相关产品推荐更多 >
万千商家帮你免费找货
0 人在求购买到急需产品
- 详细信息
- 询价记录
- 文献和实验
- 技术资料
- 保存条件:
阴凉干燥
- 保质期:
长期
- 英文名:
Insulin Aspart
- 库存:
991
- 供应商:
北京百奥莱博科技有限公司
- CAS号:
116094-23-6
特别声明:本产品及我公司所售其他产品均为科研类试剂产品,严禁用于药物、医疗及其他非科研用途。
北京百奥莱博公司供应包括门冬胰岛素标准品北京价格在内的化学标准品,化学对照品,杂志对照品,HPLC标准品,UV标准品等高品质标准品、对照品
名称:门冬胰岛素标准品北京价格
产地:国产|进口
规格:25mg/支
品牌:百奥莱博
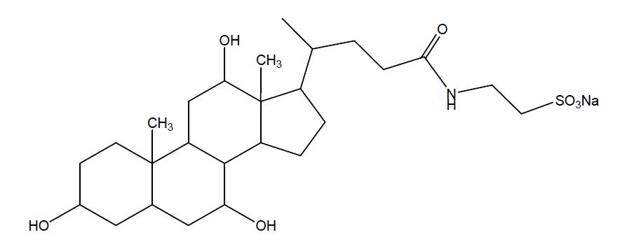
本品为门冬胰岛素生物标准品,供门冬胰岛素及制剂HPLC法鉴别、含量测定及生物活性检查用,以门冬胰岛素(C256H381N65O79S6)、B28iso门冬胰岛素、A21门冬胰岛素、B3门冬胰岛素及B3iso门冬胰岛素之和计,含量为27.5单位/mg,使用前不需干燥处理。
CAS号:116094-23-6
分子式:C256H381N65O79S6
分子量:5826
结构式:
<img width="400" height="400" src="http://www.bjbalb.com/pic2/116094-23-6
欲了解更多门冬胰岛素标准品北京价格的品牌、产地、价格及说明书等产品信息,请致电北京百奥莱博科技有限公司,我们将竭诚为您服务,另外,以下产品正在火爆促销:
9041-93-4 Zeocin 博莱霉素
ARB11664 人维生素A(VA)Elisa方法检测 Human vitamin a,va ELISA KIT
ARB10324 人内皮型一氧化*(代"氮")合成酶3(eNOS-3)elisa检测说明书 Human α1-acid glycoprotein,α1-agp ELISA KIT
PY04-089 头孢菌素* 2mg/支×10支 每支添加于100ml Bolton肉汤基础中,用于弯曲杆菌的增菌培养
4-硝基*(代"*")甲醛 H-Pro-OMe?HCl 555-16-8
ARB11388 人活化凝血因子Ⅻ(FⅫA)含量测试 Human activated coagulation factor Ⅻ,fⅫa ELISA KIT
ARB14245 人CD3分子(CD3)血清中含量检测
BL1212 抗酸染色液(试剂盒)
329-98-6 PMSF *甲基黄酰*
矿物油 Potassium citrate monohydrate 8042-47-5
CYB161040 猪IgG(液体-pH7.2PBS)
37326-33-3 Hyaluronidase 透明质酸酶
FMOC-D-亮*酸 5′-ITP,3Na 114360-54-2
乙二*(代"胺")四乙酸 Lecithin 60-00-4
ARB10100 人E*粘着蛋白/上皮性*黏附蛋白(E-CAd)ELISA代测服务 Human e-cadherin,e-cad ELISA KIT
37224-29-6 葡聚糖凝胶G-75 Sephadex G-75medium
BL0956 胶体金标记兔抗鸡IgG抗体
ARB13876 猪白介素3(IL-3)检测服务 Porcine interleukin 3,IL-3 ELISA KIT
ARB11666 人维生素B6(VB6)含量检测 Human vitamin b6,vb6 ELISA KIT
PC3601 TUREscript SYBR Green qRT-PCR Kit (两步法荧光定量反转录PCR试剂盒)
ARB10903 人抗滋养膜细胞抗体(ATA)定量分析 Human anti-trophoblast antibody,ata ELISA KIT
门冬胰岛素标准品北京价格关键词:门冬胰岛素,116094-23-6,Insulin Aspart
·邻*二甲*(代"酸")二正戊酯
编号:BP2176
英文名称:Diamyl Phthalate
规格:1ml
本品为邻*二甲*(代"酸")二正戊酯化学对照品,供GC法含量测定用,按C18H26O4计,含量为99.2%,使用前不需干燥处理。
CAS号:131-18-0
分子式:C18H26O4
分子量:306.40
结构式:

包装及装量:棕色安瓿瓶装,每支约 1毫升。
储存条件:遮光,密封保存。
·昔*酸沙美特罗
编号:BP0433
英文名称:Salmeterol Xinafoate
规格:50mg/支
本品为昔*酸沙美特罗化学对照品,供含量测定用,使用前不需干燥处理,供HPLC法测定,按C25H37NO4·C11H8O3计,含量为99.6%。
别名:羟*酸沙美特罗
CAS号:94749-08-3
分子式:C25H37NO4·C11H8O3
分子量:603.8
结构式:

包装:棕色西林瓶装
规格:50毫克/支
储存条件:遮光,10~30℃
·盐*(代"酸")伐昔洛韦
编号:BP0580
英文名称:Valacyclovir Hydrochloride
规格:100mg/支
本品为盐*(代"酸")伐昔洛韦化学对照品,供含量测定用,使用前不需干燥处理。按C13H20N6O4·HCl计,供HPLC法测定,含量为92.7%;供UV法测定,含量为93.0%。
CAS号:124832-27-5
分子式:C13H20N6O4·HCl
分子量:360.80
包装:棕色安瓿瓶。
规格:约100毫克/支。
储存条件:遮光,0-4℃密封保存。
注意事项:本品具有引湿性,须在湿度不超过40%的条件下开启,并一次性快速使用。
门冬胰岛素标准品北京价格关键词:门冬胰岛素,116094-23-6,Insulin Aspart
我公司是一家专注于生命科学和生物技术领域的高科技企业,专业提供生物学试剂、免疫学试剂、生物化学试剂、门冬胰岛素以及其他常用实验室用品以及分子生物学、免疫学、生命科学基础研究诸多领域的生物技术服务。我们秉承着“质量第一,客户至上”的原则,用热情、认真、主动、周到的服务实践着公司的承诺,进而使公司逐步成长为国内具有影响力的生物产品供货商。目前公司客户遍及各大医院、科研机构、大专院校、制药单位、医学检验单位、卫生防疫、生物技术公司、食品单位等诸多领域。于此同时公司严格的管理制度,使百奥莱博形成了独特的市场优势:产品种类齐全、包装规格完善、价格合理、质量保证、信息反馈及时、售后服务周到。
·3-甲酰利福霉素SV
编号:BP1600
英文名称:3-Formylrifampicin SV
规格:50mg
本品为3-甲酰利福霉素SV标准品,供利福平品种有关物质检查及系统适用性试验用。
使用方法:精密称取本品适量,按规定的方法,配制至所需浓度的对照品溶液,立即使用。
储存条件:置5℃以下低温避光保存。开启安瓿后严密保持干燥,以防吸水。
注意事项:使用前不需干燥处理。
·牛磺酸
编号:BP1242
英文名称:Taurine
规格:20mg/支
本品为牛磺酸化学对照品,供含量测定用,含量以100.0%计,置五氧化二磷干燥器中减压干燥12小时后使用。
CAS号:107-35-7
分子式:C2H7NO3S
分子量:125.15
结构式:

包装:棕色瓶
规格:约20mg/支
储存条件:阴凉处保存
·龙血素B
编号:BP1207
英文名称:Loureirin B
规格:20mg
本品为龙血素B化学对照品,供含量测定用,含量以99.9%计。
CAS号:119425-90-0
分子式:C18H20O5
分子量:286
结构式:

包装及装量:棕色瓶,约20mg/支
储存条件:室温保存。
注意事项:使用前无需处理。
·牛磺胆酸*
编号:BP1102
英文名称:Sodium Taurocholate
规格:20mg
本品为牛磺胆酸*化学对照品,供鉴别或含量测定用,使用前不需干燥处理,含量以87.9%计。
CAS号:145-42-6
分子式:C26H44NNaO7S
分子量:537.68
结构式:

包装:棕色安瓿瓶
装量:约20mg/支
储存条件:常温干燥保存
注意事项:本品具引湿性,建议打开包装一次性使用完。
我公司位于北京市海淀区,是一家专业从事生化试剂、分子生物学试剂、实验耗材研发、销*(代"售")、服务为一体的生物科技公司,公司主要经营的进口品牌包括Sigma,Invitrogen,Roche,Abcam,BD, R&D,GE,Amresco,Merck等;产品涉及化工原料、生化试剂、分子克隆相关试剂、细胞培养及检测常用试剂、实验室常用耗材等。百奥莱博秉承博采众长、诚信为本、德行天下的宗旨服务于客户。公司合作单位及客户包括各大医院、科研机构、大专院校、制药单位、医学检验单位、卫生防疫、生物技术公司、食品单位等诸多领域,正逐步成长为一流的生化试剂和耗材供应商。 我们将一如既往的为您提供优质的产品和完善的售后服务。
门冬胰岛素等级划分:
我国的试剂规格基本上按纯度(杂质含量的多少)划分,共有高纯、光谱纯、基准、分光纯、优级纯、分析和化学纯等7种。国家和主管部门颁布质量指标的主要优级纯、分级纯和化学纯3种。
(1)优级纯(GR),又称一级品或保证试剂,99.8%,这种试剂纯度最高,杂质含量最低,适合于重要精密的分析工作和科学研究工作,使用绿色瓶签。
(2)分析纯(AR),又称二级试剂,纯度很高,99.7%,略次于优级纯,适合于重要分析及一般研究工作,使用红色瓶签。
(3)化学纯(CP),又称三级试剂,≥ 99.5%,纯度与分析纯相差较大,适用于工矿、学校一般分析工作。使用蓝色(深蓝色)标签。
(4)实验试剂(LR),又称四级试剂。
我公司强烈推荐标准品对照品系列产品,热情期待您的咨询选购门冬胰岛素标准品北京价格。
风险提示:丁香通仅作为第三方平台,为商家信息发布提供平台空间。用户咨询产品时请注意保护个人信息及财产安全,合理判断,谨慎选购商品,商家和用户对交易行为负责。对于医疗器械类产品,请先查证核实企业经营资质和医疗器械产品注册证情况。
- 作者
- 内容
- 询问日期
文献和实验北京时间 7 月 12 日,中国科学院深圳先进技术研究院司同课题组与伊利诺伊大学厄巴纳-香槟分校 Jonathan V. Sweedler 教授团队合作,在 FASEB J 国际学术期刊上发表研究论文 Profiling of D-alanine production by the microbial isolates of rat gut microbiota。 文章建立了酶法定性快筛和手性色谱-质谱联用(chiral LC-MS/MS)准确定量的两级分析方法,对 38 株大鼠肠菌产
了此抗体检测标准系统,完成了标准阳性血清中特异性抗Hp尿素酶抗体的定量工作。 1 材料和方法 1.1 材料 抗Hp抗体阳性及阴性血清各50份,经实验室酶联免疫吸附实验(ELISA)和免疫印迹分析(Western blots)证实。10736份其它血清采自北京和河南的四个人群现场。Hp尿素酶抗原(HpU)由本实验室分离纯化。酶标板采用美国Linbro/Titertek酶标板。IgG标准品购自百泰生物技术公司,为日本北里研究所产品,IgG含量为15.5g/L。参考血清由多份抗
检测站抽样样品另加4O×0.000001浓度的DM.A。 1.2 主要药品及仪器 硅胶G:青岛海洋化工有限公司制造(CP)。DM.A标准品:中国兽医药品监察所提供。0.25%茚三酮溶液:0.25 g茚三酮溶于100 ml95%乙醇中,避光保存。0.1%蒽酮溶液:0.1g蒽酮溶于100ml浓硫酸中,现配现用。邻苯二甲醛溶液:0.2 g邻苯二甲醛溶于4O ml pHl0乙醇中加2-巯基乙醇0.4 mlpHl0乙醇:5Oμl 45%NaOH水溶液加到195 ml95%乙醇中制得。
技术资料暂无技术资料 索取技术资料









