相关产品推荐更多 >
万千商家帮你免费找货
0 人在求购买到急需产品
- 详细信息
- 技术资料
- 保存条件:
-20℃
- 保质期:
长期
- 英文名:
Urinary Kallidinogenase
- 库存:
723
- 供应商:
北京百奥莱博科技有限公司
特别声明:本产品及我公司所售其他产品均为科研类试剂产品,严禁用于药物、医疗及其他非科研用途。
北京百奥莱博公司供应包括尤瑞克林对照品大量库存促销在内的化学标准品,化学对照品,杂志对照品,HPLC标准品,UV标准品等高品质标准品、对照品
名称:尤瑞克林对照品大量库存促销
产地:国产|进口
编号:BP1862
英文名:Urinary Kallidinogenase
规格:1.6PNA单位/支
本品为尤瑞克林化学对照品,供相关物质鉴别用。使用前放置室温。
包装:白色安瓿
规格:每瓶约1.6PNA单位/支
储存条件:密封,-20℃保存。
关于尤瑞克林对照品大量库存促销的更详细说明,请致电我公司咨询,我们将以最饱满的热情为您提供解答,此外,我公司专业供应下列产品:
·磺胺
编号:BP0079
英文名称:Sulfanilamide
规格:1000mg
本品为磺胺(Sulfanilamide),仅供熔点温度计校准用,按照熔点测定法第一法测定,升温速度以每分钟上升1.5℃为宜,熔点为166℃。
分子式:C6H8N2O2S
分子量:172.21
CAS号:63-74-1
包装及装量:棕色小瓶装,每支约1克。
储存条件:遮光,密封保存。
注意事项:105℃干燥3小时后使用。
·2-*基-2’-*-5-硝基二*酮
编号:BP1958
英文名称:2-Amino-2-chloro-5-nitrobenzophenone
规格:100mg
本品为2-*基-2`-*-5-硝基二*酮化学对照品,供中国*硝西*(代"泮")检查时作对照用。
分子式:C13H9ClN2O3
分子量:276.68
包装及装量:棕色瓶,约100mg/支
储存条件:遮光,密闭保存
·癸酸甲酯
编号:BP2080
英文名称:Methyl Decanoate
规格:0.5ml/支
本品为癸酸甲酯化学对照品,仅供月桂山梨坦(司盘20)品种项下脂肪酸组成检查用。
CAS号:110-42-9
分子式:C11H22O2
分子量:186.3
包装:棕色安瓿
规格:约0.5ml/瓶
储存条件:遮光、常温保存
·帕拉米韦三水合物
编号:BP0905
英文名称:Peramivir Trihydrate
规格:100mg
本品为帕拉米韦三水合物,供HPLC法测定,按C15H28N4O4计,含量为85.5%。
CAS号:1041434-82-5Z
分子式:C15H28N4O4·3H2O
分子量:382.47
包装及装量:棕色小瓶装,每支约100毫克。
储存条件:遮光,密封保存。
注意事项:使用前不需干燥处理。
尤瑞克林对照品大量库存促销关键词:尤瑞克林,BP1862,Urinary Kallidinogenase
·高乌甲素
编号:BP0416
英文名称:Lappaconitine
规格:50mg
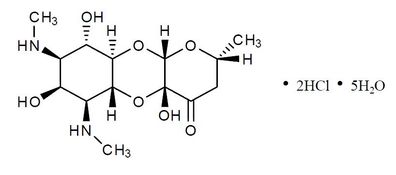
·大观霉素
编号:BP1576
英文名称:Spectinomycin
规格:100mg
本品为大观霉素标准品,供抗生素微生物效价测定用,含量以大观霉素单位计,每毫克相当于657单位,使用前不需干燥处理。
CAS号:22189-32-8
分子式:C14H24N2O7·2HCl·5H2O
分子量:495.35
结构式:

包装:白色安瓿
规格:约100mg/支
储存条件:2-8℃遮光保存
·丁二酸洛沙平
编号:BP0558
英文名称:Loxapine Succinate
规格:100mg
本品为大观霉素标准品,供抗生素微生物效价测定用,含量以大观霉素单位计,每毫克相当于657单位,使用前不需干燥处理。
CAS号:22189-32-8
分子式:C14H24N2O7·2HCl·5H2O
分子量:495.35
结构式:

包装:白色安瓿
规格:约100mg/支
储存条件:2-8℃遮光保存
·西索米星
编号:BP1739
英文名称:Sisomicin
规格:约150mg
本品为西索米星化学对照品,供高效液相含量测定用,含量以西索米星(C19H37N5O7)计,使用前不需要干燥处理。
使用方法:精密称取适量,按规定的方法,配制至所需浓度的对照品溶液,立即使用。
储存条件:置4℃以下条件低温避光保存。
·无水磷酸二**
编号:BP0711
英文名称:Sodium Dihydrogen Phosphate Anhydrous
规格:50mg
本品为无水磷酸二**化学对照品,供HPLC法检查用。
CAS号:7558-80-7
分子式:NaH2PO4
分子量:120.0
包装及装量:棕色小瓶装,每支约50毫克。
储存条件:遮光,密闭保存。
注意事项:使用前不需干燥处理。
尤瑞克林对照品大量库存促销关键词:尤瑞克林,BP1862,Urinary Kallidinogenase
本公司免费技术支持,由专业的技术人员和销*(代"售")人员为科研用户提供全面的技术支持和完善的售前、售中、售后服务。百奥莱博暑期大促,凡够买我司各种生物试剂、抗体、ELISA试剂盒、抗原、血清、血浆、尤瑞克林、脱纤维血、抗凝血、裂解血、分子生物学试剂、培养基等优质试剂,均可享受超低会员价,各种高品质科研试剂及各种规格包装均可定制,如有需要请联系我们。
·亚磷酸*二*
编号:BP0712
英文名称:Disodiu*(代"m") hydrogen Phosphite
规格:50mg
本品为亚磷酸*二*五水合物,供HPLC法检查用。
CAS号:13517-23-2
分子式:Na2HPO3·5H2O
分子量:216.04
包装及装量:棕色小瓶装,每支约50毫克。
储存条件:遮光,密闭保存。
注意事项:本品具有引湿性,建议一次性使用, 使用前不需干燥处理。
·红霉素系统适用性对照品
编号:BP1749
英文名称:Erythromycin for system suitability
规格:100mg
本品为红霉素系统适用性对照品,供HPLC系统适用性试验用,使用前不需干燥处理。
标准图谱:

包装:白色安瓿。
规格:100毫克/支
储存条件:2-8℃保存
·呫吨酸
编号:BP0874
英文名称:Xanthene-9-carboxylic acid
规格:50mg
本品为呫吨酸化学对照品,化学名为呫吨-9-羧酸,使用前不需干燥处理,供HPLC法有关物质检查用,按C14H10O3计,含量为98.7%。
CAS号:87-07-5
分子式:C14H10O3
分子量:226.23
包装及装量:棕色小瓶装,每支约50毫克。
保存条件:遮光,密封保存。
尤瑞克林等科研试剂品质优良,受到广大科研工作者的一致肯定和赞许。质量品牌保证,价格公正,倾力为国内国外生命科学研究人员提供一流的产品。欢迎来电咨询!
我公司所售科研每月均有新品促销,您可对我公司网站时刻进行关注,在促销期间购买您所需产品,价格更优惠。尤瑞克林质量保证,品质已经得到广大客户的认可,您可放心,且我公司有专门的售后部门对客户进行全线跟踪,全程免费技术指导。欢迎询价详谈!
我公司正在打折促销标准品对照品全系列产品,恭候您的咨询选购尤瑞克林对照品大量库存促销。
风险提示:丁香通仅作为第三方平台,为商家信息发布提供平台空间。用户咨询产品时请注意保护个人信息及财产安全,合理判断,谨慎选购商品,商家和用户对交易行为负责。对于医疗器械类产品,请先查证核实企业经营资质和医疗器械产品注册证情况。
技术资料暂无技术资料 索取技术资料










