万千商家帮你免费找货
0 人在求购买到急需产品
- 详细信息
- 文献和实验
- 技术资料
- 保存条件:
阴凉干燥
- 保质期:
长期
- 英文名:
Cholesterol
- 库存:
252
- 供应商:
北京百奥莱博科技有限公司
- CAS号:
57-88-5
特别声明:本产品及我公司所售其他产品均为科研类试剂产品,严禁用于药物、医疗及其他非科研用途。
北京百奥莱博公司供应包括胆固醇对照品哪里买在内的化学标准品,化学对照品,杂志对照品,HPLC标准品,UV标准品等高品质标准品、对照品
名称:胆固醇对照品哪里买
英文名:Cholesterol
品牌:百奥莱博
编号:BP1244
规格:50mg
本品为胆固醇化学对照品,供下鉴别用,置五氧化二磷减压干燥器中干燥12小时以上使用。
CAS号:57-88-5
分子式:C27H46O
分子量:386.64
结构式:

包装:棕色瓶
规格:约50mg/支
储存条件:干燥密闭保存
欲咨询购买胆固醇对照品哪里买,请致电北京百奥莱博科技有限公司,为您提供最全面周到的产品服务,除此之外,我公司正在促销以下产品:
BL1329 通用引物 Random
BL0924 RBITC标记羊抗兔IgG抗体
ARB13230 小鼠粘蛋白/粘液素5AC(MUC5AC)Elisa分析 Mouse mucin-5 subtype ac,muc5ac ELISA KIT
BL1127 细胞爬片抗原修复液(1×)
ARB11912 人鞭毛蛋白(flAgellIn)ELISA检测服务 Human flagellin ELISA KIT
肝素* Sulfamethoxypyridazine 9045-22-1
乙酸镧 2,6-dibromoquinone chlorimide? 100587-90-4
79-57-2 Teffamycin 土霉素
PY08-024 牛津琼脂(OXA)平板 9CM 10皿/盒,用于李斯特氏菌的选择性分离培养
ARB10954 人肝素结合性表皮生长因子(HB-EGF)免费代测 Human heparin-binding epidermal growth factor-like growth factor,hb-egf ELISA KIT
多效唑 Phosphotransacetylase from Bacillus stearothermophilus 76738-62-0
HC0165 有机玻璃离心管架
岩藻多糖 TAPSO sodiu*(代"m") salt 9072-19-9
CYB166010-D 羊抗人IgM(μ链特异)-GOLD
2-磺基*甲*(代"酸")酐 Potassium pyroantimonate 81-08-3
BL0323 弗氏完全佐剂 Freund "s Adjuvant Complete
胆固醇对照品哪里买关键词:胆固醇,Cholesterol,57-88-5
乳酸* Reactive brilliant red 867-55-0
4-*联*(代"*") Thiabendazole 92-66-0
芝麻酚 Gum dammar 533-31-3
9005-65-6 Tween-80 吐温-80
F030812 BIOTIN标记山羊抗兔IgG抗体 Goat Anti-Rabbit IgG*BIOTIN
BL1214 0.4%吕氏碱性美蓝染色液
曲拉通x-114 Sudan Ⅰ 9036-19-5
黄原胶 4-Methoxyphenylacetic acid 11138-66-2
C0301 优级新生牛血清(无菌过滤)
BFD075 鸡新城疫抗原快速检测卡
BTN130595 双荧光素酶活性检测试剂盒 Dual Luciferase Assay Kit
ARB10766 人抗Ku抗体(Anti-Ku-Ab)elisa检测 Human anti-ku-antibody ELISA KIT
PY02-178A 亮绿琼脂 250克
四甲基*化铵(四水) EDTA tetrasodiu*(代"m") salt 373-68-2
ARB13348 牛三碘甲状腺原*酸(T3)Elisa方法检测
ARB14136 猪胰蛋白酶原激活肽(TAP)elisa测定使用说明书
F020215 兔抗山羊IgG抗体 Rabbit Anti-Goat IgG
邻乙氧基*甲*(代"酸") Ammonium pentaborate 134-11-2
ARB11319 人食欲素受体(OXR)免费代测 Human orexin receptor,oxr ELISA KIT
*基黑10B 3-Aminobenzoic acid 1064-48-8
2-**甲*(代"酸") 5-IDC 118-91-2
68157-60-8 Forchior fennron *吡*脲
胆固醇对照品哪里买关键词:胆固醇,Cholesterol,57-88-5
胆固醇的纯度及用途:纯度高质含量低,适用于研究和配制标准液; 纯度较高,杂质含量较低,适用于定性和定量分析 重量略低于二级试剂,用途近似二级试剂 化学试剂按纯度由低到高可分为工业纯、实验纯(LR)、化学纯(CP)、分析纯(AR)、优级纯(GR)和超纯等多种规格。
·脱氧胆酸*
编号:BP2095
英文名称:Sodium Deoxycholate
规格:250mg
本品为脱氧胆酸*化学对照品,仅供脱氧胆酸*品种红外光吸收图谱鉴别用,使用前不需干燥处理。
CAS号:302-95-4
分子式:C24H39NaO4
分子量:414.55
包装:棕色西林瓶
规格:约250毫克/支
储存条件:遮光、2-8℃保存。
注意事项:建议打开包装一次性使用完
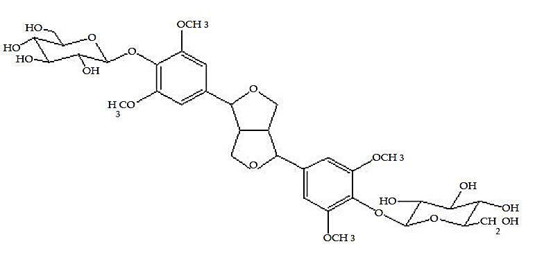
·刺五加苷E
编号:BP1312
英文名称:Eleutheroside E
规格:20mg/支
本品为化学对照品,供刺五加苷E含量测定用,含量以98.1%计,使用前不需干燥处理。
CAS号:39432-56-9
分子式:C34H46O18
分子量:742.72
结构式:

包装:棕色安瓿
装量:约20mg/支
储存条件:冷冻保存
·灰黄霉素
编号:BP1611
英文名称:Griseofulvin
规格:200mg
本品为灰黄霉素化学对照品,供含量测定用,含量以灰黄霉素C17H17ClO6计,使用前不需干燥处理。
CAS号:126-07-8
分子式:C17H17ClO6
分子量:352.77
结构式:

包装:白色安瓿
规格:约100毫克/支
储存条件:2-8℃保存
·艾拉莫德
编号:BP0753
英文名称:Griseofulvin
规格:100mg
本品为灰黄霉素化学对照品,供含量测定用,含量以灰黄霉素C17H17ClO6计,使用前不需干燥处理。
CAS号:126-07-8
分子式:C17H17ClO6
分子量:352.77
结构式:

包装:白色安瓿
规格:约100毫克/支
储存条件:2-8℃保存
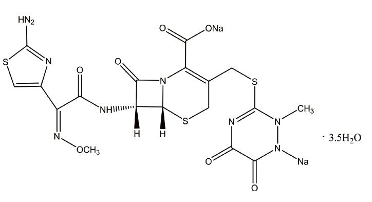
·头孢曲松
编号:BP1633
英文名称:Ceftriaxone
规格:200mg/支
本品为头孢曲松化学对照品,供高效液相法含量测定用,以头孢曲松(C18H16N8Na2O7S3)计,含量为83.9%,使用前不需要干燥处理。
CAS号:74578-69-1
分子式:C18H16N8Na2O7S3·3.5H2O
分子量:661.59
结构式:

包装:安瓿
规格:约200mg/支
储存条件:2-8℃保存
注意事项:本品建议打开
胆固醇等试剂产品的使用注意事项:
(1)、所有试剂、溶液以及样品的包装上必须要有标签。标签要完整、清晰,表明试剂的名称、规格、质量。
(2)、溶液除了表明品名外,还应表明浓度、配置日期等。万一标签脱落,应照原样贴牢。决定不允许在容器内装入与标签不相符的物品。
(3)、无标签的试剂必须取小样检定后才可使用。不能使用的化学试剂要慎重处理,不能随意乱倒。为了保证试剂不受污染,应当用清洁的牛角勺或不锈钢小勺从试剂瓶中取出试剂,绝不可以用手抓取。若试剂结块,可用洁净的玻璃棒或瓷药铲将其捣碎后取出。
(4)液体试剂可用洗干净的量筒到取,不要用吸管伸入原试剂中吸取液体。从试剂瓶中取出的、没有用完的声誉药品,不可再倒回原瓶。
我公司以高效的产品质量,完善的销*(代"售")体系、快速、安全的产品渠道,优质的客户服务,以诚信的态度,真诚的对待客户、合作伙伴以及各位同仁,欢迎来电咨询胆固醇!
我公司生产供应销*(代"售")的标准品对照品产品正全系列现货促销,满分期待您的垂询选购胆固醇对照品哪里买。
风险提示:丁香通仅作为第三方平台,为商家信息发布提供平台空间。用户咨询产品时请注意保护个人信息及财产安全,合理判断,谨慎选购商品,商家和用户对交易行为负责。对于医疗器械类产品,请先查证核实企业经营资质和医疗器械产品注册证情况。
文献和实验烃,吡啶,糖衍生物,氨基酸衍生物,维生素衍生物,镇痛药,农药,溶剂,胆固醇,香料,咖啡,食品添加剂等 二、 SPB-5型弱极性柱(键合,5%苯基,95%甲基聚硅氧烷) 对照品牌:HP-5,DB-5,BP-5,CP-SIL 8CB,UItra-2,007-2,RTx-5,AT-5 类似固定相:SE-54,SE-52,OV-73 使用温度:-60℃-320℃ 应用范围:烷基苯,多环芳烃,醇,酚,酮,脂肪酸酯,苯二
氯化碳、造睾丸损伤的镉剂、造成肺损伤的博来霉素、造成肾损伤的腺嘌呤、造成炎症的角叉菜胶等等。 动物模型用饲料:这个一般是固体状态。也有半固体的。液体状态的较少。如:高脂饲料中要配以胆固醇、丙基硫氧嘧啶、胆酸盐、鸡蛋黄、猪油等。 动物基本操作用试剂:如:麻醉用试剂、动物除毛的试剂硫化钠、动物标记的试剂苦味酸、取血或插管用的试剂肝素、消毒用的75%乙醇、碘伏、新洁尔灭、动物手术后护理的抗生素等。 各类缓冲液或基础分散介质:如:PBS、生理盐水、柠檬酸缓冲液、克氏液、任氏液
图谱研究供试样品(略) 1.2 试剂 胆固醇对照品,(10-1491-79,北京化工厂);硅胶G(青岛海洋化工厂);氯仿、甲醇、乙醇、醋酸乙酯、正己烷、丙酮、正丁醇、乙醚、石油醚、冰醋酸(均为分析纯)。 1.3 仪器超声波提取器 (KQ-100B,昆山市超声仪器有限公司);电子分析天平(T-500,常熟双杰测试仪器厂);双相展开槽(P- 上海信谊仪器厂);电动显色设备(YOKO-PN,武汉药科新技术开发公司);电水浴锅(HH-2 江苏金坛市荣华仪器制造有限公司);紫外
技术资料暂无技术资料 索取技术资料










