万千商家帮你免费找货
0 人在求购买到急需产品
- 详细信息
- 询价记录
- 文献和实验
- 技术资料
- 保存条件:
室温
- 保质期:
长期
- 英文名:
Itraconazole impurity D
- 库存:
956
- 供应商:
北京百奥莱博科技有限公司
- CAS号:
89848-49-7
特别声明:本产品及我公司所售其他产品均为科研类试剂产品,严禁用于药物、医疗及其他非科研用途。
伊曲康唑杂质D对照品哪里买由专业试剂供应商北京百奥莱博提供,用于科研目的生化试验项目,本产品质量好,且极具价格优势,深为用户称道,了解更多伊曲康唑杂质D等标准品对照品产品请联系我司咨询订购。
名称:伊曲康唑杂质D对照品哪里买
产地:国产|进口
品牌:百奥莱博
编号:BP1759
规格:30mg/支
本品为伊曲康唑杂质D化学对照品,供伊曲康唑原料及其制剂HPLC法有关物质检查用,以伊曲康唑杂质(C34H36Cl2N8O4)计,含量为95.1%。使用前不需干燥处理。
CAS号:89848-49-7
分子式:C34H36Cl2N8O4
分子量:690.2
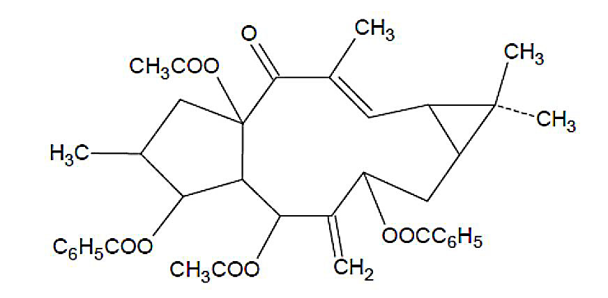
结构式:

包装:棕色安瓿
规格:30mg/支
储存条件:常温遮光保存
欲咨询购买伊曲康唑杂质D对照品哪里买,请致电北京百奥莱博科技有限公司,为您提供最全面周到的产品服务,除此之外,我公司正在促销以下产品:
·千金子素L2
编号:BP1366
英文名称:Euphorbia Factor L2
规格:20mg
本品为千金子素L2化学对照品,供供含量测定用,含量以98.5%计。
分子式:C38H42O9
分子量:642.28
结构式:

包装及装量:棕色瓿。
储存条件:干燥密闭保存。
注意事项:使用前无需处理。
·醋酸*己定
编号:BP0149
英文名称:Chlorhexidine Acetate
规格:100mg/支
本品为醋酸*己定的化学对照品,供含量测定用,使用前不需干燥处理,按醋酸*计,供HPLC法测定,含量为96.3%;供UV法测定,含量为96.9%。
分子式:C22H30Cl2N10·2C2H4O2
分子量:625.56
CAS号:56-95-1
包装:棕色西林瓶。
装量:约100mg/支。
储存条件:遮光,密闭,10~30℃保存。
·甲*蝶呤
编号:BP0112
英文名称:Methotrexate
规格:400mg/支
本品为甲*蝶呤(Methotrexate)的化学对照品供含量测定用,按C20H22N8O5计,含量为99.8%。使用前测定水分。
分子式:C20H22N8O5
分子量:454.45
CAS号:59-05-2
包装:棕色西林瓶。
规格:400毫克/支。
储存条件:遮光,密封。
注意事项:本品具有引湿性,使用前请混匀。
·人绝经尿促性腺素(HMG)
编号:BP1933
英文名称:Menotropins
规格:FSH:247IU/支;LH:202IU/支
本品为人绝经尿促性腺素(HMG)生物标准品,供FSH和LH的生物检定用,不能供临床使用。本品为冻干制品。
效价:本品每支含FSH:247国际单位;LH:202国际单位
储存条件:本品应低温(-20℃)冷冻保存。
标准溶液的配制:
FSH效价测定:试验当日,称取牛血清白蛋白适量,加0.9%*化*溶液溶解,制成每mL含1mg的溶液,充分溶解后,用1mol/L*氧化*溶液调节pH值至7.2±0.2,称取已知效价的绒促性素(原料或粉针均可),加入上述溶液溶解,制成每
伊曲康唑杂质D对照品哪里买关键词:89848-49-7,伊曲康唑杂质D,Itraconazole impurity D
我公司坚持“品质至上”, 通过与国际知名品牌的合作,选择高品质的产品,提供优质的客户服务。伊曲康唑杂质D现货供应,以保证产品质量和市场需求率为主要目标,争取能在科研生命道路上能够长久的服务于广大新老客户。
·左甲状腺素*
编号:BP2123
英文名称:Levothyroxine Sodium
规格:50mg/支
本品为左甲状腺素*化学对照品,供HPLC法鉴别和含量测定用。本品不需干燥处理,以C15H10I4NNaO4计,含量为87.6%。
CAS号:55-03-8
分子式:C15H10I4NNaO4
分子量:798.86(不含结晶水)
包装:棕色西林瓶
装量:每支约50毫克
储存条件:28度,遮光,密闭保存
·托伐普坦
编号:BP0900
英文名称:Tolvaptan
规格:100mg/支
本品为托伐普坦化学对照品,按C26H25ClN2O3计,含量为100.0%。
CAS号:150683-30-0
分子式:C26H25ClN2O3
分子量:448.94
包装及装量:棕色小瓶装,每支约100毫克。
储存条件:遮光密封保存。
注意事项:105℃干燥3 小时后使用。
·盐*(代"酸")多巴胺
编号:BP0060
英文名称:Dopamine Hydrochloride
规格:200mg
本品为盐*(代"酸")多巴胺(DopamineHydrochloride)的化学对照品,使用前不需干燥处理。供HPLC法含量测定用,按C8H11NO2·HCl计算,含量为99.8%。
分子式:C8H11NO2·HCl
结构式:

分子量:189.64
CAS号:62-31-7
包装:安瓿瓶装
规格:约200毫克/支
储存条件:遮光,密闭,冷处保存。
·对硝基*(代"*")甲醛
编号:BP1697
英文名称:4-Nitrobenzaldehyde
规格:50mg/支
本品为对硝基*(代"*")甲醛化学对照品,供*霉素品种有关物质定量检查用化学对照品,含量以对硝基*(代"*")甲醛(C7H5NO3)计,为99.7%。
CAS号:555-14-8
分子式:C7H5NO3
分子量:151.1
包装:安瓿
规格:约50mg/支
储存条件:2~8℃保存。
伊曲康唑杂质D对照品哪里买关键词:89848-49-7,伊曲康唑杂质D,Itraconazole impurity D
我公司主要从事免疫学、分子生物学和常规生化试剂的研发、销*(代"售")。并代理销*(代"售")R&D、Sigma、Amresco 、Gibco、Pharmacia、HyClone、GIBCO等多个国外知名品牌,致力于为广大高校、科研院所和企事业单位提供一流的科研试剂和完善的技术服务,满足生物化学、分子生物学 、细胞生物学、免疫学等生物科技实验需求。 公司主要产品:试剂盒:伊曲康唑杂质D、ELISA试剂盒、分子生物学试剂、细胞凋亡试剂盒。各种动物血清:NBQQ、HyClone、GIBCO胎牛血清。抗体:进口原装抗体、进口分装抗体、单克隆抗体、多克隆抗体、一抗、二抗。 我们立足于生命科学领域,全力打造高品质生物科技产品链和技术服务链,立志成为生命科学研究领域的问题解决专家。
F030604 FITC标记小鼠抗猴IgG抗体 Monoclonal Mouse Anti-Monkey IgG*FITC
马尿酸 Fmoc-D-Phe-OH 495-69-2
2-*磷酸*盐 Benzamidine hydrochloride 14463-68-4
F030242 HRP标记小鼠抗鸭IgY(IgG)抗体 HRP*Monoclonal Mouse Anti-Duck IgY
F030821 BIOTIN标记兔抗山羊IgG抗体 Rabbit Anti-Goat IgG*BIOTIN
298-83-*(代"9") NBT *化硝基四氮唑兰
硫*(代"酸")铯 2-Methoxybenzoic acid 10294-54-9
ARB11746 人嗜铬蛋白A(CgA)elisa测定使用说明书 Human chromogranin,cga ELISA KIT
ARB11256 人胃粘液素(GM)Elisa分析 Human gastric mucin,gm ELISA KIT
对*基*甲*(代"酸")* H-Pro-OBzl?HCl 555-06-6
BL1289 8%多聚甲醛
ARB13294 小鼠糖皮质类固醇受体(GR)含量测试 Mouse glucocorticoid receptor,gr ELISA KIT
ARB11918 人髓过氧化物酶特异性抗中性粒细胞胞质抗体IgG(MPO-ANCA IgG)检测服务 Human Mouse myeloperoxidase-antineutrophil cytoplasmic antibody igg,mpo-anca igG ELISA KIT
PY08-042 亮绿乳糖胆盐肉汤 10ml 10支/盒,用于大肠菌群,大肠杆菌的测定
BFD015 鸡新城疫抗体检测试剂盒
ARB10365 人末端补体复合物C5b-9(TCC C5b-9)ELISA检测服务 Human terminal complement complex c5b-9,tcc c5b-9 ELISA KIT
BL1314 Pfu DNA Polymerase
F020224 兔抗大鼠IgG抗体 Rabbit Anti-Rat IgG
2′-脱氧胞苷 TMB 951-77-9
ARB12584 大鼠基质金属蛋白酶1(MMP-1)定量分析 Rat matrix metalloproteinase 1,mmp-1 ELISA KIT
ARB14158 人胱硫醚β-合酶(CBS)酶标法分析
DP115 N96快速质粒提取试剂盒
我公司竭诚为广大科研用户提供最全面,最优质,价格最具优势的伊曲康唑杂质D,免费为您提供全程技术指导,解决您的后顾之忧。公司供应各种高品质科研试剂及各种规格包装定制,如有所需请联系我们。
北京百莱博科技有限公司是标准品对照品产品的专业生产供应销*(代"售")商,恭候您的咨询选购伊曲康唑杂质D对照品哪里买。
风险提示:丁香通仅作为第三方平台,为商家信息发布提供平台空间。用户咨询产品时请注意保护个人信息及财产安全,合理判断,谨慎选购商品,商家和用户对交易行为负责。对于医疗器械类产品,请先查证核实企业经营资质和医疗器械产品注册证情况。
- 作者
- 内容
- 询问日期
文献和实验因子(T)是否符合各品种项下的规定,或不同浓度进样的校正因子误差是否符合要求。拖尾因子计算公式为:WT=──────2d式中W为0.05峰高处的峰宽;d为峰极大至峰前沿之间的距离。除另有规定外,T应在0.95~1.05间。也可按各品种校正因子测定项下,配制相当于80%、100%和120%的对照品溶液,加入规定量的内标溶液,配成三种不同浓度的溶液,分别注样3次,计算平均校正因子,其相对标准偏差应不大于2.0%。 3.测定法定量测定时,可根据样品的具体情况采用峰面积法或峰高法。但用归一法或内标
布美他尼片含量的方法为紫外分光光度法[1]。本文采用HPLC法测定布美他尼片的含量,方法专属性强、灵敏度高、操作简便、结果准确[2],现报道如下: 1仪器与试剂 岛津LC-10ATvp高效液相色谱仪,SPD-10A紫外检测器,AS230自动进样器,AT-330柱温箱,HW2000色谱工作站,BP211D电子天平;乙腈为色谱纯,磷酸为分析纯;水为超纯水;布美他尼对照品(中国药品生物制品检定所,批号100174~200402,99.5%);布美他尼片(湖南
:以十七酸作为内标,精密称取约7mg,按2.2.1的方法配置,作为内标溶液。 2.2.3 供试品溶液的配置:精密称取椒目仁油约20mg,十七酸约10mg,加4ml甲醇,lml l:5的硫酸-甲醇溶液于8O℃水浴回流30min,用流水使冷却后,加4ml蒸馏水稀释,再加正己烷萃取3次,每次3ml,收集上层液,定容至10ml,作为供试品溶液,备用。 3 实验结果 3.1 在该色谱条件下,可将仅-亚麻酸、十七酸及杂质较好的分离o 3.2 线性关系考察:分别精密量取对照品溶液
技术资料暂无技术资料 索取技术资料










