相关产品推荐更多 >
万千商家帮你免费找货
0 人在求购买到急需产品
- 详细信息
- 技术资料
- 保存条件:
2-10℃
- 保质期:
长期
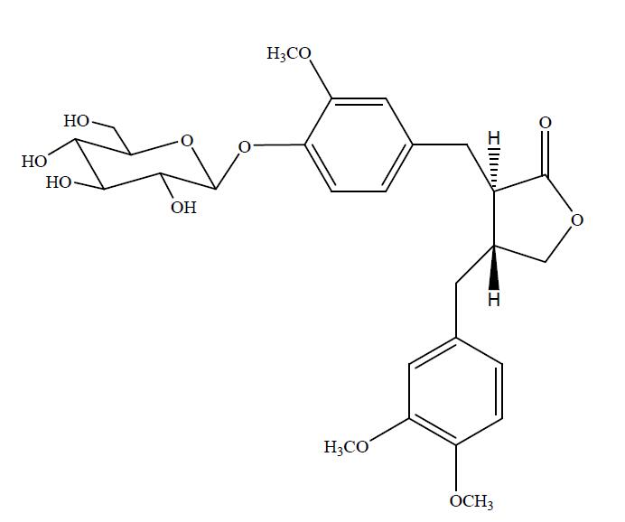
- 英文名:
Arctiin
- 库存:
797
- 供应商:
北京百奥莱博科技有限公司
- CAS号:
20362-31-6
特别声明:本产品及我公司所售其他产品均为科研类试剂产品,严禁用于药物、医疗及其他非科研用途。
百奥莱博公司致力于为全国科研单位提供药典标准品、对照品、标准溶液、标准样品、对照培养基、国家标准品等可靠标准物质,其中北京现货牛蒡苷标准品销*(代"售")的品质过硬,在广大科研人员中有口皆碑!
名称:北京现货牛蒡苷标准品销*(代"售")
品牌:百奥莱博
英文名:Arctiin
产地:国产|进口
规格:20mg/支
本品为牛蒡苷化学对照品,供鉴别及含量测定用,含量以95.9%计,使用前不需处理。
CAS号:20362-31-6
分子式:C27H34O11
分子量:534.54
结构式:

包装:棕色安瓿瓶
装量:约20mg/支
储存条件:冷处(2-10℃)保存
欲了解更多北京现货牛蒡苷标准品销*(代"售")的品牌、产地、价格及说明书等产品信息,请致电北京百奥莱博科技有限公司,我们将竭诚为您服务,另外,以下产品正在火爆促销:
·胰岛素
编号:BP1926
英文名称:Insulin,Porcine
规格:约20mg
本品为胰岛素生物标准品,供作胰岛素生物检定用。本品系胰岛素的干燥粉末,充氮熔封于硬质玻璃管中。
效价:本品每毫克相当于27单位。
装量:约20 mg。
储存条件:本品应避光冷藏。
标准溶液的配制:迅速精密称取本品适量,精确加每100 ml中含0.2 g 的甲*(代"酚")并用 0.1 mol/L 盐*(代"酸")调节 pH 为 2.5 的 0.9%*化*溶液,溶解使每毫升含 20 IU,分装熔封于 2ml 安瓿中(安瓿于 120℃烘干1 小时),置冰箱内贮存,如无沉淀析出可使用 6个月。试
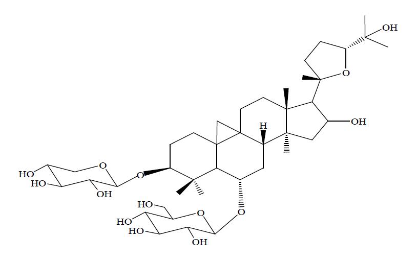
·黄芪甲苷
编号:BP1075
英文名称:Astragaloside IV
规格:约20mg/支
本品为黄芪甲苷化学对照品,供鉴别和含量测定用,使用前不需干燥处理。含量以97.4%计。
CAS号:84687-43-4
分子式:C41H68O14
分子量:784.97
结构式:

包装:棕色安瓿
装量:约20mg/支
储存条件:冷处(2-10℃)保存
注意事项:本品有引湿性,开封后一次使用完毕。
北京现货牛蒡苷标准品销*(代"售")关键词:Arctiin,20362-31-6,牛蒡苷
牛蒡苷由我公司长期专业供应,公司为广大顾客提供 牛蒡苷产品说明,生产厂家,价格,规格,哪里买 。公司遵循高品质的产品,高质量的技术服务,合理的价格,是国内研发与生产,销*(代"售")合为一体的一家大型企业,我们承诺:以最少的经费,最高的效率,得到您最需要的实验结果,同时我们承诺,若有质量问题,无条件退换。
·*吡格雷杂质I
编号:BP2164
英文名称:Clopidogrel Impurity I
规格:50mg/支
本品为*吡格雷杂质I化学对照品,供HPLC法测定,按C15H15Cl2NO2S计,含量为100%,使用前不需干燥处理。
CAS号:144750-42-5
分子式:C15H15Cl2NO2S
分子量:344.26
包装:棕色西林瓶
装量:约50mg/支
储存条件:遮光,密封保存。
·*噻嗪
编号:BP0816
英文名称:Chlorothiazide
规格:50mg/支
本品为*噻嗪化学对照品,供HPLC法系统适用性试验用。
CAS号:58-94-6
分子式:C7H6ClN3O4S2
分子量:295.73
包装及装量:棕色西林瓶装,每支约50毫克。
储存条件:遮光,密封,冷处保存。
注意事项:使用前不需干燥处理。
·盐*(代"酸")咪达普利
编号:BP0575
英文名称:Imidapril Hydrochloride
规格:100mg
本品为盐*(代"酸")咪达普利化学对照品,供含量测定用。
CAS号:89396-94-1
分子式:C20H27N3O6·HCl
分子量:441.91
包装及装量:棕色小瓶装,每支约100毫克。
储存条件:遮光,密闭保存。
注意事项:使用前不需干燥处理。
·莲心碱高*酸盐
编号:BP1298
英文名称:Liensinine Perchlorate
规格:20mg/支
本品为莲心碱高*酸盐化学对照品,供鉴别及含量测定用,含量以96.3%计,使用前不需干燥处理。
CAS号:2385-63-9
分子式:C37H42N2O6·2HClO4
分子量:811.66
结构式:

包装:棕色安瓿瓶
规格:约20mg/支
储存条件:冷处(2-10℃)保存
北京现货牛蒡苷标准品销*(代"售")关键词:Arctiin,20362-31-6,牛蒡苷
牛蒡苷由我公司优惠供应,公司常年现货,欢迎广大科研工作者及经销商同仁前来咨询选购,另外公司专业从事进口科研生化试剂的批发及零售业务,产品涉及分子生物学、细胞生物学、免疫学、生物化学等诸多生命科研领域。因公司业务发展的需要,现诚征各地经销代理商,欢迎有志从事本行业的精英、同行莅临指导。
ARB12252 大鼠血管紧张素Ⅱ(ANG-Ⅱ)酶标法分析 Rat angiotension Ⅱ,ang-Ⅱ ELISA KIT
BL0943 生物素化羊抗大鼠IgG抗体
辛基琼脂糖凝胶4FF Neuraminidase 68652-09-5
对羟基*三唑一水 DAOS 2592-95-2
ARB12542 大鼠胰岛素样生长因子-Ⅰ(IGF-Ⅰ)elisa检测说明书 Rat insulin-like growth factor binding protein 1,igfbp-1 ELISA KIT
ARB10310 人巨噬细胞替代激活相关化学因子1(AmAC-1)ELISA检测服务 Human alternative macrophage activation-associated cc chemokine 1,amac-1 ELISA KIT
十二烷基硫*(代"酸")* 1,1,3,3-Tetraethoxypropane 3097-08-3
利波腺苷 Phytic acid calcium salt 7724-76-7
BTN120505 Dam 甲基转移酶 Dam Methyltransferase
四氮唑紫 Calconcarboxylic acid 1719-71-7
D(-)樟脑磺酸 DL-Glyceraldehyde 3144-16-9
BTN131072 预稀释BSA蛋白标准品 Instant BSA Standard
9002-04-4 Thrombin 凝血酶
我公司是一家专业经营生化试剂、仪器、牛蒡苷、实验室耗材的公司,代理许多国际先进水平的高科技产品,包括分子生物学、细胞生物学、免疫学等多个研究及应用领域。我们努力将欧美专业生产厂家的具有国际先进水平的产品推荐给各类研究人员;另一方面也非常重视自主产品研究和开发,推出了一系列具有竞争力的产品和服务。同时国家对于生物行业的发展给予了极大的重视,更多地侧重于科研的投入。
北京百莱博科技有限公司专业生产供应销*(代"售")生物试剂、化学试剂、抗原抗体、血清血浆、Elisa试剂盒,更多试剂产品需求,欢迎来电咨询选购北京现货牛蒡苷标准品销*(代"售")。
风险提示:丁香通仅作为第三方平台,为商家信息发布提供平台空间。用户咨询产品时请注意保护个人信息及财产安全,合理判断,谨慎选购商品,商家和用户对交易行为负责。对于医疗器械类产品,请先查证核实企业经营资质和医疗器械产品注册证情况。
技术资料暂无技术资料 索取技术资料









