2
分子量:160.17
包装及装量:棕色西林瓶装,每支约100毫克
储存条件:遮光,密封保存
大车前苷对照品哪里卖关键词:Plantamajoside,大车前苷,104777-68-6
大车前苷如何储存?
化学试剂的变质,大多数情况是因为受外界条件的影响,如空气中的氧气、二氧化碳、水蒸气、空气中的酸碱性物质以及环境 温度、光照等,都可使化学试剂发生氧化、还原、潮解、风化、析晶、稀释、锈蚀、分解、挥发、升华、聚合、发霉、变色以及燃爆等变化。经常检查储存中的化学 试剂的存放状况发现实际起过的储存期或变质应及时报告,并按规定妥善处理 ( 降级使用或报废) 和销帐。在正常储存条件下,一般化学试剂贮有不宜超过2年,基准试剂不超1年。为了避免环境和其他因素的干扰,所有化学试剂一经取出不得放回贮有容器: 属于必须回收的试剂或指定、退库、的试剂,必须另设专用容器回收或贮存,具有吸潮性或易氧化,易变质的化学试试剂必须密封保存,避免吸湿解,氧化或变质。 定期盘点,核对出现差错应及时检查原因,并报主管领导或部门处理。
SJ0697 超低分子量蛋白Marker Ⅱ (3.5-26.6kD)
BFD046 克伦特罗快速检测卡
BL1289 8%多聚甲醛
ARB13513 鱼类甲状腺素(T4)酶联免疫定量检测 Fish thyroxine,t4 ELISA KIT
553-24-2 Neutral Red Certified中性红
ARB11008 人补体片断3A(C3A)Elisa分析 Human complement fragment 3a,c3a ELISA KIT
Q琼脂糖凝胶FF VMA
ARB10365 人末端补体复合物C5b-9(TCC C5b-9)ELISA检测服务 Human terminal complement complex c5b-9,tcc c5b-9 ELISA KIT
ARB11023 人尿嘧啶核苷磷酸化酶1(UPP1)elisa检测操作说明书 Human uridine phosphorylase 1,upp1 ELISA KIT
2′-脱氧胞苷 TMB 951-77-9
DL-焦谷*酸 Bismuth citrate 149-87-1
司帕沙星 4-CN 110871-86-8
ARB14158 人胱硫醚β-合酶(CBS)酶标法分析
ARB10183 人α2纤溶酶抑制物(α2-PI)血清中含量检测 Human α2-plasmin inhititor,α2-pi ELISA KIT
BL1146 线粒体膜电位检测试剂盒(JC-10)
大车前苷等科研试剂品质优良,受到广大科研工作者的一致肯定和赞许。质量品牌保证,价格公正,倾力为国内国外生命科学研究人员提供一流的产品。欢迎来电咨询!
我公司正在打折促销标准品对照品全系列产品,恭候您的咨询选购大车前苷对照品哪里卖。
风险提示:丁香通仅作为第三方平台,为商家信息发布提供平台空间。用户咨询产品时请注意保护个人信息及财产安全,合理判断,谨慎选购商品,商家和用户对交易行为负责。对于医疗器械类产品,请先查证核实企业经营资质和医疗器械产品注册证情况。
文献和实验在HPLC检测中,供试品浓度的选取应该遵循什么的原则?浓度多少合适?以定量限做浓度检测的依据吗?10倍的信噪比?遵循最大还是最小浓度原则? 2.做回收率的时候,是取了9分不同含量的样品。我看到有的回收率是取3分不同含量的样品,分别加入其80%,100%,120%.也有的取6分不同含量的样品,加入其80%,100%,120%的对照品。请问:回收率有统一的取样标准吗? 3.关于含量低于万分之一时需要配合别的指标这条原则的理论依据是什么?或者说
的比例约为50%,如果能做出来,也存在一个问题,就是抗体大多只能用一次。我曾经把Santa的原装抗体和分装抗体做过比对(抗体品种,货号等完全一致),在都能做出来的前提下,原装抗体能重复使用的次数要多出许多。具体原因我已经揣测了好几年,不敢说出来,我一直在想是不是冬天西瓜切成牙和整个卖,也会有所不同。揣测归揣测,假如只为了发论文毕业走人,可以考虑选用进口分装的多克隆抗体。 国产抗体比较知名的就几家,但质量确实不敢恭维。western blot能做出来的确实不多,而且杂带多,背景不干净。我们周边
,唯一的不足是CST的品种实在不多。Santa的多克隆抗体质量可以,但是选用Santa的单抗还是有风险,估计这也是业界共识了吧。 进口抗体国内分装包装我也用过不少,呵呵,毕竟是穷人(420元/100微升),大概好抗体的比例约为50%,如果能做出来,也存在一个问题,就是抗体大多只能用一次。我曾经把Santa的原装抗体和分装抗体做过比对(抗体品种,货号等完全一致),在都能做出来的前提下,原装抗体能重复使用的次数要多出许多。具体原因我已经揣测了好几年,不敢说出来,我一直在想是不是冬天西瓜切成牙和整个卖
技术资料暂无技术资料 索取技术资料










