万千商家帮你免费找货
0 人在求购买到急需产品
- 详细信息
- 文献和实验
- 技术资料
- 保存条件:
低温保存
- 保质期:
2年
- 库存:
大量
- 供应商:
上海晶抗生物工程有限公司
- CAS号:
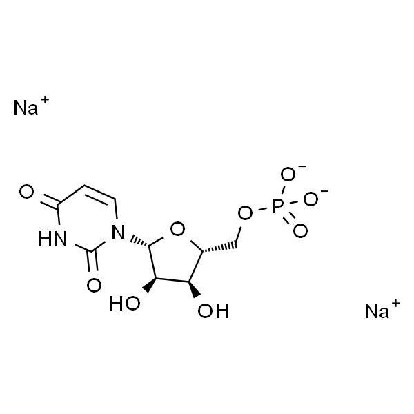
3387-36-8
- 规格:
20mg
5-尿苷一磷酸二钠盐,分析标准品,HPLC≥98%公司强力推荐,大力促销,这几年销售的重磅试剂产品,倾情奉献,希望能更的服务更多的科研工作者。
风险提示:丁香通仅作为第三方平台,为商家信息发布提供平台空间。用户咨询产品时请注意保护个人信息及财产安全,合理判断,谨慎选购商品,商家和用户对交易行为负责。对于医疗器械类产品,请先查证核实企业经营资质和医疗器械产品注册证情况。
文献和实验%。包装为小瓶冻干粉。 除特别注明外,多肽净重包装, 例如,1mg瓶的β-amyloid 1-40精确含1mg的多肽。多肽净重由氨基酸分析得到的肽含量计算。例如, 一个多肽样品毛重5mg,氨基酸含量85%, 多肽净重为5mg×0.85=4.25mg。请注意, 多肽含量不是多肽纯度,与抗离子象乙酸盐和溶剂,特别是水结合量合成多肽的本身特性。多肽纯度可能达100%, 但合成品中多肽含量由氨基酸组成,硫水性, 和多肽对溶剂和离子的暴露决定,特别是在纯化过程中, 无论多肽如何纯,冻干粉多肽含量一般为70-85
纯. 2 方法与结果 2.1 色谱条件 采用依利特SinoChrom ODS-BP(5μm,4.6mm×250.0mm)柱,柱温度为25℃,流 动相为75mmol/L磷酸盐缓冲液(用三乙胺调整pH值为4.5)-乙腈(72∶28),流动量为1.0mL/min,检测波长为270nm. 2.2 对照品溶液的制备 精密称取淫羊藿甙对照品9.8mg置于100mL容量瓶中,加入甲醇溶解并稀释至刻度,摇匀,作为对照品溶液,质量浓度为98mg/L.
以接近流动相的甲醇�10 mmol/L盐酸(3:1)溶液完全溶解残渣,再经正己烷脱脂后进样,结果取得较好效果[7]。 3.4 流动相采用甲醇∶水(75∶25,V/V),简单经济,毒性小;使用C 8柱,柱温控制在60 ℃,可实现样品峰与内标峰分离良好,有利于延长色谱柱的寿命,降低测定成本。本方法操作简便,测定结果准确,提取回收率>70%,检测限、线性及精密度等均符合临床血药浓度监测的要求。 3.5 我院临床药学室自2002年起在肝、肾移植术后患者中,用HPLC法监测CsA
技术资料暂无技术资料 索取技术资料




