相关产品推荐更多 >
万千商家帮你免费找货
0 人在求购买到急需产品
- 详细信息
- 文献和实验
- 技术资料
- 保存条件:
冷藏
- 保质期:
长期
- 英文名:
Ubenimex
- 库存:
965
- 供应商:
北京百奥莱博科技有限公司
- CAS号:
58970-76-6
特别声明:本产品及我公司所售其他产品均为科研类试剂产品,严禁用于药物、医疗及其他非科研用途。
北京百奥莱博公司供应包括乌*美司对照品哪里卖在内的化学标准品,化学对照品,杂志对照品,HPLC标准品,UV标准品等高品质标准品、对照品
名称:乌*美司对照品哪里卖
品牌:百奥莱博
规格:100mg/支
英文名:Ubenimex
产地:国产|进口
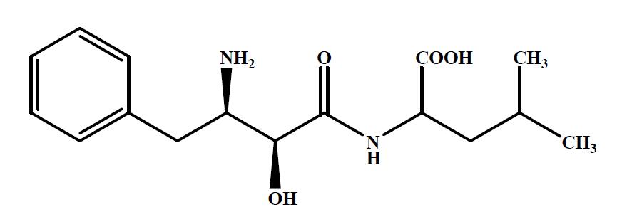
本品为乌*美司化学对照品,供含量测定用,使用前不需干燥处理,供HPLC法测定,按C16H24N2O4计,含量为99.5%。
分子式:C16H24N2O4
结构式:

分子量:308.37
CAS号:58970-76-6
包装及装量:棕色西林瓶装,每支约100毫克。
储存条件:遮光,密封保存。
想要了解更多关于乌*美司对照品哪里卖的价格、品牌、厂家、说明书、促销信息,请和我们联系。此外我公司还销*(代"售")下面的产品:
ARB12174 大鼠白介素9(IL-9)Elisa方法检测 Rat interleukin 9,IL-9 ELISA KIT
BL0834 HRP标记生物素
ARB10852 人抗*调素特异抗体(CAM-Ab)ELISA检测服务 Human anti-calmodulin specific antibody,cam-ab ELISA KIT
*化* Phosphodiesterase Ⅰ from Crotalus adamanteus venom 7647-15-6
121-21-3 SDS 十二烷基硫*(代"酸")*
ARB13083 小鼠降*素基因相关肽(CGRP)Elisa定量检测 Mouse calcitonin gene related Peptide,cgrp ELISA KIT
BL0760 RNA酶抑制剂
HC0167 (方孔)冻存盒
BL1419 膜封闭液
ARB10969 人免疫球蛋白G Fc段受体I(FcγRI/CD64)含量分析 Human receptorifor the fc region of immunoglobulin g,fcγri ELISA KIT
BTN130421 DEAE交换介质 DEAE Medium
碳酸* HPC 554-13-2
BL0969 人外周血淋巴细胞分离液
乌*美司对照品哪里卖关键词:Ubenimex,乌*美司,58970-76-6
ARB12653 大鼠嗜酸粒细胞趋化蛋白(EotAxIn 1/CCL11)elisa检测操作说明书 Rat eotaxin 1 ELISA KIT
ARB11806 人颗粒酶A(Gzms-A)酶联免疫定量检测 Human granzymes a,gzms-a ELISA KIT
BTN80204 柱式RNA纯化试剂盒 Column RNACLEAN
D0301 脱纤维绵羊血(无菌 pet瓶装)
丝*醇 Gum sandarac 534-03-2
3458-28-4 D-Mannitol D-甘露糖
BTN131025 胰凝乳蛋白酶,测序级 Chymotrypsin
克霉唑 Creatine Monohydrate 23593-75-1
八烷基三甲基*化铵 2′-dC 10108-86-8
CYB168008 标准小牛血清 100ml/瓶
ARB13212 小鼠凋亡相关因子(FAS/CD95)ELISA代测服务 Mouse factor-related apoptosis,fas ELISA KIT
F020233 山羊抗人IgG Fab抗体 Goat Anti-Human IgG Fab
HC0179 蓝盖玻璃瓶
SJ0646 M-MLV
ARB13102 小鼠骨成型蛋白受体1A(BMPR-1A)elisa测定使用说明书 Mouse bone morphogenetic protein receptor 1a,bmpr-1a ELISA KIT
*并-18-冠醚-6 BAEE 14098-24-9
乙酰胆碱酯酶 SDP 9000-81-1
F020214 兔抗马IgG抗体 Rabbit Anti-Horse IgG
BTN131088 荧光素(FITC)标记亲和素 FITC-Avidin
ARB10965 人免疫球蛋白A(IgA)含量测试 Human immunoglobulin a,IgA ELISA KIT
BTN130527 哺乳动物专用蛋白酶抑制剂 Protease Inhibitor for Mammal
ARB10200 人α横纹肌肌动蛋白(α-SCA)ELISA代测服务 Human α-sarcomeric actin,α-sca ELISA KIT
乌*美司对照品哪里卖关键词:Ubenimex,乌*美司,58970-76-6
乌*美司怎样保存?
一般试剂可保存在玻璃瓶内; 对玻璃有强烈腐蚀作用的试剂,如**酸、*氧化*应保存在聚乙*(代"烯")塑料瓶内; 易被空气氧化、分化、潮解的试剂应密封保存;易感光分解的试剂应用有色玻璃瓶贮存并藏于暗处; 易受热分解及低沸点溶剂,应存于冷处; 剧毒试剂应存于保险箱; 有放射性的试剂应存于铅罐中。如果化学试剂保管不当,就会失效变质,影响实验的效果,并造成物质的浪费,甚至有时还会发生事故。因此,科学地保管好试剂对于保证实验顺利进行,获得 可靠的实验数据具有非常重要的意义。
9001-40-5 6-磷酸葡萄糖脱*酶 Glucose-6-phosphate Dehydrogenase
BTN130653 GpC 甲基转移酶(M.CviPI) GpC Methyltranferase(M.CviPI)
BL1357 RIPA组织/细胞裂解液
ARB11750 人嗜酸性白血球相关之RNA水解酵素家族成员3(EAR3)Elisa分析 Human eosinophIL-associated ribonuclease a family member 3,ear3 ELISA KIT
002007 肝素*抗凝羊血
ARB13299 小鼠糖蛋白130(gp130)ELISA检测服务 Mouse glucoprotein 130,gp130 ELISA KIT
ARB10919 人抗髓鞘少突胶质细胞糖蛋白抗体(MOG-Ab)含量分析
ARB13639 兔子脑*素/脑*尿肽(BNP)Elisa定量检测 Rabbit brain natriuretic Peptide,bnp ELISA KIT
结合珠蛋白 TBHBA 9087-69-8
ARB10462 人生长激素释放多肽(GHRP)ELISA代测服务 Human growth hormone releasing Peptide,ghrp ELISA KIT
ARB13952 猪活化素A(ACV-A)elisa检测操作说明书 Porcine activin a,acv-a ELISA KIT
BTN100920 生物素标记dUTP溶液 Biotin-11-dUTP Solution
SJ0679 Marker Ⅴ
BL0885 兔抗猪IgG免疫血清
ARB10271 人干扰素诱导蛋白10(IP-10/CXCL10)Elisa分析 Human interferon-inducible protein 10,ip-10 ELISA KIT
乌*美司上架一个月之内参与新品促销活动,新老客户订购此产品均可享受会员优惠,若您是我们的诚信会员,还可享受我司的VIP专线服务与优惠,欢迎来电咨询、订购您所需产品。
我公司是一家集研发、销*(代"售")、实验室技术服务于一体的高科技企业。 多年来一直处于行业前沿。我们专业经营培养基、生化试剂、乌*美司、进口ELISA试剂盒、化工产品、实验室消耗品、实验室耗材以及实验室器材。产品涉及分子生物学、细胞生物学、细菌学、遗传学、免疫学、生物化学、蛋白质学、细胞治疗等领域。
我公司正在优惠促销标准品对照品等系列产品,期待您的咨询选购乌*美司对照品哪里卖。
风险提示:丁香通仅作为第三方平台,为商家信息发布提供平台空间。用户咨询产品时请注意保护个人信息及财产安全,合理判断,谨慎选购商品,商家和用户对交易行为负责。对于医疗器械类产品,请先查证核实企业经营资质和医疗器械产品注册证情况。
文献和实验在HPLC检测中,供试品浓度的选取应该遵循什么的原则?浓度多少合适?以定量限做浓度检测的依据吗?10倍的信噪比?遵循最大还是最小浓度原则? 2.做回收率的时候,是取了9分不同含量的样品。我看到有的回收率是取3分不同含量的样品,分别加入其80%,100%,120%.也有的取6分不同含量的样品,加入其80%,100%,120%的对照品。请问:回收率有统一的取样标准吗? 3.关于含量低于万分之一时需要配合别的指标这条原则的理论依据是什么?或者说
的比例约为50%,如果能做出来,也存在一个问题,就是抗体大多只能用一次。我曾经把Santa的原装抗体和分装抗体做过比对(抗体品种,货号等完全一致),在都能做出来的前提下,原装抗体能重复使用的次数要多出许多。具体原因我已经揣测了好几年,不敢说出来,我一直在想是不是冬天西瓜切成牙和整个卖,也会有所不同。揣测归揣测,假如只为了发论文毕业走人,可以考虑选用进口分装的多克隆抗体。 国产抗体比较知名的就几家,但质量确实不敢恭维。western blot能做出来的确实不多,而且杂带多,背景不干净。我们周边
,唯一的不足是CST的品种实在不多。Santa的多克隆抗体质量可以,但是选用Santa的单抗还是有风险,估计这也是业界共识了吧。 进口抗体国内分装包装我也用过不少,呵呵,毕竟是穷人(420元/100微升),大概好抗体的比例约为50%,如果能做出来,也存在一个问题,就是抗体大多只能用一次。我曾经把Santa的原装抗体和分装抗体做过比对(抗体品种,货号等完全一致),在都能做出来的前提下,原装抗体能重复使用的次数要多出许多。具体原因我已经揣测了好几年,不敢说出来,我一直在想是不是冬天西瓜切成牙和整个卖
技术资料暂无技术资料 索取技术资料










