相关产品推荐更多 >
万千商家帮你免费找货
0 人在求购买到急需产品
- 详细信息
- 文献和实验
- 技术资料
- 保存条件:
室温
- 保质期:
长期
- 英文名:
Asarinin
- 库存:
514
- 供应商:
北京百奥莱博科技有限公司
- CAS号:
133-05-1
特别声明:本产品及我公司所售其他产品均为科研类试剂产品,严禁用于药物、医疗及其他非科研用途。
北京百奥莱博公司供应包括细辛脂素标准品报价在内的化学标准品,化学对照品,杂志对照品,HPLC标准品,UV标准品等高品质标准品、对照品
名称:细辛脂素标准品报价
规格:约20mg/支
品牌:百奥莱博
产地:国产|进口
编号:BP1435
英文名:Asarinin
本品为细辛脂素化学对照品,供鉴别及含量测定用,含量以100.0%计,使用前不需干燥处理。
CAS号:133-05-1
分子式:C20H18O6
分子量:354.4
结构式:

包装:棕色瓶
规格:约20mg/支
储存条件:常温保存
想要了解更多关于细辛脂素标准品报价的价格、品牌、厂家、说明书、促销信息,请和我们联系。此外我公司还销*(代"售")下面的产品:
·五味子乙素
编号:BP1062
英文名称:γ-Schisandrin
规格:约20mg/支
本品为五味子乙素化学对照品,供含量测定用,使用前不需干燥处理,含量以99.0%计。
CAS号:61281-37-6
分子式:C23H28O6
分子量:400.45
结构式:

包装:棕色瓶
规格:约20mg/支
储存条件:冷处(2~10℃)
·6-甲基香豆素
编号:BP2171
英文名称:6-Methylcoumarin
规格:100mg/支
本品为6-甲基香豆素化学对照品,供HPLC法和GC法检查用,按C10H8O2计,含量为 100%,使用前不需干燥处理。
CAS号:92-48-8
分子式:C10H8O2
分子量:160.17
包装及装量:棕色西林瓶装,每支约100毫克
储存条件:遮光,密封保存
·齐多夫定
编号:BP0517
英文名称:Zidovudine
规格:100mg
本品为齐多夫定化学对照品,供含量测定用。
CAS号:30516-87-1
分子式:C10H13N5O4
分子量:267.24
包装及装量:棕色小瓶装,每支约100毫克。
储存条件:遮光,密封保存。
注意事项:105℃干燥3小时后使用,避光操作。
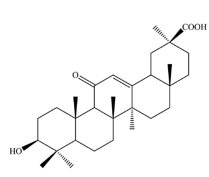
·甘草次酸
编号:BP1028
英文名称:Glycyrrhetinic acid
规格:20mg/支
本品为甘草次酸化学对照品,供鉴别及含量测定用,使用前不需干燥处理。含量以99.3%计。
CAS号:471-53-4
分子式:C30H46O4
分子量:470.64
结构式:

包装:棕色安瓿瓶
装量:约20mg/支
储存条件:冷处保存(2-10℃)
细辛脂素标准品报价关键词:细辛脂素,Asarinin,133-05-1
细辛脂素的不同等级:
除了优级纯、分析纯、化学纯、实验试剂外,目前市场上尚有:基准试剂(PT):专门作为基准物用,可直接配制标准溶液。光谱纯试剂(SP):表示光谱纯净。但由于有机物在光谱上显示不出,所以有时主成分达不到99.9%以上,使用时必须注意,特别是作基准物时,必须进行标定。纯度远高于优级纯的试剂叫做高纯试剂(≥ 99.99%)。
一般化学试剂的品级:一级试剂、二级试剂、三级试剂、四级试剂
国内标准名称:优级纯(保证试剂)、分析纯、化学纯 、实验试剂
国内标签颜色:绿色、红色、蓝色、中黄色
ARB12030 大鼠β细胞素(BTC)含量分析 Rat beta cellulin,btc ELISA KIT
DP336 土壤基因组DNA提取试剂盒
BTN131048 胆酸* Sodium Cholate
BTN131066 磷酸化蛋白富集试剂盒 Phosphate Protein Enrichment Kit
110-16-7 Maleicacid 马来酸
PY02-029 碱性蛋白胨水 250克
ARB10143 人P选择素(P-Selectin/CD62P/GMP140)elisa检测操作说明书 Human P-Selectin/cd62p/gmp140 ELISA KIT
苦参碱 Glyceryl tridecanoate 519-02-8
ARB11419 人载脂蛋白A1(Apo-A1)含量检测 Human apoprotein a1,apo-a1 ELISA KIT
ARB12974 小鼠多巴胺(DA)酶标法分析 Mouse dopamine,da ELISA KIT
八烷基三甲基*化铵 2′-dC 10108-86-8
ARB12567 大鼠胶原酶Ⅱ(CollAgenAse Ⅱ)检测服务 Rat collagenase type Ⅱ ELISA KIT
C1701 大鼠血清(无菌过滤) 100ml/200ml/500ml
草酸高铁铵 Ammonium bicarbonate 13268-42-3
ARB10337 人水通道蛋白4(AQP-4)ELISA检测服务 Human aquaporin 4,aqp-4 ELISA KIT
ARB12928 小鼠皮质酮(CS)elisa检测操作说明书 Mouse corticosterone,cs ELISA KIT
细辛脂素标准品报价关键词:细辛脂素,Asarinin,133-05-1
我公司严格遵守“质量优先、客户优先、技术优先、服务优先”“四项优先”原则;细辛脂素已被广泛应用于化学、化工、生命科学的基础研究和开发应用等诸多领域,并销往全国各地,公司客户遍布国内各大学、医院、研究所、卫生防疫、制药公司、生物公司等单位,得到广大客户的一致好评。我们的宗旨是“为客户提供最优质的产品和服务”。 百奥莱博以技术为核心并拥有完善的市场营销体系、现代化管理体系和专业化物流配送系统,最大程度满足国内外生命科研人员的产品需求。公司专门设立优质完善的客服中心及技术中心,第一时间为客户解决技术支持、产品跟踪以及售后等相关问题,旨在生命科学和医学科学研究领域创造具有国际竞争力的自主知识产权品牌产品。欢迎社会各界朋友前来洽谈业务,共创辉煌!
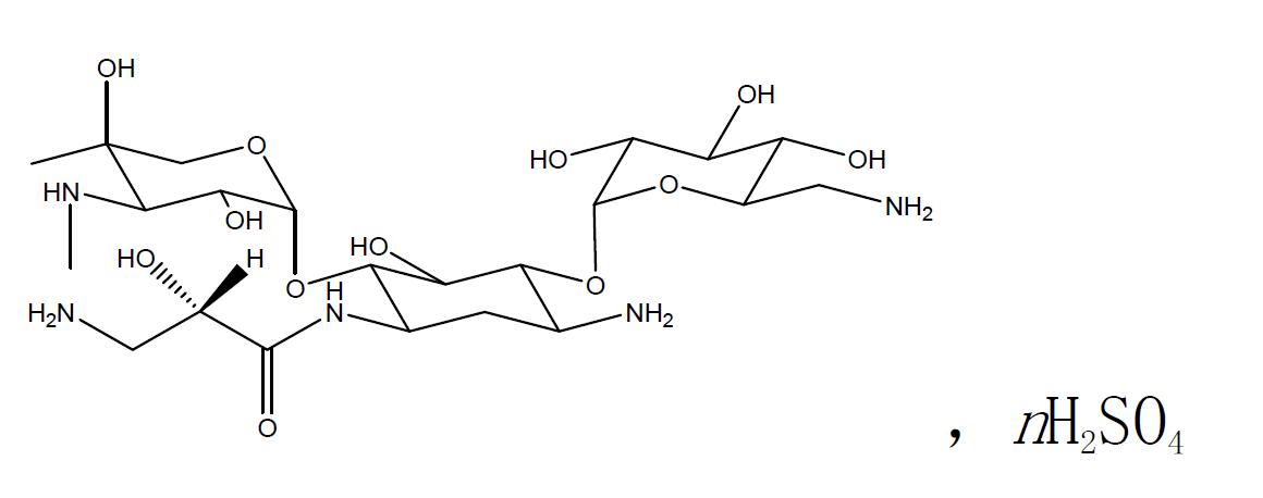
·异帕米星
编号:BP1714
英文名称:Isepamicin
规格:100mg/支
本品为异帕米星化学对照品,供高效液相含量测定用,含量以异帕米星(C22H43N5O12)计。
分子式:C22H43N5O12·nH2SO4(n≤2)
结构式:

包装:安瓿
装量:100mg/支
储存条件:置4℃以下条件低温保存。
·R-甲磺酸罗哌卡因
编号:BP0745
英文名称:R-Ropivacaine Mesylate
规格:20mg
本品为R-甲磺酸罗哌卡因化学对照品,供甲磺酸罗哌卡因国家标准中异构体杂质检查时,作定位用。
分子式:C17H26N2O·CH3SO3H
分子量:370.51
结构式:
装量:20mg/支
储存条件:避光,密闭保存
注意事项:本品使用前不需干燥
·雷公藤酯甲
编号:BP1233
英文名称:Wilforlide A
规格:20mg
本品为雷公藤酯甲化学对照品,供鉴别和含量测定用。
分子式:C30H46O3
分子量:454
包装及装量:棕色瓶。
储存条件:干燥密闭保存。
注意事项:置五氧化二磷减压干燥器中干燥12小时以上使用。
细辛脂素等试剂产品的使用注意事项:
(1)、所有试剂、溶液以及样品的包装上必须要有标签。标签要完整、清晰,表明试剂的名称、规格、质量。
(2)、溶液除了表明品名外,还应表明浓度、配置日期等。万一标签脱落,应照原样贴牢。决定不允许在容器内装入与标签不相符的物品。
(3)、无标签的试剂必须取小样检定后才可使用。不能使用的化学试剂要慎重处理,不能随意乱倒。为了保证试剂不受污染,应当用清洁的牛角勺或不锈钢小勺从试剂瓶中取出试剂,绝不可以用手抓取。若试剂结块,可用洁净的玻璃棒或瓷药铲将其捣碎后取出。
(4)液体试剂可用洗干净的量筒到取,不要用吸管伸入原试剂中吸取液体。从试剂瓶中取出的、没有用完的声誉药品,不可再倒回原瓶。
我公司生产供应销*(代"售")的标准品对照品正全品类优惠促销,十分期待您的咨询选购细辛脂素标准品报价。
风险提示:丁香通仅作为第三方平台,为商家信息发布提供平台空间。用户咨询产品时请注意保护个人信息及财产安全,合理判断,谨慎选购商品,商家和用户对交易行为负责。对于医疗器械类产品,请先查证核实企业经营资质和医疗器械产品注册证情况。
文献和实验力的检测方法 【求助】关于蛋白质运输与疾病的关系 【求助】请问一般谷胱甘肽胶的报价 【求助】Mes缓冲液和Hepes缓冲液怎么配制? 【求助】几个专业名词的翻译 【求助】国内有谁做多肽质谱鉴定的 【求助】免疫沉淀 与 免疫印迹(Western blot)应用条件区别是什么 【求助】为什么我的胶总是跑的歪歪扭扭 【求助】半乳糖酶活性测定 【求助】关于亲和层析 【求助】如何检测蛋白质中二硫键程度 【求助】那位有Kompact这个质谱分析软件的说明书,请发给我一份。谢谢! 【求助
【旧贴整理】PCR版2006-06-16至08-17的无人应助帖
】哪儿有卖含有polyT的柱子?作者:ADV====================【求助】请大家帮忙作者:heaven528====================【求助】多聚三核苷酸重复序列引物的合成作者:笨笨shang====================【求助】跟标准品目的?作者:wangyinghui0430====================【求助】RT-PCR失败原因作者:jlzjj====================【求助】逆转录成cDNA后,A260/A280值一般是多少作者
技术资料暂无技术资料 索取技术资料










