万千商家帮你免费找货
0 人在求购买到急需产品
- 详细信息
- 文献和实验
- 技术资料
- 保存条件:
冷藏
- 保质期:
长期
- 英文名:
Dicyanodiamide
- 库存:
868
- 供应商:
北京百奥莱博科技有限公司
- CAS号:
461-58-5
特别声明:本产品及我公司所售其他产品均为科研类试剂产品,严禁用于药物、医疗及其他非科研用途。
百奥莱博公司致力于为全国科研单位提供药典标准品、对照品、标准溶液、标准样品、对照培养基、国家标准品等可靠标准物质,其中北京现货双*胺标准品打折促销的品质过硬,在广大科研人员中有口皆碑!
名称:北京现货双*胺标准品打折促销
规格:1g
编号:BP0080
产地:国产|进口
英文名:Dicyanodiamide
本品为双*胺(Dicyanodiamide),仅供熔点温度计校准用,按照熔点测定法第一法测定,升温速度以每分钟上升1.5℃为宜,熔点为210.5℃。
分子式:C2H4N4
分子量:84.08
CAS号:461-58-5
包装及装量:棕色小瓶装,每支约1g。
储存条件:遮光,密闭保存。
注意事项:105℃干燥2小时后使用。
更多有关北京现货双*胺标准品打折促销的价格及使用说明等,请联系我们的业务经理王欣女士咨询,我公司还销*(代"售")以下产品:
·枸橼酸西地那非
编号:BP2137
英文名称:Sildenafil Citrate
规格:100mg/支
本品为枸橼酸西地那非化学对照品,供IR鉴别和含量测定用,按C22H30N6O4S·C6H8O7计,含量为99.0%,使用前不需干燥处理。
CAS号:171599-83-0
分子式:C22H30N6O4S·C6H8O7
分子量:666.70
结构式:

包装:棕色安瓿瓶装
规格:100毫克/支
储存条件:遮光,密封保存
·维生素A醋酸酯
编号:BP0295
英文名称:Vitamin A Acetate
规格:1g/支
本品应为澄清溶液,如必要,临用前可在不超过60℃的水浴中加热至溶液澄清。供HPLC法测定,按C22H32O2计,本品每1g中含维生素A醋酸酯344mg(100万单位),其中含全反式维生素A醋酸酯98.0%。建议打开包装后一次性使用完毕。
分子式:C22H32O2
分子量:328.49
CAS号:127-47-9
包装:棕色安瓿
装量:约1克/支
储存条件:遮光,充氮,密封,在冷处保存
·甲状腺素(T4)
编号:BP1945
英文名称:Thyroxine (T4)
规格:940ng/支
本品为甲状腺素免疫测定用标准品,以高纯T4为原料制备,供T4免疫分析使用,适用于化学发光、时间分辨免疫荧光等方法。
性状:白色冻干粉末
包装:白色安瓿瓶
规格:每支安瓿内含T4 940ng,含牛血清白蛋白(BSA)5mg,磷酸盐微量。本品为冻干品。
特性量值:每支安瓿内含T4 940ng。
使用方法和要求:
建议使用时以含0.5-1%的人血清白蛋白(HSA)或牛血清白蛋白(BSA)的10mM磷酸盐缓冲液(pH=7.2-7.4)或其他含蛋白的中性缓冲体系将内容物完
北京现货双*胺标准品打折促销关键词:Dicyanodiamide,双*胺,461-58-5
我公司以高效的产品质量,完善的销*(代"售")体系、快速、安全的产品渠道,优质的客户服务,以诚信的态度,真诚的对待客户、合作伙伴以及各位同仁,欢迎来电咨询双*胺!
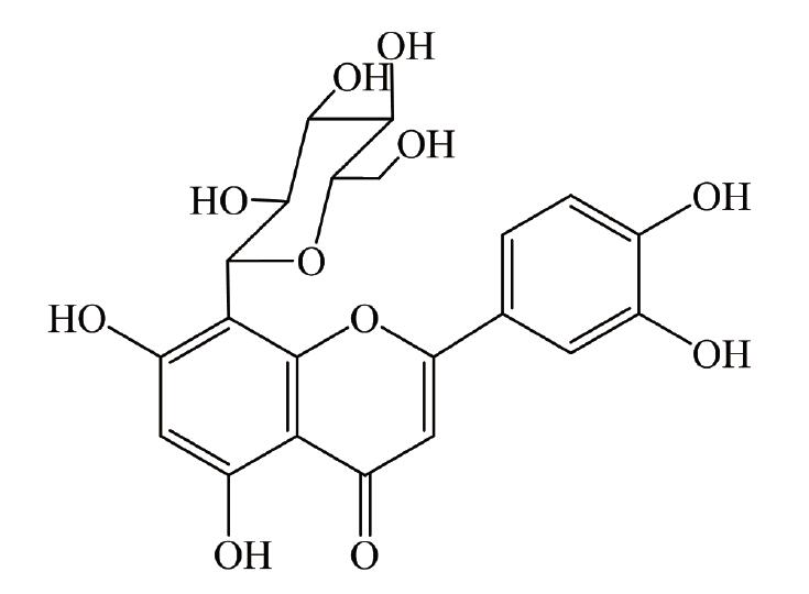
·荭草苷
编号:BP1356
英文名称:Orientin
规格:20mg
本品为荭草苷化学对照品,供鉴别和含量测定用,含量以97.9%计。
CAS号:28608-75-5
分子式:C21H20O11
分子量:448.38
结构式:

包装及装量:棕色瓶,约20mg/支
储存条件:常温干燥、密闭遮光保存
注意事项:置五氧化二磷减压干燥器中干燥12小时以上后使用。
·左羟丙哌*(代"嗪")杂质(缩水甘油)
编号:BP0955
英文名称:Levodropropizine Impurity(Glycidol)
规格:约300毫克/支
本品为左羟丙哌*(代"嗪")杂质(缩水甘油)化学对照品,使用前不需干燥处理。供GC法检查用。
CAS号:556-52-5
分子式:C3H6O2
分子量:74.08
结构式:

包装:安瓿瓶装
规格:约300毫克/支
储存条件:遮光,2-8℃密封保存。
·大豆磷脂酰胆碱
编号:BP1985
英文名称:Soybean phosphatidylcholine
规格:50mg/支
本品为大豆磷脂酰胆碱化学对照品,供大豆磷脂和大豆磷脂含量测定用,含量以92.5%计。
CAS号:8002-43-5
结构式:

R1, R2 为脂肪酸链
包装:棕色安瓿装。
规格:约50mg/瓶。
储存条件:遮光,密闭,于-20℃保存。
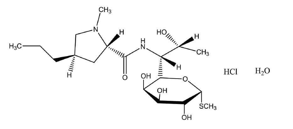
·林可霉素
编号:BP1614
英文名称:Lincomycin
规格:100mg/支
本品为林可霉素化学对照品,供HPLC法含量测定用,以C18H34N2O6S计,含量为85.5%,使用前不需干燥处理。
CAS号:859-18-7
分子式:C18H34N2O6S·HCl·H2O
分子量:461.02
结构式:

包装:安瓿瓶
规格:100mg/支
储存条件:2~10℃密闭遮光保存。
北京现货双*胺标准品打折促销关键词:Dicyanodiamide,双*胺,461-58-5
双*胺如何储存?
化学试剂的变质,大多数情况是因为受外界条件的影响,如空气中的氧气、二氧化碳、水蒸气、空气中的酸碱性物质以及环境 温度、光照等,都可使化学试剂发生氧化、还原、潮解、风化、析晶、稀释、锈蚀、分解、挥发、升华、聚合、发霉、变色以及燃爆等变化。经常检查储存中的化学 试剂的存放状况发现实际起过的储存期或变质应及时报告,并按规定妥善处理 ( 降级使用或报废) 和销帐。在正常储存条件下,一般化学试剂贮有不宜超过2年,基准试剂不超1年。为了避免环境和其他因素的干扰,所有化学试剂一经取出不得放回贮有容器: 属于必须回收的试剂或指定、退库、的试剂,必须另设专用容器回收或贮存,具有吸潮性或易氧化,易变质的化学试试剂必须密封保存,避免吸湿解,氧化或变质。 定期盘点,核对出现差错应及时检查原因,并报主管领导或部门处理。
SJ0849 人血清(混合血型)
ARB10746 人纤溶酶原激活物抑制物-1(PAI-1)代做ELISA实验 Human plasminogen activator inhibitor 1,pai-1 ELISA KIT
PY02-133 胆盐乳糖培养基(BL) 250克
ARB13377 牛流行性出血热(EHF)含量分析
BL1360 红细胞裂解液(无菌)
BL1151 10×电泳转移缓冲液
ARB11890 人磷酯酰肌醇特异性磷酯酶C(PIPLC)elisa检测 Human phosphoinositide-specific phospholipase c,piplc ELISA KIT
ARB10199 人α淀粉酶(AMS/AMY)酶联免疫定量检测 Human α-amylase,ams/amy ELISA KIT
BL0823 HRP标记兔抗狗IgG抗体
四乙酰核糖 Allura Red AC 13035-61-5
BTN120405 碱性磷酸酶,大肠杆菌 Alkaline Phosphatase,E.coli
BL0882 兔抗山羊IgG免疫血清
717阴离子交换树脂 ACHE 122560-63-8
PY02-077 疱肉培养基基础 250克
ARB12337 大鼠间羟去甲肾上腺素(NMN)血清中含量检测 Rat normetanephrine ,nmn ELISA KIT
003000 羊血浆
我公司倾力为客户提供最优 、最全、最有效的双*胺等科研试剂产品,质量被全国各大院校科研机构认可。 同时,我们售前,售中,售后全程为您服务。欢迎来电咨询!
北京百莱博科技有限公司专业生产供应销*(代"售")生物试剂、化学试剂、抗原抗体、血清血浆、Elisa试剂盒,更多试剂产品需求,欢迎来电咨询选购北京现货双*胺标准品打折促销。
风险提示:丁香通仅作为第三方平台,为商家信息发布提供平台空间。用户咨询产品时请注意保护个人信息及财产安全,合理判断,谨慎选购商品,商家和用户对交易行为负责。对于医疗器械类产品,请先查证核实企业经营资质和医疗器械产品注册证情况。
文献和实验。博士德部分现货ELISA产品超低价促销! 供应以上产品均为现货。特价产品如下: h.Activin A 1000元/96T h.MIP-1a 1500元/96T m.IL-4 1000元/96T h.BDNF 1000元/96Th.MIP-3a 1500元/96T m.IL-5 1000元/96T h.BMP-2 1500元/96Th.MCP-1 1000元/96T m.IL-6 1000元/96T h.CD54 1500元/96Th.MMP
技术资料暂无技术资料 索取技术资料










