相关产品推荐更多 >
万千商家帮你免费找货
0 人在求购买到急需产品
- 详细信息
- 询价记录
- 文献和实验
- 技术资料
- 保存条件:
冷藏
- 保质期:
长期
- 英文名:
Gefitinib
- 库存:
745
- 供应商:
北京百奥莱博科技有限公司
- CAS号:
184475-35-2
特别声明:本产品及我公司所售其他产品均为科研类试剂产品,严禁用于药物、医疗及其他非科研用途。
百奥莱博公司致力于为全国科研单位提供药典标准品、对照品、标准溶液、标准样品、对照培养基、国家标准品等可靠标准物质,其中北京吉非替尼对照品价格厂家的品质过硬,在广大科研人员中有口皆碑!
名称:北京吉非替尼对照品价格厂家
产地:国产|进口
编号:BP2143
品牌:百奥莱博
英文名:Gefitinib
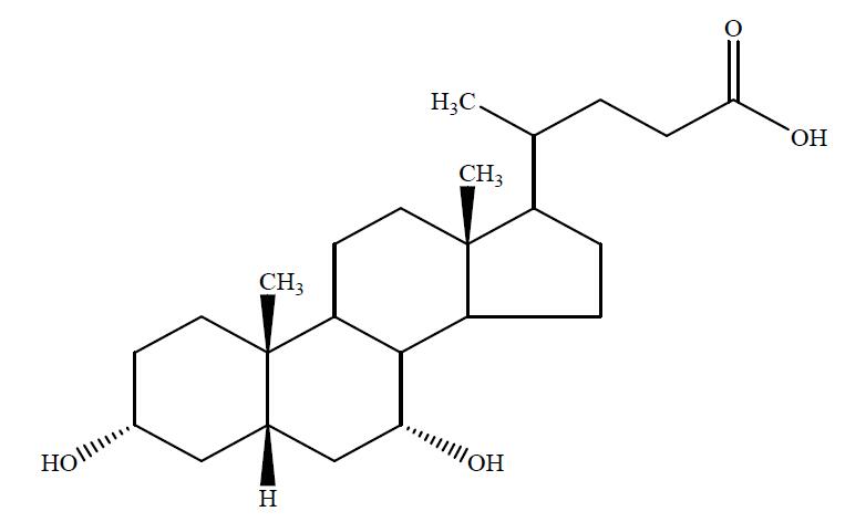
本品为吉非替尼化学对照品,供IR法鉴别和含量测定用,按C22H24ClFN4O3计,含量为99.8%,使用前不需干燥处理。
CAS号:184475-35-2
分子式:C22H24ClFN4O3
分子量:446.90
结构式:

包装:棕色西林瓶装
装量:约100mg/支
储存条件:遮光,密封保存
北京吉非替尼对照品价格厂家极具性价比,此外,我公司正火爆促销以下产品:
·聚普瑞锌
编号:BP1883
英文名称: Polaprezinc
规格:20mg/瓶
本品为聚普瑞锌化学对照品,供聚普瑞锌红外鉴别用。
分子式:[C9H12N4O3Zn]n
结构式:

包装:2ml西林瓶
规格:每瓶约20mg
储存条件:密封,2-8℃保存
·盐*(代"酸")喹那普利
编号:BP0434
英文名称:Quinapril Hydrochloride
规格:100mg
本品为盐*(代"酸")喹那普利化学对照品,供含量测定用,使用前不需干燥处理,供HPLC法测定,按C25H30N2O5·HCl计,含量为99.0%。本品溶液应临用新制。
分子式:C25H30N2O5·HCl
分子量:474.98
CAS号:82586-55-8
包装及装量:棕色安瓿瓶装,每支约100毫克。
储存条件:遮光,充氮,熔封保存。
注意事项:使用前不需干燥处理。
·亚油酸甲酯
编号:BP1247
英文名称:Methyl linoleate
规格:约0.2ml/支
本品为亚油酸甲酯化学对照品,供含量测定用,含量以99.8%计,使用前不需干燥处理。
CAS号:112-63-0
分子式:C19H34O2
分子量:294
结构式:

包装:棕色安瓿瓶。
规格:约0.2毫升/支。
储存条件:冷冻(-20℃)保存。
注意事项:本品不稳定,打开包装后一次使用完毕。
北京吉非替尼对照品价格厂家关键词:Gefitinib,184475-35-2,吉非替尼
·乙氧基白屈菜红碱
编号:BP1126
英文名称:Ethoxychelerythrine
规格:20mg
本品为乙氧基白屈菜红碱化学对照品,供相关物质鉴别用。
分子式:C23H23NO5
分子量:393
结构式:

包装及装量:棕色瓶。
储存条件:干燥密闭保存。
注意事项:使用前无需处理, 样品应避免与酸蒸气接触。
·缬沙坦对映异构体
编号:BP0634
英文名称:Valsartan Enantiomer
规格:50mg
本品为乙氧基白屈菜红碱化学对照品,供相关物质鉴别用。
分子式:C23H23NO5
分子量:393
结构式:

包装及装量:棕色瓶。
储存条件:干燥密闭保存。
注意事项:使用前无需处理, 样品应避免与酸蒸气接触。
·鹅去氧胆酸
编号:BP1095
英文名称:Chenodeoxycholic acid
规格:约30mg/支
本品为鹅去氧胆酸化学对照品,供鉴别和含量测定用,使用前不需干燥处理。含量以91.3%计。
CAS号:474-25-9
分子式:C24H40O4
分子量:392.57
结构式:

包装:棕色安瓿瓶
装量:约30mg/支
储存条件:冷处(2-10℃)保存
·通关藤苷H
编号:BP1453
英文名称:Tenacissoside H
规格:20mg/支
本品为通关藤苷H化学对照品,供鉴别及含量测定用,含量以99.8%计。
分子式:C42H66O14
分子量:794.26
包装及装量:棕色安瓿瓶。
储存条件:室温保存。
注意事项:使用前无需处理。
·**酸后马托品
编号:BP0830
英文名称:Homatropine Hydrobromide
规格:100mg
本品为通关藤苷H化学对照品,供鉴别及含量测定用,含量以99.8%计。
分子式:C42H66O14
分子量:794.26
包装及装量:棕色安瓿瓶。
储存条件:室温保存。
注意事项:使用前无需处理。
·鼠李糖
编号:BP1289
英文名称:Rhamnose
规格:约50mg/支
本品为鼠李糖化学对照品,使用前不需干燥处理。
CAS号:10030-85-0
分子式:C6H12O5
分子量:164.07
结构式:

包装:棕色瓶
规格:约50毫克/支
储存条件:冷处(2~10℃)保存
北京吉非替尼对照品价格厂家关键词:Gefitinib,184475-35-2,吉非替尼
本公司免费技术支持,由专业的技术人员和销*(代"售")人员为科研用户提供全面的技术支持和完善的售前、售中、售后服务。百奥莱博暑期大促,凡够买我司各种生物试剂、抗体、ELISA试剂盒、抗原、血清、血浆、吉非替尼、脱纤维血、抗凝血、裂解血、分子生物学试剂、培养基等优质试剂,均可享受超低会员价,各种高品质科研试剂及各种规格包装均可定制,如有需要请联系我们。
·右旋糖酐分子量标准(套)
编号:BP1799
英文名称:Dextran Standard D0
规格:100mg/瓶
本品为右旋糖酐分子量标准套(10 种)化学对照品,供右旋糖酐系列与右旋糖酐铁分子量与分子量分布检查用,右旋糖酐D0 与D2000 为系统适应性试验用。
分子量:
右旋糖酐D0 Mp180;
右旋糖酐D1 Mp2700;
右旋糖酐D2 Mp5250;
右旋糖酐D3 Mp9750;
右旋糖酐D4 Mp13050;
右旋糖酐D5 Mp36800;
右旋糖酐D6 Mp64650;
右旋糖酐D7 Mp135350;
右旋糖酐D8 Mp300600;
·20(S)-人参皂苷Rg2
编号:BP1358
英文名称:20(S)-Ginsenoside Rg2
规格:20mg
本品为右旋糖酐分子量标准套(10 种)化学对照品,供右旋糖酐系列与右旋糖酐铁分子量与分子量分布检查用,右旋糖酐D0 与D2000 为系统适应性试验用。
分子量:
右旋糖酐D0 Mp180;
右旋糖酐D1 Mp2700;
右旋糖酐D2 Mp5250;
右旋糖酐D3 Mp9750;
右旋糖酐D4 Mp13050;
右旋糖酐D5 Mp36800;
右旋糖酐D6 Mp64650;
右旋糖酐D7 Mp135350;
右旋糖酐D8 Mp300600;
·呋*(代"喃")唑酮
编号:BP0366
英文名称:Furazolidone
规格:50mg
本品为呋*(代"喃")唑酮化学对照品,供高效液相法及紫外分光光度法含量测定用,含量以呋*(代"喃")唑酮(C8H7N3O5)计,使用前不需要干燥处理。
1、储存条件:置5℃以下条件低温避光保存。启开安瓿后严密保持干燥以防吸水。
2、使用方法:精密称取适量,按质量标准规定的方法,配制至所需浓度的对照品溶液,立即使用。
·20(s)-人参皂苷Rh2
编号:BP1336
英文名称:20(S)-Ginsenoside Rh2
规格:20mg
本品为人参皂苷Rh2化学对照品,供含量测定用,置五氧化二磷减压干燥器中干燥12小时以上使用。
CAS号:78214-33-2
分子式:C36H62O9
分子量:622.87
结构式:

包装及装量:棕色瓶装,约20mg/支
储存条件:冷冻保存
吉非替尼的纯度及用途:纯度高质含量低,适用于研究和配制标准液; 纯度较高,杂质含量较低,适用于定性和定量分析 重量略低于二级试剂,用途近似二级试剂 化学试剂按纯度由低到高可分为工业纯、实验纯(LR)、化学纯(CP)、分析纯(AR)、优级纯(GR)和超纯等多种规格。
我公司所售商品均为100%厂家供货,品质保证,价格优惠!
1.试剂包装:1g、5g、10g、25g、100g、500g等不同包装,欢迎来电咨询:吉非替尼,生化试剂
2.试剂纯度:97%-99%以上
3.库存均有现货。
4.产品订购以订货当日最新价格为准。
5.所有产品为确保质量,出库均复检。
我公司生产供应销*(代"售")的标准品对照品正全品类优惠促销,十分期待您的咨询选购北京吉非替尼对照品价格厂家。
风险提示:丁香通仅作为第三方平台,为商家信息发布提供平台空间。用户咨询产品时请注意保护个人信息及财产安全,合理判断,谨慎选购商品,商家和用户对交易行为负责。对于医疗器械类产品,请先查证核实企业经营资质和医疗器械产品注册证情况。
- 作者
- 内容
- 询问日期
文献和实验液相色谱-蒸发光散射检测法测定其黄芪甲苷的含量,报道如下。 1 仪器与试药 LC�10ATvp高效液相色谱仪(日本岛津公司);ELSD�2000蒸发光检测器(美国Alltech);黄芪甲苷对照品(中国药品生物制品检定所提供,批号为110781�200311,为含量测定用);乙腈为色谱纯,水为经Milli�Q过0.22μm膜净化的超纯水,其它试剂均为分析纯。心舒康片样品(厂家提供)。 2 方法与结果 2.1 色谱条件 色谱柱为Agilent HC�
前段时间,小编的朋友圈被「我们的 18 岁」刷了屏,大家争相回忆自己曾经的似水年华。原来十年前,已经是 2009,而不再是 1999 了。,但是实验室的一些老物件却勾起了小编对于过去回忆……试剂篇这是一瓶好早以前的硫酸锌,从这个国家标准来看,应该是 1978 年后生产的。还有北京朝阳区化工四厂出品的硫酸锰。北京化工四厂 1956 年建厂, 1964 年由市区迁入房山区,是一个有 60 多年的老厂。这瓶柠檬酸三钠从批号看是 1985 年产的,比小编大了能有 10 岁。不看不知道,原来实验室很早
对赤芍和地榆的性状、显微特征、薄层色谱等方面进行了比较鉴别,其中性状和显微特征以比较表形式列出,主要显示二者的区别点,介绍如下。 1 材料 赤芍对照药材粉末,批号121093-200405,地榆对照药材粉末,批号121286-200410,芍药苷对照品批号110736-200527,均为中国药品生物制品检定所提供,供粉末显微特征和薄层色谱鉴别用。赤芍和地榆饮片为宁波明贝中药业有限公司提供样品,赤芍批号20070506,地榆批号20070315,经笔者鉴定为正品赤芍和地榆
技术资料暂无技术资料 索取技术资料










