相关产品推荐更多 >
万千商家帮你免费找货
0 人在求购买到急需产品
- 详细信息
- 文献和实验
- 技术资料
- 保存条件:
2-10℃
- 保质期:
长期
- 英文名:
Terrestrosin K
- 库存:
786
- 供应商:
北京百奥莱博科技有限公司
- CAS号:
193605-07-1
特别声明:本产品及我公司所售其他产品均为科研类试剂产品,严禁用于药物、医疗及其他非科研用途。
北京百奥莱博公司供应包括蒺藜皂苷K对照品北京厂家在内的化学标准品,化学对照品,杂志对照品,HPLC标准品,UV标准品等高品质标准品、对照品
名称:蒺藜皂苷K对照品北京厂家
产地:国产|进口
品牌:百奥莱博
英文名:Terrestrosin K
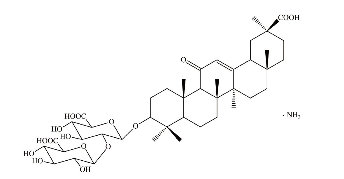
本品为蒺藜皂苷K化学对照品,供鉴别和含量测定用,含量以90.6%计,使用前不需干燥处理。
CAS号:193605-07-1
分子式:C51H82O24
分子量:1079.18
结构式:

包装:棕色安瓿瓶
规格:约20mg/支
储存条件:冷处(2-10℃)保存
注意事项:本品具有引湿性,建议打开包装一次性使用完。
关于蒺藜皂苷K对照品北京厂家的更详细说明,请致电我公司咨询,我们将以最饱满的热情为您提供解答,此外,我公司专业供应下列产品:
吡嗪酰胺 Tridecanoic acid 98-96-4
ARB10717 人色*酰tRNA合成酶(WARS)Elisa分析 Human tryptophanyl-trna synthetase,wars ELISA KIT
DL-正缬*酸 Phenylpyruvic acid 760-78-1
胸腺嘧啶 Myokinase 65-71-4
H0601 马血浆(去红细胞、无菌过滤)
PY02-199 曙红亚甲基蓝琼脂 250克
81-88-9 罗丹明B/玫瑰红B Rhodamine B
2-甲氧基*甲*(代"酸") IUPAC 579-75-9
ARB11240 人毒蕈碱型乙酰胆碱受体亚型M1(M-AChRM1)检测服务 Human muscarinic acetylcholine receptor m1,m-achr m1 ELISA KIT
RN2901 "Allprep 组织/细胞RNA/DNA分提试剂盒
优巴拉尔 β-Glucosidase from almonds
茚三酮 Fmoc-Asn-OH 485-47-2
ARB11068 人转移因子(TF)定量分析 Human transfer factor,tf ELISA KIT
ARB12481 大鼠前列腺酸性磷酶(PACP)酶免分析
吩嗪乙基硫*(代"酸")盐 3,5-Dihydroxytoluene 10510-77-7
ARB12364 大鼠转化生长因子β(TGF-β)Elisa方法检测 Rat transforming growth factor-β,tgf-β ELISA KIT
β-淀粉酶 SE 9000-91-3
蒺藜皂苷K对照品北京厂家关键词:193605-07-1,蒺藜皂苷K,Terrestrosin K
SJ0802 Melibiose 密二糖
HC0113 透析袋MD34 ( 截留量7000 )
CYB165031 生物素化人IgG
SJ0194 Dextran Blue 2000 蓝色葡聚糖 2000
BTN61205 血清白蛋白清除剂 Serum Albumin Erasol
BTN130412 eTS核心试剂盒 eTS Core Kit
ARB12931 小鼠孕激素/孕酮(PROG)代做ELISA实验 Mouse progesterone,prog ELISA KIT
L0203 IgG(1、2a、2b)类单克隆抗体腹水纯化试剂盒
乙二*(代"胺")四乙酸二*锰盐 Boc-Glu(OtBu)-OH 15375-84-5
F030422 胶体金标记兔抗人IgG FC抗体 Rabbit Anti-Human IgG(FC)*GOLD
ARB12249 大鼠血管活性肠肽(VIP)尿液中含量检测 Rat vasoactive intestinal Peptide,vip ELISA KIT
PY02-185 葡萄糖半固体发酵管 250克
ARB10448 人甲酰甲硫*酸(fMet)定量分析 Human formylmethionine,fmet ELISA KIT
ARB12037 大鼠一型C端前胶原(PICP)检测服务 Rat picp ELISA KIT
ARB11119 人肺表面活性物质相关蛋白C(SP-C)含量检测 Human pulmonary surfatcant-associated protein c,sp-c ELISA KIT
胆固醇氧化酶 STAB 9028-76-6
CBZ-D-*丙*酸 Cyclooctanone 2448-45-5
去*抗坏血酸 Fmoc-D-Arg(Pbf)-OH 490-83-5
*并芘 FMOC-S-trityl-L-cysteine 50-32-8
BTN90707 动植物总蛋白微量提取试剂盒 Animal-Plant Total Protein Miniprep Kit
S-腺苷-L-甲硫*酸转移酶 Sodium lactate 9012-25-3
ARB13352 牛丙*(代"酮")(Acetone)ELISA检测服务 Bovine acetone ELISA KIT
蒺藜皂苷K对照品北京厂家关键词:193605-07-1,蒺藜皂苷K,Terrestrosin K
我公司提供多种购买方式:登陆网站联系客服查询!(您可通过电话/传真/QQ/邮件等方式咨询,订购或索取蒺藜皂苷K最新报价)
我们专业供应科研试剂多年,品质保证 售前,售中,售后服务一条*(代"龙"),无效果、免费退换。您只需告诉我们您的需要或要求,我们的客户服务代表将会给您提供专业的咨询和解答。优质服务让您更省心,更舒心,更放心。敬请关注!
·肝素分子量对照品
编号:BP1912
英文名称:Heparin molecular weight calibrant
规格:25mg/瓶
本品为肝素分子量对照品,供肝素*、肝素*分子量与分子量分布检查实验使用。使用前不需干燥。
CAS号:9041-08-1
包装:棕色西林瓶
规格:约25mg/瓶
储存条件:避光,4℃冷藏保存
注意事项:本品具有引湿性。
肝素分子量对照品(140819-201501)宽分布标样表
·伪原薯蓣皂苷
编号:BP1411
英文名称:Pseudoprotodioscin
规格:20mg/支
本品为伪原薯蓣皂苷化学对照品,供含量测定用,含量以92.0%计,使用前不需干燥处理。
CAS号:102115-79-7
分子式:C51H82NO21
分子量:1030
结构式:
包装及装量:棕色安瓿瓶,约20mg/支
储存条件:冷冻保存
注意事项:本品极具引湿性,引湿后潮解,打开包装后一次使用完毕。
·甘草酸铵
编号:BP1036
英文名称:Ammonium Glycyrrhizinate
规格:20mg/支
本品为甘草酸铵化学对照品,供含量测定用,含量93.0%,使用前不需干燥处理。
CAS号:53956-04-0
分子式:C42H65NO16
分子量:839.96
结构式:
包装:棕色安瓿瓶
规格:约20mg/支
储存条件:冷处(2-10℃)保存
注意事项:本品有引湿性,建议打开包装一次性使用完。
我公司主要从事免疫学、分子生物学和常规生化试剂的研发、销*(代"售")。并代理销*(代"售")R&D、Sigma、Amresco 、Gibco、Pharmacia、HyClone、GIBCO等多个国外知名品牌,致力于为广大高校、科研院所和企事业单位提供一流的科研试剂和完善的技术服务,满足生物化学、分子生物学 、细胞生物学、免疫学等生物科技实验需求。 公司主要产品:试剂盒:蒺藜皂苷K、ELISA试剂盒、分子生物学试剂、细胞凋亡试剂盒。各种动物血清:NBQQ、HyClone、GIBCO胎牛血清。抗体:进口原装抗体、进口分装抗体、单克隆抗体、多克隆抗体、一抗、二抗。 我们立足于生命科学领域,全力打造高品质生物科技产品链和技术服务链,立志成为生命科学研究领域的问题解决专家。
蒺藜皂苷K现货供应,凡在我公司购买该产品均可享受免费的技术咨询服务,年中降价>>低价格促销:elisa试剂盒,Amrecso原装试剂、抗体、等相关试剂,产品品种齐全,价格优惠。产品质量,服务质量均是一流,您尽可放心购买!
我公司强烈推荐标准品对照品系列产品,热情期待您的咨询选购蒺藜皂苷K对照品北京厂家。
风险提示:丁香通仅作为第三方平台,为商家信息发布提供平台空间。用户咨询产品时请注意保护个人信息及财产安全,合理判断,谨慎选购商品,商家和用户对交易行为负责。对于医疗器械类产品,请先查证核实企业经营资质和医疗器械产品注册证情况。
文献和实验液相色谱-蒸发光散射检测法测定其黄芪甲苷的含量,报道如下。 1 仪器与试药 LC�10ATvp高效液相色谱仪(日本岛津公司);ELSD�2000蒸发光检测器(美国Alltech);黄芪甲苷对照品(中国药品生物制品检定所提供,批号为110781�200311,为含量测定用);乙腈为色谱纯,水为经Milli�Q过0.22μm膜净化的超纯水,其它试剂均为分析纯。心舒康片样品(厂家提供)。 2 方法与结果 2.1 色谱条件 色谱柱为Agilent HC�
CO2指标,并以两者之和作为总香豆素的含量,采用正交实验CO2设计方法、利用超临界CO2萃取工艺对中药白芷中香豆素类物质进行提取研究,利用Matlab 6.5提供的神经网络工具箱建立BP神经网络模型,并利用优化后的网络对超临界萃取结果进行预测。 1 仪器和药品 CL-5型超临界流体萃取机(北京合世兴业有限公司,5L);SSI-222D高效液相色谱仪(美国凯德)。川白芷(北京同仁堂集团);氧化前胡素、欧前胡素对照品(中国生物制品检定所);二氧化碳(99.95%);甲醇为色谱
混合器(海门麒麟医用仪器厂);日本A&D电子分析天平。 心达康对照品:槲皮素、山奈素和异鼠李素(中国药品生物制品检定所,供含量测定用);心达康片样品(四川雅达药业股份有限公司提供,批号:050501、050502、050503,总黄酮标示量为5mg/片)。 甲醇(色谱纯);水为重蒸水;其他试剂均为分析纯。 2 方法和结果 2.1 对照品溶液的制备 分别取心达康对照品(槲皮素、山奈素、异属李素)适量,用甲醇配成含槲皮素19.69
技术资料暂无技术资料 索取技术资料










