相关产品推荐更多 >
万千商家帮你免费找货
0 人在求购买到急需产品
- 详细信息
- 文献和实验
- 技术资料
- 保存条件:
室温
- 保质期:
长期
- 英文名:
Ketoconazole Impurity C
- 库存:
685
- 供应商:
北京百奥莱博科技有限公司
特别声明:本产品及我公司所售其他产品均为科研类试剂产品,严禁用于药物、医疗及其他非科研用途。
北京百奥莱博公司供应包括酮康唑杂质C标准品价格在内的化学标准品,化学对照品,杂志对照品,HPLC标准品,UV标准品等高品质标准品、对照品
北京百奥莱博科技有限公司专业生产供应酮康唑杂质C标准品价格,产品信息:
类别:标准品对照品
英文名:Ketoconazole Impurity C
| 产品名 | 产品编号 | 包装规格 |
| 酮康唑杂质C | BP1753 | 30mg |
编号:BP1753
品牌:百奥莱博
规格:30mg
英文名:Ketoconazole Impurity C
产地:国产|进口
本品为酮康唑杂质C化学对照品,供酮康唑杂质检查用
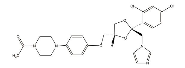
分子式:C26H28Cl2N4O4
分子量:530.1
结构式:

包装及装量:安瓿;30mg/支
储存条件:常温避光保存。
酮康唑杂质C标准品价格专业优质供应商:北京百奥莱博科技有限公司
关键词:Ketoconazole Impurity C,酮康唑杂质C,BP1753
我公司先后与天津中医学院、北京军区总医院、复旦大学、北京大学、上海交通大学、华东师范大学、第二军医大学、南京大学、清华大学、复兴医院、南京工业大学、301医院、中科院上海分院等多家单位建立了良好的合作关系。本公司可为您提供高品质的酮康唑杂质C等科研试剂。 公司秉承“专注品质、信守承诺、积极沟通、创新服务”的企业文化积极参与生物领域的技术创新和技术服务,力求为我国科研事业更好的,更专业的服务!
除酮康唑杂质C标准品价格外,我公司正在打折促销以下产品:
| 编号 | 名称 | 英文名称 |
| BP2156 | 盐*(代"酸")厄洛替尼(B晶型) | Erlotinib Hydrochloride(Polymorph B) |
| BP2038 | 壳聚糖 | Chitosan |
| BP0068 | 芦丁 | Rutin(Rutoside) |
| BP0836 | 丙戊酸* | Magnesium Valproate |
| BP0721 | 盐*(代"酸")黄酮哌酯 | Flavoxate Hydrochloride |
| BP1651 | 头孢呋辛酯 | Cefuroxime Axetil |
| BP1814 | 辅酶A | Coenzyme A |
| BP2154 | 左卡尼汀杂质Ⅰ | Levocarnitine Impurity Ⅰ |
| BP0337 | 美索巴莫 | Methocarbamol |
| BP1131 | 原阿*(代"片")碱 | Protopine |
| BP1582 | 丙*(代"酸")交沙霉素 | Josamycin propionate |
| BP1576 | 大观霉素 | Spectinomycin |
| BP1201 | 紫苏油 | Perilla essential oil |
| BP1784 | 辅酶Q10 | Coenzyme Q10 |
| BP0409 | 甘露醇 | Mannitol |
| BP1408 | 3,6’-二芥子酰基蔗糖 | 3,6´-disinapoyl sucrose |
| BP0027 | 甲*醌 | Menadione |
| BP2171 | 6-甲基香豆素 | 6-Methylcoumarin |
| BP0035 | 邻甲*磺酰胺 | 2-Methylbenzenesulfonamide |
| BP1509 | 鸟苷 | Guanosine |
我公司生产供应销*(代"售")的标准品对照品产品正全系列现货促销,满分期待您的垂询选购酮康唑杂质C标准品价格。
风险提示:丁香通仅作为第三方平台,为商家信息发布提供平台空间。用户咨询产品时请注意保护个人信息及财产安全,合理判断,谨慎选购商品,商家和用户对交易行为负责。对于医疗器械类产品,请先查证核实企业经营资质和医疗器械产品注册证情况。
文献和实验,去除细胞等杂质; 3) 3000 g,4°C,离心 15 min,去除细胞碎片等杂质; 4) -80℃ 冰箱中保存; 5) 填写样本登记单,记录样本名称、类型、编号、取样日期、样本处理过程等情况。 4、 唾液 1) 唾液的成分会因取样的位置和时间不同而不同,在收集的时候需固定位置或是收集所有的唾液以及定时取,至少 5 mL。一般建议采样 1h 之内不得进食和刷牙; 2) 300 g,4°C,离心 10 min,去除细胞等杂质; 3) 3000 g,4°C,离心 15 min,去除细胞碎片等杂质
系列稀释样本的最高浓度做起。 6.模板降解。避免样品制备中杂质的引入及反复冻融的情况。 Q2.CT值出现过晚 1.扩增效率低,反应条件不够优化。设计更好的引物或探针;改用三步法进行反应;适当降低退火温度;增加镁离子浓度等。 2.PCR各种反应成分的降解或加样量的不足。 3.PCR产物太长。一般采用80-150bp的产物长度。 Q3.标准曲线的线性关系不佳 1.加样存在误差,使得标准品不呈梯度。 2.标准品
℃下将收集的血浆分装保存,避免反复冻融。样本应避免溶血或高血脂。常见的抗凝剂包括EDTA钠盐,肝素钠,枸橼酸钠等。检测前请仔细阅读ELISA试剂盒说明书,查看该试剂盒针对抗凝剂是否有特殊要求。 细胞培养上清 将细胞培养上清液吸入离心管中,在2-8℃下以1000×g离心20分钟,除去细胞碎片和杂质,收集上清液备用,样本保存在-20℃或-80℃,避免反复冻融。 细胞提取液 反复冻融方法 1) 吸出培养板中的培养基,用胰蛋白酶消化细胞,然后加入适量的培养基将培养板上的细胞冲洗干净。悬浮
技术资料暂无技术资料 索取技术资料










