万千商家帮你免费找货
0 人在求购买到急需产品
- 详细信息
- 文献和实验
- 技术资料
- 保存条件:
冷藏
- 保质期:
长期
- 英文名:
Iptakalim Hydrochloride
- 库存:
710
- 供应商:
北京百奥莱博科技有限公司
特别声明:本产品及我公司所售其他产品均为科研类试剂产品,严禁用于药物、医疗及其他非科研用途。
北京百奥莱博公司供应包括北京现货盐*(代"酸")埃他卡林标准品供应在内的化学标准品,化学对照品,杂志对照品,HPLC标准品,UV标准品等高品质标准品、对照品
名称:北京现货盐*(代"酸")埃他卡林标准品供应
产地:国产|进口
品牌:百奥莱博
英文名:Iptakalim Hydrochloride
编号:BP0787
北京现货盐*(代"酸")埃他卡林标准品供应极具性价比,此外,我公司正火爆促销以下产品:
PY02-158 酸性肉汤 250克
司他夫定 DL100 3056-17-5
BTN131223 Zenker固定液 Zenker Solution
ARB11647 人蛋白Z依赖性蛋白酶抑制剂(PZDPI)Elisa定量检测
F030841 BIOTIN标记小鼠抗鸡IgY(IgG)抗体 Monoclonal Mouse Anti-Chicken IgY*BIOTIN
ARB14167 牛口蹄疫亚I型抗体(AsIa 1 FMD-Ab)酶标法分析
ARB10108 人H-rAs 免费代测 Human h-ras ELISA KIT
HC0112 透析袋MD77(8000-14000)
牛胰岛素 4-Bromochlorobenzene 11070-73-8
ARB11347 人类白细胞抗原B27(HLA-B27)代做ELISA实验 Human leucocyte antigen b27,hla-b27 ELISA KIT
PY04-019 无菌液体石蜡 5 ml×10支 滴加一层无菌液体石蜡于接菌的*基酸脱羧酶培养基中 防止因空气进入使培养基氧化
7585-39-9 β-环糊精(β-环状糊精) β-Cydodextrin
ARB13229 小鼠羟脯*酸(Hyp)ELISA检测服务 Mouse hydroxyproline,hyp ELISA KIT
95-54-*(代"5") OPD 邻*二胺
BTN80923 大提柱式动物DNAOUT Maxi Column Animal DNAOUT
北京现货盐*(代"酸")埃他卡林标准品供应关键词:BP0787,盐*(代"酸")埃他卡林,Iptakalim Hydrochloride
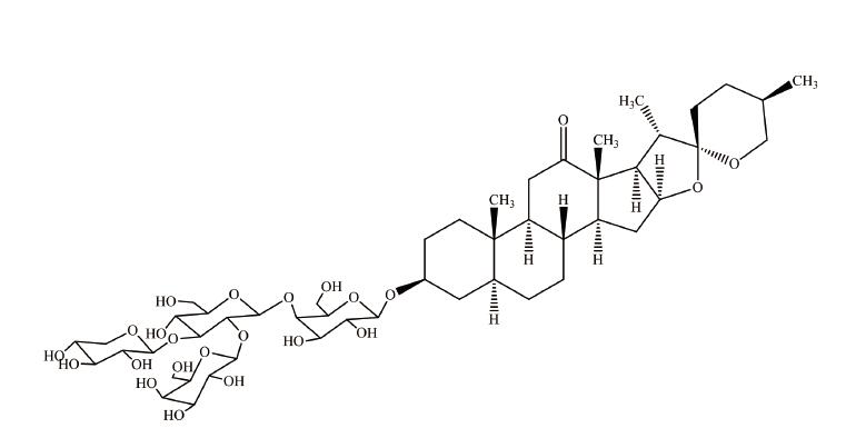
·蒺藜皂苷D
编号:BP1543
英文名称:Terrestrosin D
规格:20mg/支
本品为蒺藜皂苷D化学对照品,供鉴别和含量测定用,含量以95.3%计,使用前不需干燥处理。
CAS号:179464-23-4
分子式:C50H80O23
分子量:1049.16
结构式:

包装:棕色安瓿瓶
规格:约20mg/支
储存条件:冷处(2-10℃)保存
注意事项:本品具有引湿性,建议打开包装一次性使用完。
·美罗培南
编号:BP1655
英文名称:Meropenem
规格:100mg/支
本品为美罗培南化学对照品,供高效液相含量测定用,含量以美罗培南(C17H25N3O5S)计。
分子式:C17H25N3O5S·3H2O
分子量:437.51
结构式:

包装及装量:安瓿,100mg/支
储存条件:置4℃以下条件低温保存。
·3米*米特杂质III
编号:BP0570
英文名称:3-Methyl-N-[4-(trifluoromethyl)phenyl]isoxazole-4-carboxamide
规格:25微克
本品为来*米特杂质III化学对照品,化学名称3-甲基-N-[4(-三*甲基)*基]异恶唑-4-甲酰胺,本品每支装量约为25μg,临用量可用少量乙*(代"腈")溶解后,加流动稀释至一定体积制成储备液,用于系统适用性试验溶液的制备。
分子式:C12H9F3N2O2
分子量:270.20
包装及装量:棕色小瓶装,每支约 25 微克。
储存条件:遮光,密闭保存
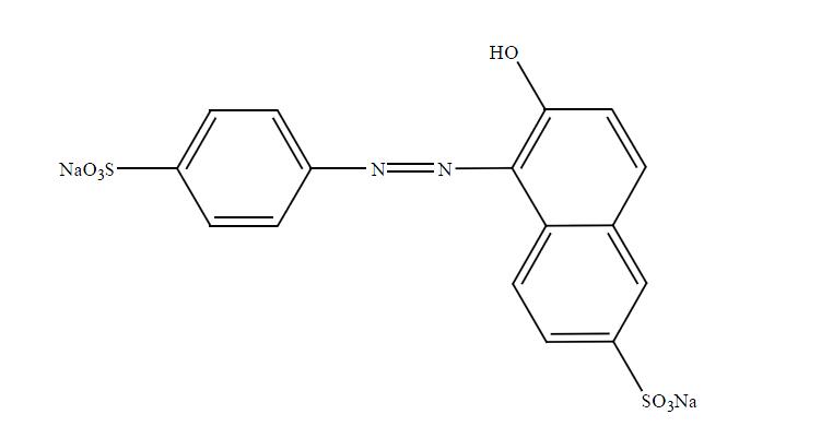
·日落黄
编号:BP2163
英文名称:Sunset yellow
规格:50mg/支
本品为日落黄化学对照品,供乌梅(炙乌梅)补充检验方法用,含量以86.9%计,使用前不需干燥处理。
CAS号:2783-94-0
分子式:C16H10N2Na2O7S2
分子量:451.97
结构式:

包装:棕色安瓿瓶
规格:约50mg/支
储存条件:阴凉处保存
注意事项:本品极具引湿性,建议打开包装一次使用完毕。
北京现货盐*(代"酸")埃他卡林标准品供应关键词:BP0787,盐*(代"酸")埃他卡林,Iptakalim Hydrochloride
盐*(代"酸")埃他卡林是我们热销产品之一,品牌代理,品质保证,专业性强,实验全程无忧。我公司已为中国市场提供数万种高端试剂,我们有能力提供毫克级,克级,甚至公斤级。试剂产品相关信息齐全,欢迎来电咨询、选购。
PY02-173 汉克氏液 100克
BL1294 考马斯亮蓝染色套装(染色液+脱色液)
ARB13586 兔子血小板衍生生长因子(PDGF)Elisa方法检测 Rabbit platelet-derived growth factor,pdgf ELISA KIT
ARB11276 人骨特异性碱性磷酸酶B(ALP-B)定量分析 Human bone-specific alkphase b,alp-b ELISA KIT
BTN131189 分子生物学级糖原干粉 Glycogen Powder
BL1420 5%BSA封闭液
BTN81029 非变性法蛋白沉淀试剂盒 Non-Denaturing Protein Precipitation Kit
2′-脱氧尿苷-5′-单磷酸二*盐 Farnesol 42155-08-8
ARB12508 大鼠结蛋白(Des)含量测试 Rat desmin,des ELISA KIT
3671-99-6 D-Glucose6-phosphate 葡萄糖-6-磷酸二*
ARB13716 兔前列腺素E1(PGE1)ELISA代测服务 Rabbit prostaglandin e1,pge1 ELISA KIT
SJ0661 RNA提取试剂
ARB13561 兔子可溶性E选择素(sE-selectIn)Elisa方法检测 Rabbit soluble e-selectin,se-selectin ELISA KIT
58-58-2 嘌呤霉素
87-99-0(16277-71-7) 木糖醇 xylitol
盐*(代"酸")埃他卡林的纯度及用途:纯度高质含量低,适用于研究和配制标准液; 纯度较高,杂质含量较低,适用于定性和定量分析 重量略低于二级试剂,用途近似二级试剂 化学试剂按纯度由低到高可分为工业纯、实验纯(LR)、化学纯(CP)、分析纯(AR)、优级纯(GR)和超纯等多种规格。
盐*(代"酸")埃他卡林等试剂产品仅用于科研实验使用,拥有一流的技术指导及完善的售后服务体系,来保证我们产品的使用效果,欢迎广大科研学者来电咨询、选购。
我公司生产供应销*(代"售")的标准品对照品正全品类优惠促销,十分期待您的咨询选购北京现货盐*(代"酸")埃他卡林标准品供应。
风险提示:丁香通仅作为第三方平台,为商家信息发布提供平台空间。用户咨询产品时请注意保护个人信息及财产安全,合理判断,谨慎选购商品,商家和用户对交易行为负责。对于医疗器械类产品,请先查证核实企业经营资质和医疗器械产品注册证情况。
文献和实验的Disc膜片,用泡点法(Bulb point)更可取。 888老师,我用的是10'' PVDF滤芯, 采用完整性测试仪,有时候泡点合格但是扩散流不合格,有时候是扩散流流合格,但是泡点又不合格.不知道这两种情况是什么原因造成的,该如何解决呢? yangzhiming wrote: 888wym 老师: 你好!我想请教你几个问题, 1.我们用盐酸胍溶解包涵体,想去除盐酸
,并参考文献,对全血处理方法进行了研究和改进,使其能较好地满足临床的需要。 1 材料与方法 1.1 仪器与试剂 美国Waters系列高效液相色谱仪(包括1525二元泵、2487紫外检测器、柱温箱、Breeze色谱工作站);FA2004型电子天平(上海天平仪器厂);L�128B型试管氮吹浓缩仪、L�119型试管恒温加热仪(北京来亨科贸有限责任公司技术开发中心) ;YKH�Ⅱ型液体快速混合器(江西医疗器械厂) ;LG10�2.4A型离心机(北京医用离心机厂) 。CsA标准品
,草酸铵(分析纯);草酸(分析纯);三氟乙酸 (进口) ( Art.808260);N,N�二甲基甲酰胺(分析纯);盐酸金霉素标准品(进口) (纯度84%) (SIGMA公司);盐酸土霉素标准品(进口) (900μg/mg ) (SIGMA公司)。 1.6 流动相 甲醇/乙腈/0.01 mol/L草酸(1.5/1.5/2.0 pH=2.0)。 1.7 样品的提取与测定 用pH=4.0的MCI/Vaine/Na2EDTA缓冲液将金霉素药物从样品中提取,过滤后通过C-18
技术资料暂无技术资料 索取技术资料










