万千商家帮你免费找货
0 人在求购买到急需产品
- 详细信息
- 技术资料
- 保存条件:
室温
- 保质期:
长期
- 英文名:
DL-Tartaric acid
- 库存:
745
- 供应商:
北京百奥莱博科技有限公司
- CAS号:
133-37-9
特别声明:本产品及我公司所售其他产品均为科研类试剂产品,严禁用于药物、医疗及其他非科研用途。
北京百奥莱博公司供应包括北京现货DL-酒石酸对照品供应在内的化学标准品,化学对照品,杂志对照品,HPLC标准品,UV标准品等高品质标准品、对照品
名称:北京现货DL-酒石酸对照品供应
英文名:DL-Tartaric acid
规格:200mg/瓶
编号:BP2035
本品为DL-酒石酸化学对照品,供DL-酒石酸品种红外光吸收图谱鉴别用对照品,使用前需在105℃干燥2小时。
CAS号:133-37-9
分子式:C4H6O6
分子量:150.09
包装:棕色西林瓶
规格:约200mg/瓶
储存条件:遮光、常温保存。
更多有关北京现货DL-酒石酸对照品供应的价格及使用说明等,请联系我们的业务经理王欣女士咨询,我公司还销*(代"售")以下产品:
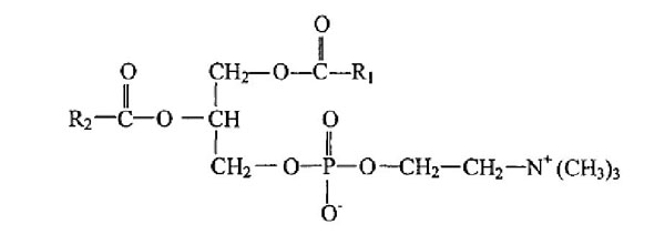
·蛋黄磷脂酰胆碱
编号:BP1986
英文名称:Egg yolk phosphatidylcholine
规格:50mg/支
本品为蛋黄磷脂酰胆碱化学对照品,供含量测定用,含量为90.6%。
CAS号:93685-90-6
结构式:

R1, R2 为脂肪酸链
包装:棕色安瓿装
规格:约50mg/瓶
储存条件:遮光,密闭,于-20℃保存。
·一磷酸腺苷*
编号:BP1855
英文名称:Adenosine 5"-MonophosphateSodium salt
规格:20mg/支
本品为一磷酸腺苷*化学对照品,供二丁酰环磷酸腺苷*鉴别试验用,使用前不需干燥处理。
分子式:C10H14N5O7P
分子量:347.22
结构式:

包装:西林瓶
规格:每瓶约20mg
储存条件:密封干燥处保存
·抗氧剂330
编号:BP2105
英文名称:1,3,5-Trimethyl-2,4,6-tris(3,5-di-tert-butyl-4-hydroxybenzyl)benzene
规格:50mg
本品为一磷酸腺苷*化学对照品,供二丁酰环磷酸腺苷*鉴别试验用,使用前不需干燥处理。
分子式:C10H14N5O7P
分子量:347.22
结构式:

包装:西林瓶
规格:每瓶约20mg
储存条件:密封干燥处保存
·3, 5-O-二咖啡酰基奎宁酸
编号:BP1361
英文名称:3, 5-O-Dicaffeoylquinic acid
规格:约20mg/支
本品为3,5-O-二咖啡酰基奎宁酸化学对照品,含量测定用,含量以97.3%计,使用前不需干燥处理。
CAS号:89919-62-0
分子式:C25H24O12
分子量:516.44
结构式:

包装:棕色安瓿瓶
装量:约20mg/支
储存条件:冷处(2-10℃)保存
注意事项:本品具引湿性,建议打开包装一次性使用完。
·葡醛酸*
编号:BP0384
英文名称:Sodium Glucuronic Acid
规格:100mg
本品为3,5-O-二咖啡酰基奎宁酸化学对照品,含量测定用,含量以97.3%计,使用前不需干燥处理。
CAS号:89919-62-0
分子式:C25H24O12
分子量:516.44
结构式:

包装:棕色安瓿瓶
装量:约20mg/支
储存条件:冷处(2-10℃)保存
注意事项:本品具引湿性,建议打开包装一次性使用完。
·门冬胰岛素
编号:BP2126
英文名称:Insulin Aspart
规格:25mg/支
本品为门冬胰岛素生物标准品,供门冬胰岛素及制剂HPLC法鉴别、含量测定及生物活性检查用,以门冬胰岛素(C256H381N65O79S6)、B28iso门冬胰岛素、A21门冬胰岛素、B3门冬胰岛素及B3iso门冬胰岛素之和计,含量为27.5单位/mg,使用前不需干燥处理。
CAS号:116094-23-6
分子式:C256H381N65O79S6
分子量:5826
结构式:
<img src="http://www.bjbalb.com/pic2/116094-23-6
北京现货DL-酒石酸对照品供应关键词:133-37-9,DL-Tartaric acid,DL-酒石酸
我公司始终坚持“创新,品质,服务,节约,敬业,感恩”的理念。吸收新创意,严把质量关口,全方位的服务跟踪,坚持做出高品质产品。本着“追求、员工、技术、精神、利益”的宗旨。现拥有一批精干的管理人员和一支高素质的专业技术队伍。我们以质量为生命、时间为信誉、价格为竞争力的经营信念,立足于国内外市场。目前已在全国各大院系,和研究单位均有销*(代"售"),也得到了客户的认可。百奥莱博生产的DL-酒石酸等试剂进入飞速发展期,为了更好的服务客户,公司长期储备海量库存,以此助推中国科技的快速发展,更好的造福人类!
·吴茱萸碱
编号:BP1091
英文名称:Evodiamine
规格:约20mg/支
本品为吴茱萸碱化学对照品,供鉴别及含量测定用。置五氧化二磷干燥器中减压干燥12小时后使用。含量以99.6%计。
CAS号:67909-49-3
分子式:C19H17N3O
分子量:303.36
结构式:

包装:棕色瓶
规格:约20毫克/支
储存条件:冷处(2~10℃)保存。
·阿托伐他汀* 杂质II
编号:BP2168
英文名称:Atorvastatin Calcium Impurity II
规格:20mg/瓶
本品为阿托伐他汀*杂质Ⅱ化学对照品,仅供阿托伐他汀*有关物质检查用,使用前不需干燥处理。
CAS号:887196-25-0
分子式:C66H68CaF2N4O10
分子量:1155.34
结构式:

包装及装量:棕色西林瓶,20mg/支
储存条件:遮光保存
·异阿魏酸
编号:BP1300
英文名称:Isoferulic acid
规格:20mg
本品为异阿魏酸化学对照品,供鉴别或含量测定用,含量以99.2%计,使用前不需干燥处理。
CAS号:537-73-5
分子式:C10H10O4
分子量:194.18
结构式:

包装:棕色瓶
规格:约20mg/支
储存条件:冷处(2-10℃)保存
北京现货DL-酒石酸对照品供应关键词:133-37-9,DL-Tartaric acid,DL-酒石酸
本公司免费技术支持,由专业的技术人员和销*(代"售")人员为科研用户提供全面的技术支持和完善的售前、售中、售后服务。百奥莱博暑期大促,凡够买我司各种生物试剂、抗体、ELISA试剂盒、抗原、血清、血浆、DL-酒石酸、脱纤维血、抗凝血、裂解血、分子生物学试剂、培养基等优质试剂,均可享受超低会员价,各种高品质科研试剂及各种规格包装均可定制,如有需要请联系我们。
甘油醛-3-磷酸脱*酶 Sepharose CL-2B 9001-50-7
ARB10017 人26S蛋白酶体(26S PSM)酶标法分析 Human 26s proteasome,26s psm ELISA KIT
BTN131128 动物种属鉴定PCR Mix Animal DNA Barcoding PCR Mix
间甲*(代"酚")紫 (2-Hydroxyethyl)-β-Cyclodextrin 2244-11-3
2-*-4-硝基*(代"*")-α-L-岩藻糖苷 Boc-L-valine 157843-41-9
马铃薯浸出粉 VAZO64
对羟基*甲*(代"酸")正丁酯 TIBA 94-26-8
聚尿苷酸 α-Galactosidase preparation from green coffee beans
PY01-042 牛磺酸 25克
ARB11106 人乳头状瘤病毒抗体IgG(HPV-IgG)elisa检测说明书 Human papillomavirus igg,hpv-igG ELISA KIT
PY02-450 葡萄糖琼脂 250克
ARB13762 鸭白介素4(IL-4)含量分析 Duck interleukin-4,IL-4 ELISA KIT
25322-68-3 PEG8000 聚乙二醇
BL1330 通用引物 Oligo T16
BL1218 亮绿SF染色液(1%)
烯效唑 Proteinase K 83657-22-1
乳香胶 L-Threoninol 61789-92-2
BTN80206 两管式RT-PCR试剂盒(MMLV-Taq) Two-Tube RT PCR Kit
KT206 2×GC rich PCR MasterMix
F030607 FITC标记山羊抗小鼠IgG2b抗体 Goat Anti-Mouse IgG2b*FITC
DP318 血液基因组提取试剂盒
我公司提供多种购买方式:登陆网站联系客服查询!(您可通过电话/传真/QQ/邮件等方式咨询,订购或索取DL-酒石酸最新报价)
我们专业供应科研试剂多年,品质保证 售前,售中,售后服务一条*(代"龙"),无效果、免费退换。您只需告诉我们您的需要或要求,我们的客户服务代表将会给您提供专业的咨询和解答。优质服务让您更省心,更舒心,更放心。敬请关注!
北京百莱博科技有限公司是标准品对照品产品的专业生产供应销*(代"售")商,恭候您的咨询选购北京现货DL-酒石酸对照品供应。
风险提示:丁香通仅作为第三方平台,为商家信息发布提供平台空间。用户咨询产品时请注意保护个人信息及财产安全,合理判断,谨慎选购商品,商家和用户对交易行为负责。对于医疗器械类产品,请先查证核实企业经营资质和医疗器械产品注册证情况。
技术资料暂无技术资料 索取技术资料










