相关产品推荐更多 >
万千商家帮你免费找货
0 人在求购买到急需产品
- 详细信息
- 技术资料
- 保存条件:
冷藏
- 保质期:
长期
- 英文名:
Captopril-Disuphide
- 库存:
359
- 供应商:
北京百奥莱博科技有限公司
- CAS号:
64806-05-9
特别声明:本产品及我公司所售其他产品均为科研类试剂产品,严禁用于药物、医疗及其他非科研用途。
百奥莱博公司致力于为全国科研单位提供药典标准品、对照品、标准溶液、标准样品、对照培养基、国家标准品等可靠标准物质,其中卡托普利二硫化物对照品现货价格的品质过硬,在广大科研人员中有口皆碑!
名称:卡托普利二硫化物
英文名:Captopril-Disuphide
产地:国产|进口
品牌:百奥莱博
编号:BP0256
本品为卡托普利二硫化物,供检查用,使用前不需干燥处理,按C18H28N2O6S2计,含量为100.0%。
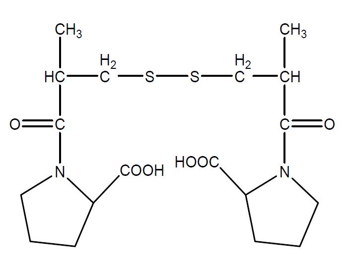
分子式:C18H28N2O6S2
结构式:

分子量:432.56
CAS号:64806-05-9
包装:棕色西林瓶
规格:约50毫克/支”
储存条件:遮光,密闭保存。
关键词:64806-05-9,卡托普利二硫化物,Captopril-Disuphide
更多有关卡托普利二硫化物对照品现货价格的价格及使用说明等,请联系我们的业务经理王欣女士咨询,我公司还销*(代"售")以下产品:
| 编号 | 名称 |
| BP2008 | 山嵛酸甲酯 |
| BP0494 | 4-*基-5-*基甲酰基咪唑 |
| BP0721 | 盐*(代"酸")黄酮哌酯 |
| BP0029 | 甲氧苄啶 |
| BP1158 | 苏*酸 |
| BP1140 | 银杏内酯C |
| BP1510 | 白术内酯III |
| BP0852 | N-(4-**甲酰基)- 酪胺 |
| BP1814 | 辅酶A |
| BP0079 | 磺胺 |
| BP1611 | 灰黄霉素 |
| BP0672 | 酒石酸罗格列酮 |
| BP0362 | 盐*(代"酸")硫必利 |
| BP1791 | 凝血酶 |
| BP0350 | 富马酸异丙吡仑 |
| BP1882 | L-肌肽 |
| BP0848 | 来*米特杂质Ⅰ(4-三*甲基**(代"胺")) |
| BP0740 | m-甲*(代"酚")-4,6-二磺酸铵(聚甲*(代"酚")磺醛杂质) |
| BP0132 | 盐*(代"酸")哌唑嗪 |
| BP0234 | 酮康唑 |
| BP1327 | 路路通酸 |
| BP1633 | 头孢曲松 |
| BP0397 | 盐*(代"酸")*西汀 |
| BP0142 | 胡椒乙*(代"腈") |
| BP0897 | 盐*(代"酸")脒基吡唑(扎那米韦杂质) |
| BP1137 | 山柰素(山柰酚) |
| BP0172 | 辛可尼丁 |
| BP0621 | 富马酸喹硫平 |
| BP2046 | 半乳糖醇 |
| BP0571 | 拉西地平 |
| BP2058 | 三辛酸甘油酯 |
| BP0224 | 格列吡嗪 |
| BP0717 | 丹曲林* |
| BP1982 | 铁蛋白(Fer) |
| BP1286 | 咖啡酸乙酯 |
| BP0873 | 1,4-对*醌 |
| BP0893 | 地舍平 |
| BP0117 | 磷酸咯*啶 |
| BP0217 | 蒿甲醚 |
| BP0739 | m-甲*(代"酚")-4-磺酸铵(聚甲*(代"酚")磺醛杂质) |
| BP0265 | *普生* |
风险提示:丁香通仅作为第三方平台,为商家信息发布提供平台空间。用户咨询产品时请注意保护个人信息及财产安全,合理判断,谨慎选购商品,商家和用户对交易行为负责。对于医疗器械类产品,请先查证核实企业经营资质和医疗器械产品注册证情况。
技术资料暂无技术资料 索取技术资料
卡托普利二硫化物对照品现货价格
¥150 - 1640









