万千商家帮你免费找货
0 人在求购买到急需产品
- 详细信息
- 询价记录
- 文献和实验
- 技术资料
- 保存条件:
低温保存
- 库存:
大量
- 供应商:
上海晶抗生物工程有限公司
- CAS号:
16037-91-5
- 规格:
2.5g
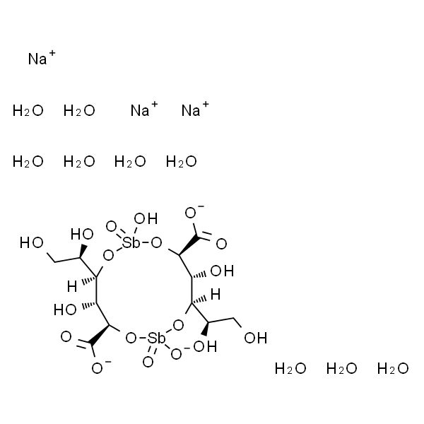
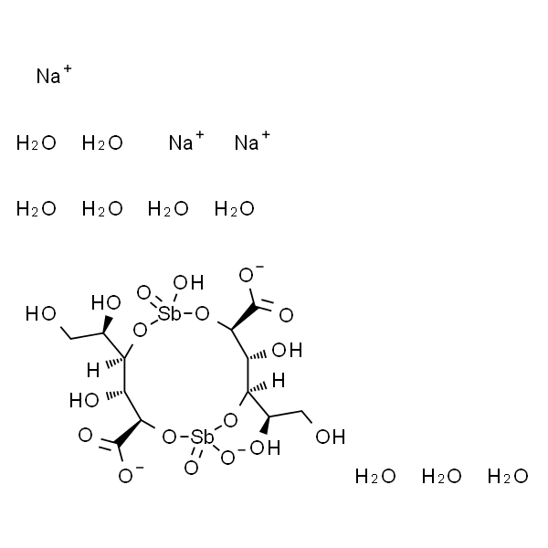
英文名称: Sodium Stibogluconate
英文别名: Sodium stibogluconate [INN:BAN:DCF]; Antimony (V) derivative of sodium gluconate; Antimony sodium gluconate; D-Gluconic acid, cyclic ester with antimonic acid (H8Sb2O9) (2:1), trisodium salt, nonahydrate; Estibogluconato sodico; Estibogluconato sodico [INN-Spanish]; Estibogluconato sodico [Spanish]; Myostibin; Natrii stibogluconas; Natrii stibogluconas [INN-Latin]; Pentostam; Sodium stibogluconate; Solustibosan; Solustin; Solusurmin; Solyusurmin; Stibanate; Stibanose; Stibatin; Stibinol; Stibogluconate de sodium; Stibogluconate de sodium [INN-French]; Stibogluconate sodique; Trinatrium bis(gluconato(3)-O2,O3,O4)hydroxooxido-oxy-bis-antimonat(V); UNII-V083S0159D; Antimony(V) derivative of sodium gluconate; D-Gluconic acid, 2,4:2',4'-O-(oxydistibylidyne)bis-, Sb,Sb'-dioxide, trisodium salt, nonahydrate; dioxodistiboxane - hexonic acid (1:2); trisodium; oxo-oxostibanyloxy-stibane; (2R,3S,4R,5R)-2,3,4,5,6-pentahydroxyhexanoate; nonahydrate; hexonic acid, antimony sodium salt (2:2:3), dodecahydrate
CAS号: 16037-91-5
分子式: C12H45Na3O26Sb2
分子量: 917.9594
InChI: InChI=1/2C6H12O7.3Na.12H2O.2Sb/c2*7-1-2(8)3(9)4(10)5(11)6(12)13;;;;;;;;;;;;;;;;;/h2*2-5,7-11H,1H2,(H,12,13);;;;12*1H2;;/q;;3*+1;;;;;;;;;;;;;;/p-3
葡萄糖酸锑钠,生物标准品(约2.5g)化学试剂的溶解,需进行搅拌或振荡或机械搅拌,亦可加热。
1. 液体的溶解:其中浓硫酸应引流入水中,边引边搅拌等。
2. 气体的溶解:应该因气体溶解度不同而水下溶或水面溶。
3. 固体物质的溶解:大块先在研钵中研碎,再转入容器中加溶剂进行搅拌使其溶解。
葡萄糖酸锑钠,生物标准品(约2.5g)为您讲解化学试剂防潮办法:
应该进行腊封,防止吸水分解或吸水爆炸,易吸水潮解,应该进行腊封,硫酸钠易吸水结状,倒不出来,以至导致试剂瓶破裂,也应严密腊封。无水硫酸铜、硅胶极易吸水变质,然后吸水生成偏磷酸,以上各物均应存放在干燥器中。浓硫酸虽应密闭,防止吸水,但因常用,故宜放磨口瓶中,磨口瓶塞应该原配,切勿对调。
“特殊药品”的地下室,下层布块灰,中层布熟石灰上层布双层柏油纸,方可存放药物。
风险提示:丁香通仅作为第三方平台,为商家信息发布提供平台空间。用户咨询产品时请注意保护个人信息及财产安全,合理判断,谨慎选购商品,商家和用户对交易行为负责。对于医疗器械类产品,请先查证核实企业经营资质和医疗器械产品注册证情况。
- 作者
- 内容
- 询问日期
文献和实验敲除这一基因,水稻、玉米可增产约 10%!中国团队最新研究登上 Science
导读 作为人类最主要的热量来源,包括玉米、水稻、小麦在内的谷物在大约 1 万年前被独立驯化。虽然不同的谷物经历了独立的驯化和改良,但它们的许多形态和生理特性存在许多共同之处,比如易于栽培,高产和营养丰富。这些共同特征背后,可能是由保守的基因驱动的。 作为最重要的两种作物,玉米和大米约在 5000 万年前在进化上分离。尽管两者基因组存在共性,但目前为止只有少数基因被发现在玉米和水稻的进化过程中发生了趋同选择,对玉米和水稻在全基因组范围内的分子层面趋同程度的了解也非常有限。因此,加强对玉米
全国约 24% 的小孩不幸中招了!它等人睡着后悄悄跑到肛周作怪!
后雌虫大多自然死亡,有少数可返回肠腔,也可误入阴道、子宫、尿道、腹腔等部位,引起异位损害。粘附在肛门周围的虫卵,约经 6 小时,卵内幼虫发育为感染期卵。虫卵雌虫在肛周的蠕动刺激,使肛门周围发痒,当患儿用手搔痒时,感染期卵污染手指,经肛门-手-口方式感染,形成自身感染;感染期虫卵也可散落在衣裤、被褥、玩具、食物上,经口或经空气吸入等方式形成自体外感染。吞食的虫卵在十二指肠内孵出幼虫,幼虫沿小肠下行,在结肠发育为成虫。图片来源:美国疾病控制与预防中心蛲虫感染的危害与防治蛲虫可引起造成肠粘膜损伤、蛲虫性
称0.5g淀粉于200ml烧杯中 量取100ml蒸馏水 5ml于200ml装有淀粉的烧杯中 使其成糊状 剩余的95ml蒸馏水放于电炉上加热至沸腾 然后把沸腾的蒸馏水倒入淀粉中继续加热煮沸2min 加热过程中要搅拌 (责任编辑:大汉昆仑王)
技术资料暂无技术资料 索取技术资料










