相关产品推荐更多 >
万千商家帮你免费找货
0 人在求购买到急需产品
- 详细信息
- 文献和实验
- 技术资料
- 保存条件:
冷藏
- 保质期:
长期
- 英文名:
Amphotericin B
- 库存:
282
- 供应商:
北京百奥莱博科技有限公司
特别声明:本产品及我公司所售其他产品均为科研类试剂产品,严禁用于药物、医疗及其他非科研用途。
北京百奥莱博公司供应包括北京现货两性霉素B标准品特价优惠在内的化学标准品,化学对照品,杂志对照品,HPLC标准品,UV标准品等高品质标准品、对照品
名称:北京现货两性霉素B标准品特价优惠
规格:50mg
产地:国产|进口
英文名:Amphotericin B
品牌:百奥莱博
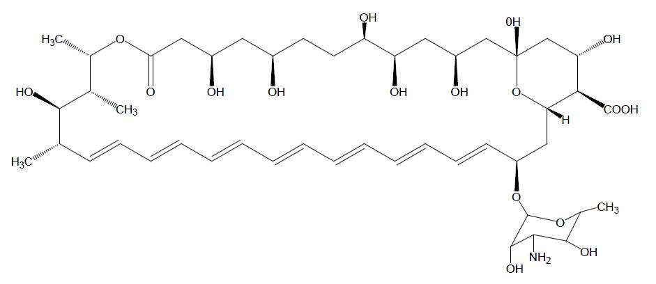
本品为两性霉素B化学对照品,供HPLC含量测定用,以C47H73NO17计含量为88.4%,使用前不需干燥处理。
分子式:C47H73NO17
分子量:924.09
结构式:

包装:棕色安瓿
规格:约50mg/支
储存条件:2-8℃遮光保存
注意事项:本品溶液建议配制后立即使用。
北京现货两性霉素B标准品特价优惠极具性价比,此外,我公司正火爆促销以下产品:
BTN130420 Protein G琼脂糖 Protein G Agarose
A7701-68 狗血清 100ml|500ml
F040203 人类乙型肝炎病毒重组C抗原 HBcAg
PY02-089 普通肉汤 250克
ARB10398 人可溶性转铁蛋白受体(sTfR)elisa检测说明书 Human soluble transferrin receptor,stfr ELISA KIT
S-腺甘基蛋*酸 Calcium propionate 17176-17-9
ARB12206 大鼠丝*酸/苏*酸蛋白*(代"磷")酸酶(STK)含量分析 reat serine/threonine protein kinase,stk ELISA KIT
BL1075 预染超低分子量蛋白MARKER
PUC19质粒 Vanillin
SJ0729 人淋巴细胞分离液
D-丝*酸甲酯盐*(代"酸")盐 Lactulose 5874-57-7
ARB11768 人腺相关病毒载体(AAV)酶免分析 Human adeno-associated virus,aav ELISA KIT
赤藓红 Bronorol 16423-68-0
ARB14077 牛去甲肾上腺素(NE)Elisa方法检测
ARB10152 人S100B蛋白(S-100B)elisa检测说明书 Human soluble protein-100b,s-100b ELISA KIT
PY02-387 嗜盐性试验用胰胨水(TB)基础 250克
37189-34-7 菠萝蛋白酶
北京现货两性霉素B标准品特价优惠关键词:BP1737,Amphotericin B,两性霉素B
健那绿 D-Glucuronic acid 2869-83-2
葡萄糖酸* Dimidium bromide 299-28-5
BOC-L-谷*酸 CTAC 2419-94-5
ARB13318 山羊肿瘤坏死因子α(TNF-α)代做ELISA实验 Goat tumor necrosis factor α,tnf-α ELISA KIT
ARB13090 小鼠细胞间粘附分子1(ICAM-1/CD54)Elisa定量检测 Mouse intercellular adhesion molecule 1,icam-1 ELISA KIT
BTN130860 φX174 RFⅠDNA φX174 RFⅠDNA
BTN60206 Ampicillin Solution
BL1313 2×Taq Plus PCR MasterMix(不含染料)
PY02-074 尿素琼脂培养基基础 250克
2646-71-1 NADPH-Na4 还原型辅酶Ⅱ四*
ARB10718 人衣原体蛋白酶样活性因子(CPAF)Elisa分析 Human chlamydial protease-like activity factor,cpaf ELISA KIT
F030603 FITC标记小鼠抗人IgG Fab抗体 Monoclonal Mouse Anti-Human IgG Fab*FITC
BTN130601 DNA修复混合液 DNA Repair Mix
NF-227 兔抗人全血清
BTN130824 冷启动核酸酶 Cold-active Nuclease
9001-92-7 风味蛋白酶 Flavourzyme
ARB13041 小鼠补体蛋白3(C3)Elisa定量检测 Mouse complement 3,c3 ELISA KIT
BFD012 猪传染性胃肠炎病毒抗体检测试剂盒
北京现货两性霉素B标准品特价优惠关键词:BP1737,Amphotericin B,两性霉素B
两性霉素B等级划分:
我国的试剂规格基本上按纯度(杂质含量的多少)划分,共有高纯、光谱纯、基准、分光纯、优级纯、分析和化学纯等7种。国家和主管部门颁布质量指标的主要优级纯、分级纯和化学纯3种。
(1)优级纯(GR),又称一级品或保证试剂,99.8%,这种试剂纯度最高,杂质含量最低,适合于重要精密的分析工作和科学研究工作,使用绿色瓶签。
(2)分析纯(AR),又称二级试剂,纯度很高,99.7%,略次于优级纯,适合于重要分析及一般研究工作,使用红色瓶签。
(3)化学纯(CP),又称三级试剂,≥ 99.5%,纯度与分析纯相差较大,适用于工矿、学校一般分析工作。使用蓝色(深蓝色)标签。
(4)实验试剂(LR),又称四级试剂。
·甲基氧化偶氮甲醇樱草糖苷
编号:BP1518
英文名称:Macrozamin
规格:约20mg/支
本品为甲基氧化偶氮甲醇樱草糖苷化学对照品,供鉴别或含量测定用,含量以98.9%计,使用前不需干燥处理。
分子式:C13H24N2O11
分子量:384.34
结构式:

包装:棕色安瓿
规格:约20mg/支
储存条件:冷处(2~10℃)保存
·芬布芬
编号:BP0326
英文名称:Fenbufen
规格:100mg
本品为芬布芬化学对照品,供HPLC法测定,按C16H14O3计,含量为99.4%。
分子式:C16H14O3
分子量:254.28
CAS号:36330-85-5
包装及装量:棕色小瓶装,每支约100毫克。
储存条件:遮光,密封保存。
注意事项:使用前不需干燥处理。
·丹皮酚磺酸*
编号:BP0353
英文名称:Sodium Paeonolsilate
规格:100mg
本品为芬布芬化学对照品,供HPLC法测定,按C16H14O3计,含量为99.4%。
分子式:C16H14O3
分子量:254.28
CAS号:36330-85-5
包装及装量:棕色小瓶装,每支约100毫克。
储存条件:遮光,密封保存。
注意事项:使用前不需干燥处理。
·奥扎格雷
编号:BP0424
英文名称:Ozagrel
规格:100毫克/支
本品为奥扎格雷化学对照品,供含量测定用。105℃干燥2小时后使用,按C13H12N2O2计,供HPLC法测定,含量为99.6%;供UV法测定,含量为100.0%。
分子式:C13H12N2O2
分子量:228.25
CAS号:82571-53-7
包装:棕色西林瓶
规格:约100毫克/支
储存条件:遮光,密闭,10~30℃保存。
·甲基橙皮苷
编号:BP1222
英文名称:Methyl Hesperidin
规格:50mg
本品为奥扎格雷化学对照品,供含量测定用。105℃干燥2小时后使用,按C13H12N2O2计,供HPLC法测定,含量为99.6%;供UV法测定,含量为100.0%。
分子式:C13H12N2O2
分子量:228.25
CAS号:82571-53-7
包装:棕色西林瓶
规格:约100毫克/支
储存条件:遮光,密闭,10~30℃保存。
·水杨酸乙二醇
编号:BP0661
英文名称:Methyl Hesperidin
规格:200mg/支
本品为奥扎格雷化学对照品,供含量测定用。105℃干燥2小时后使用,按C13H12N2O2计,供HPLC法测定,含量为99.6%;供UV法测定,含量为100.0%。
分子式:C13H12N2O2
分子量:228.25
CAS号:82571-53-7
包装:棕色西林瓶
规格:约100毫克/支
储存条件:遮光,密闭,10~30℃保存。
我公司是集科研和生产为一体的专业化生物工程公司。特别是ELISA研发,代测,技术服务这一产品已使百奥莱博成为中国知名公司。 公司产品涵盖ELISA研发、细胞培养,各种生化试剂、各种酶类、分子生物学试剂盒、两性霉素B、培养基等。我们进一步加强人才经营、产品经营,不断提升企业的核心竟争力,实现具有高科技产业体系、知识化创业团队的国际化的公司,服务于生命科学领域,迎接世界经济一体化所带来的机遇与挑战。
我公司依托国内外技术研发人才的优势,公司的销*(代"售")额保持高速增长,企业规模不断扩大,拥有专业的技术研发团队,长期致力于ELISA试剂盒、生物试剂(包括)的研发,为客户提供引物设计与合成、免疫组化、PCR定量服务等一系列实验代测服务。
我公司正在火爆促销标准品对照品系列产品,欢迎您的垂询选购北京现货两性霉素B标准品特价优惠。
风险提示:丁香通仅作为第三方平台,为商家信息发布提供平台空间。用户咨询产品时请注意保护个人信息及财产安全,合理判断,谨慎选购商品,商家和用户对交易行为负责。对于医疗器械类产品,请先查证核实企业经营资质和医疗器械产品注册证情况。
文献和实验。博士德部分现货ELISA产品超低价促销! 供应以上产品均为现货。特价产品如下: h.Activin A 1000元/96T h.MIP-1a 1500元/96T m.IL-4 1000元/96T h.BDNF 1000元/96Th.MIP-3a 1500元/96T m.IL-5 1000元/96T h.BMP-2 1500元/96Th.MCP-1 1000元/96T m.IL-6 1000元/96T h.CD54 1500元/96Th.MMP
质分子量标准(19-119KD) (50次)--每支 280元 五. 秋季部分产品特价促销单 具体产品和价格如下: 一. DNA分子量标准产品: DNA分子量标准 规格 优惠价 DL2000 50次 58元 参照片断(bp):100 、250、500、750、1000、2000bp Marker1 50次 58元 参照片断(bp):100 、200、300、400、500、600bp Marker2 50次 58元 参照片断(bp):100 、300、500
技术资料暂无技术资料 索取技术资料










