万千商家帮你免费找货
0 人在求购买到急需产品
- 详细信息
- 文献和实验
- 技术资料
- 保存条件:
阴凉干燥
- 保质期:
长期
- 英文名:
2,2’-(disulfanediyl)bis(ethanesulfonic acid)
- 库存:
408
- 供应商:
北京百奥莱博科技有限公司
- CAS号:
45127-11-5
特别声明:本产品及我公司所售其他产品均为科研类试剂产品,严禁用于药物、医疗及其他非科研用途。
北京百奥莱博公司供应包括双硫化合物对照品供应在内的化学标准品,化学对照品,杂志对照品,HPLC标准品,UV标准品等高品质标准品、对照品
名称:双硫化合物对照品供应
规格:50mg
编号:BP0449
英文名:2,2’-(disulfanediyl)bis(ethanesulfonic acid)
品牌:百奥莱博
本品为双硫化合物化学对照品,供TLC检查用,使用前不需干燥处理。
CAS号:45127-11-5
分子式:C4H10O6S4
分子量:282.38
包装及装量:棕色安瓿瓶装,每支约50毫克。
储存条件:避光,密封保存。
注意事项:使用前不需干燥处理。
更多有关双硫化合物对照品供应的价格及使用说明等,请联系我们的业务经理王欣女士咨询,我公司还销*(代"售")以下产品:
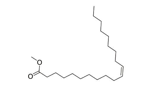
·花生烯酸甲酯(顺-11-二十碳烯酸甲酯)
编号:BP2096
英文名称:Cis-11-EICOSENOIC ACID METHYL ESTER
规格:0.1ml/支
本品为花生烯酸甲酯化学对照品,仅供油酰聚氧乙*(代"烯")甘油酯品种项下脂肪酸组成检查用,使用前不需干燥处理。
CAS号:2390-09-2
分子式:C21H40O2
分子量:324.54
结构式:

包装:棕色安瓿
规格:约0.1ml/支
储存条件:遮光、4~8℃保存
·异嗪皮啶
编号:BP1121
英文名称:Isofraxidin
规格:20mg/支
本品为异嗪皮啶化学对照品,供鉴别及含量测定用,含量以100.0%计,置五氧化二磷干燥器中减压干燥12小时以上使用。
CAS号:486-21-5
分子式:C11H10O5
分子量:222.05
结构式:

包装:棕色瓶
装量:约20mg/支
储存条件:冷处(2~10℃)保存
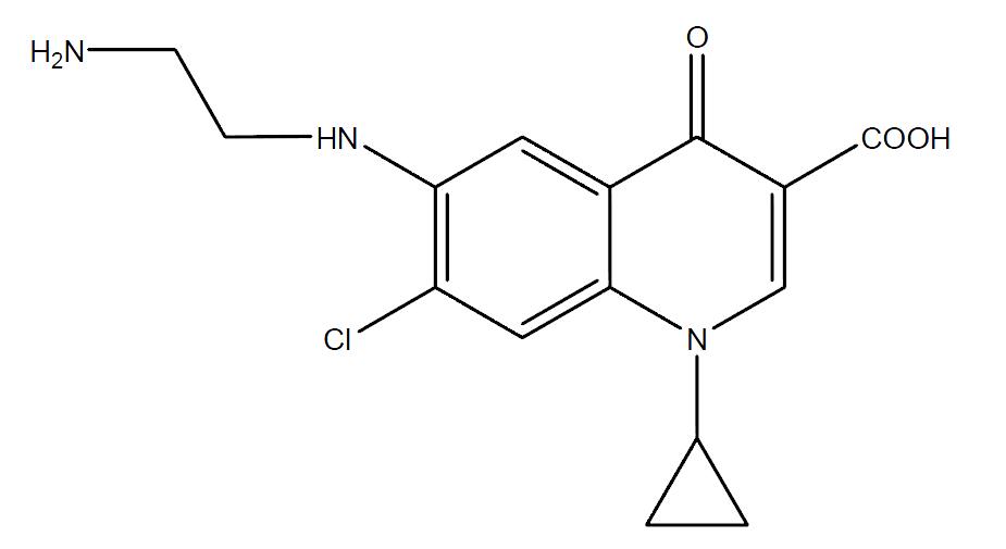
·环丙沙星杂质I
编号:BP1723
英文名称:Ciprofloxacin impurity I
规格:50mg/支
本品为环丙沙星杂质I化学对照品,供环丙沙星及盐*(代"酸")环丙沙星的系统适用性试验用。
分子式:C15H16ClN3O3
分子量:321.09
结构式:

包装及装量:安瓿,50mg/支
储存条件:置5℃以下条件低温避光保存。
双硫化合物对照品供应关键词:2,2’-(disulfanediyl)bis(ethanesulfonic acid),45127-11-5,双硫化合物
·盐*(代"酸")关附甲素
编号:BP0511
规格:50mg
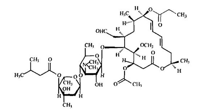
·丙*(代"酸")交沙霉素
编号:BP1582
英文名称:Josamycin propionate
规格:100mg
本品为丙*(代"酸")交沙霉素标准品,供抗生素微生物效价测定用,使用前不需干燥处理。
CAS号:83310-75-2
分子式:C45H73NO16
分子量:884.06
结构式:

包装:白色安瓿
规格:约100毫克/支
储存条件:2-8℃保存
·去甲异波尔定
编号:BP1393
英文名称:Norisoboldine
规格:20mg/支
本品为去甲异波尔定化学对照品,供含量测定用,使用前不需干燥处理,含量以95.7%计。
CAS号:23599-69-1
分子式:C18H19NO4
分子量:314.14
结构式:

包装及装量:棕色安瓿瓶,约20mg/支
储存条件:冷藏保存
注意事项:本品极具引湿性,引湿后潮解,打开包装后一次使用完毕。
·羟*苄酯
编号:BP2034
英文名称:Benzyl Hydroxybenzoate
规格:200mg/瓶
本品为羟*苄酯化学对照品,供含量测定用,以C14H12O3计,含量为99.4%,使用前不需干燥处理。
CAS号:94-18-8
分子式:C14H12O3
分子量:228.25
包装:棕色西林瓶
规格:约200mg
储存条件:遮光、常温保存。
注意事项:建议打开包装一次性使用完。
·*解磷定
编号:BP0388
英文名称:Benzyl Hydroxybenzoate
规格:100mg
本品为羟*苄酯化学对照品,供含量测定用,以C14H12O3计,含量为99.4%,使用前不需干燥处理。
CAS号:94-18-8
分子式:C14H12O3
分子量:228.25
包装:棕色西林瓶
规格:约200mg
储存条件:遮光、常温保存。
注意事项:建议打开包装一次性使用完。
双硫化合物对照品供应关键词:2,2’-(disulfanediyl)bis(ethanesulfonic acid),45127-11-5,双硫化合物
我公司是一家生物高新技术企业,主要从事免疫学、分子生物学和常规生化试剂的研发、销*(代"售")。致力于为广大高校、科研院所和企事业单位提供一流的科研试剂和完善的技术服务,满足生物化学、分子生物学 、双硫化合物、细胞生物学、免疫学ELISA试剂盒等生物科技实验需求。我们诚以100%的热情换您100%的满意!
·阿魏酸哌*(代"嗪")
编号:BP0633
英文名称:Piperazin*(代"e") Ferulate
规格:100mg/支
本品为阿魏酸哌*(代"嗪")化学对照品,供UV法含量测定用。按C4H10N2·2C10H10O4计,含量为100.0%。
分子式:C4H10N2·2C10H10O4
分子量:474.51
包装及装量:棕色西林瓶装,每支约100毫克
储存条件:遮光,密封保存
注意事项:使用前不需干燥处理。
·米非司酮
编号:BP2120
英文名称:Mifepristone
规格:100毫克
本品为米非司酮化学对照品,供鉴别和含量测定用。以C29H35NO2计,供HPLC法测定,含量为99.5%。
CAS号:84371-65-3
分子式:C29H35NO2
分子量:429.61
包装及装量:棕色小瓶,每支约100毫克
储存条件:干燥避光,室温密闭保存
注意事项:本品不需干燥处理,直接称取,临用新配,避光操作
·醋酸*
编号:BP0567
英文名称:Sodium Acetate
规格:100mg
本品为醋酸*化学对照品,120℃干燥2小时后使用,供HPLC法测定,按C2H3NaO2计,含量为100%。
CAS号:127-09-3
分子式:C2H3NaO2
分子量:82.03
包装:棕色安瓿。
装量:约100毫克/支。
储存条件:密封,在阴凉干燥处保存。
注意事项:本品极具引湿性,建议在相对湿度不超过30%的条件下使用。
双硫化合物等级划分:
我国的试剂规格基本上按纯度(杂质含量的多少)划分,共有高纯、光谱纯、基准、分光纯、优级纯、分析和化学纯等7种。国家和主管部门颁布质量指标的主要优级纯、分级纯和化学纯3种。
(1)优级纯(GR),又称一级品或保证试剂,99.8%,这种试剂纯度最高,杂质含量最低,适合于重要精密的分析工作和科学研究工作,使用绿色瓶签。
(2)分析纯(AR),又称二级试剂,纯度很高,99.7%,略次于优级纯,适合于重要分析及一般研究工作,使用红色瓶签。
(3)化学纯(CP),又称三级试剂,≥ 99.5%,纯度与分析纯相差较大,适用于工矿、学校一般分析工作。使用蓝色(深蓝色)标签。
(4)实验试剂(LR),又称四级试剂。
我公司位于北京市海淀区,是一家专业从事生化试剂、分子生物学试剂、实验耗材研发、销*(代"售")、服务为一体的生物科技公司,公司主要经营的进口品牌包括Sigma,Invitrogen,Roche,Abcam,BD, R&D,GE,Amresco,Merck等;产品涉及化工原料、生化试剂、分子克隆相关试剂、细胞培养及检测常用试剂、实验室常用耗材等。百奥莱博秉承博采众长、诚信为本、德行天下的宗旨服务于客户。公司合作单位及客户包括各大医院、科研机构、大专院校、制药单位、医学检验单位、卫生防疫、生物技术公司、食品单位等诸多领域,正逐步成长为一流的生化试剂和耗材供应商。 我们将一如既往的为您提供优质的产品和完善的售后服务。
我公司强烈推荐标准品对照品系列产品,热情期待您的咨询选购双硫化合物对照品供应。
风险提示:丁香通仅作为第三方平台,为商家信息发布提供平台空间。用户咨询产品时请注意保护个人信息及财产安全,合理判断,谨慎选购商品,商家和用户对交易行为负责。对于医疗器械类产品,请先查证核实企业经营资质和医疗器械产品注册证情况。
文献和实验【摘要】目的研究大蒜的质量控制方法。方法采用TLC法对大蒜药材进行定性鉴别。结果薄层色谱斑点清晰,阴性无干扰。结论该方法简便可行,可用于大蒜的质量控制。 【关键词】大蒜;蒜氨酸;薄层色谱鉴别 大蒜是百合科Liliaceace葱属植物大蒜AlliumsativumL.的鳞茎,在我国有着悠久的使用历史。大蒜的有效成分为含硫的一系列化合物。大蒜的鳞茎中主要的含硫化合物是S-烯丙基半胱氨酸硫氧化合物――蒜氨酸[1,2]。国内外已上市的大蒜制剂近几十种之多,但各种制剂
结构 FPD是把FID和光度计结合在一起的结构,开始为单火焰FPD,1978年后为了弥补单火焰FPD的缺点开发出双火焰FPD。它有两个相互分开的空气-氢气火焰,下边的火焰把样品分子转化成燃烧产物,其中含有相对简单的分子,如S2和HPO;上面的火焰产生可发光的激发态碎片,如S2*和HPO*,对准上面火焰有一个视窗,用光电倍增管检测化学发光的强度,视窗用硬质玻璃制成,火焰喷口用不锈钢制成。 性能 FPD是用于测定含硫、磷化合物的选择性检测器。 火焰是富氢焰
。 本观察治疗中第2组穴选取璇玑、膻中、中脘、梁门(双)、天枢(双)、气海,其中膻中为“气会”,璇玑与膻中可调理上焦之气,中脘与梁门可调中焦气之枢纽,和胃降逆,而天枢与气海可调下焦之气。上中下三焦之气既达,上下宣通,气机调畅,更兼第1组华佗夹脊穴腹背阴阳相配,引阳而出阴,共奏宽膈舒胸、理脾和胃、降气止呃之功。0.5 mg/mL的对照品溶液,备用。 2.1.2 对照药材溶液的制备 取牛蒡子对照药材粉末0.5 g,加乙醇20 mL,25 ℃下超声处理30 min,滤过,滤液蒸干
技术资料暂无技术资料 索取技术资料










