万千商家帮你免费找货
0 人在求购买到急需产品
- 详细信息
- 文献和实验
- 技术资料
- 保存条件:
低温保存
- 库存:
大量
- 供应商:
上海晶抗生物工程有限公司
- CAS号:
3778-73-2
- 规格:
100mg
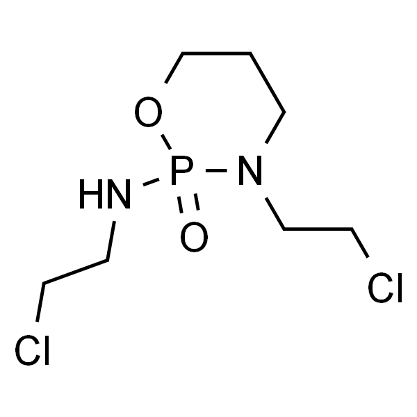
中文别名: 3-(2-氯乙基)-2-[(2-氯乙基)氨基]四氢-2H-1,3,2-噁磷-2-氧化物; 3-(2-氯乙基)-2-[(2-氯乙基)氨基]-1,3,2-氧氮磷杂环己烷-2-氧; 宜佛斯酰胺
英文名称: Ifosfamide
英文别名: 1,3,2-Oxazaphosphorine, 3-(2-chloroethyl)-2-[(2-chloroethyl)amino]tetrahydro-, 2-oxide; 2,3-N,N(sup 1)-Bis(2-chloroethyl)diamido-1,3,2-oxazaphosphoridinoxy-; 2H-1,3,2-Oxazaphosphorin-2-amine, N,3-bis(2-chloroethyl)tetrahydro-, 2-oxide; 3-(2-Chloroethyl)-2-[(2-chloroethyl)amino]perhydro-2H-1,3,2-oxazaphosphorineoxide; 3-(2-Chloroethyl)-2-[(2-chloroethyl)amino]tetrahydro-2H-1,3,2-oxazaphosphorine 2-oxide; A 4942; Asta Z 4942; Cyfos; Holoxan; Holoxan 1000; Ifex; Ifosfamid; Iphosphamid; Iphosphamid(e); Isoendoxan; Isofosfamide; Isophosphamide; Mitoxana; MJF 9325; N-(2-Chloroethyl)-N'-(2-chloroethyl)-N',O-propylenephosphoric acid diamide; N-(2-Chloroethyl)-N'-(2-chloroethyl)-N',O-propylene phosphoric acid ester diamide; Naxamide; Z4942; N,3-Bis(2-chloroethyl)tetrahydro-2H-1,3,2-oxazaphosphorin-2-amine 2-oxide
CAS号: 3778-73-2
EINECS号: 223-237-3
分子式: C7H15Cl2N2O2P
分子量: 261.09
InChI: InChI=1/C7H15Cl2N2O2P/c8-2-4-10-14(12)11(6-3-9)5-1-7-13-14/h1-7H2,(H,10,12)
异环磷酰胺,化学对照品(100mg)优势:
1、采用国际技术标准进行批量生产。
2、先进的优化方案。
3、技术服务:专业,及时,耐心。
4、现货供应,免费快递送货上门。
异环磷酰胺,化学对照品(100mg)即日起凡购买试剂_进口试剂_进口生物试剂可享受我司经销价,稳定性,梯度性,超越ACS标准,低水分,低蒸发残渣,被广泛应用于教学,科研以及分析测试中,是进行化学实验,材料分析和精细化学品合成必不可少的,当天下单,可当天发货!让利做实验,让做实验的您与您的小伙伴们有一个全新的开始。
风险提示:丁香通仅作为第三方平台,为商家信息发布提供平台空间。用户咨询产品时请注意保护个人信息及财产安全,合理判断,谨慎选购商品,商家和用户对交易行为负责。对于医疗器械类产品,请先查证核实企业经营资质和医疗器械产品注册证情况。
文献和实验RNA Purification Protocol for 100-200 mg of Animal Tissue
. Storage at -70°C. Fresh tissue can also be used. Work quickly and keep the sample on ice at all times. 2. Add 100-200 mg frozen ground tissue or fresh tissue to a 15 mL centrifuge tube containing 6 ml RCL Buffer. Homogenize the sample using 5-10
人S 蛋白100B (S-100B) 酶联免疫分析 试剂盒使用说明书 本试剂仅供研究使用 目的:本试剂盒用于测定人血清,血浆及相关液体样本中S 蛋白100B (S-100B) 的含量。 实验原理: 本试剂盒应用双抗体夹心法测定标本中人 S 蛋白 100B (S-100B) 水平。用纯化的人 S 蛋白 100B (S-100B) 抗体包被微孔板,制成固相抗体,往包被单抗的微孔中依次加入 S 蛋白 100
Zymolyase Dissolve in 10% glucose. Store aliquots (25 µl) at 20o C in common freezer for stock solutions Use once and dispose Comments: alternative is to dissolve in SCE, 40% gycerol, 20 mg/ml final. Can use
技术资料暂无技术资料 索取技术资料









