相关产品推荐更多 >
万千商家帮你免费找货
0 人在求购买到急需产品
- 详细信息
- 技术资料
- 保存条件:
常温,避光
- 库存:
大量
- 供应商:
上海晶抗生物工程有限公司
- CAS号:
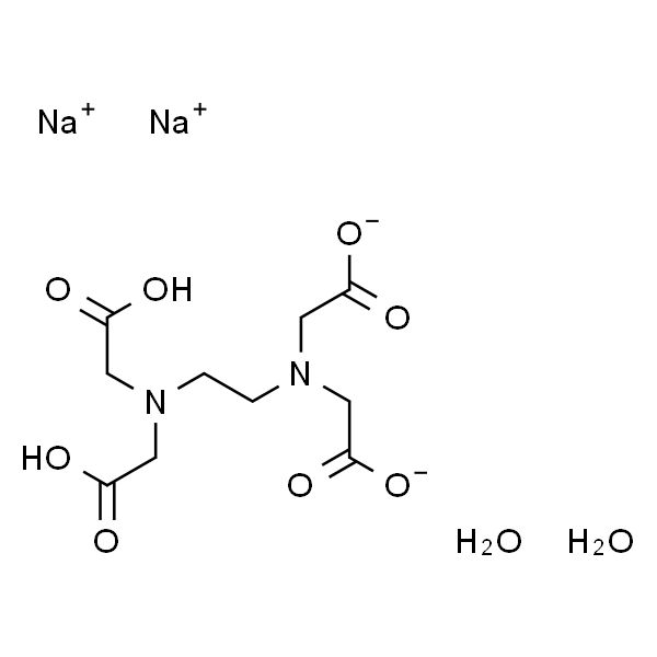
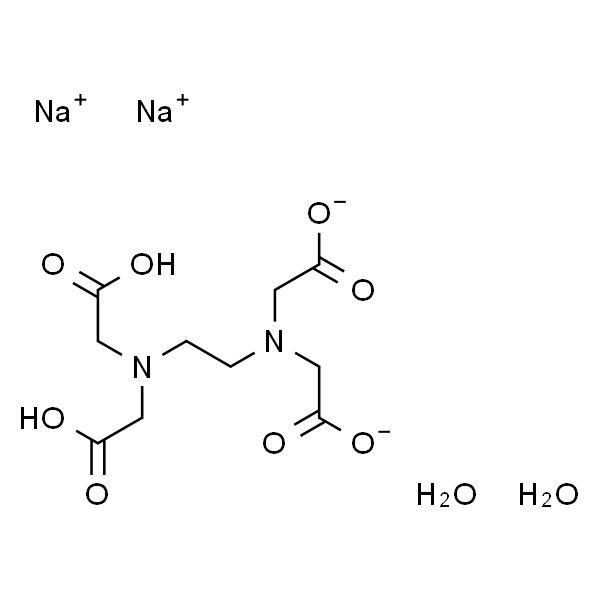
6381-92-6
- 规格:
500g
EDTA二钠(二水),ACS,99% 信奉客户至上,坚持诚信创新,合作共赢,将竭尽所能,我们坚信,经过不懈努力,将成为生命科学及化学领域专业、规模大的专业供应商,为顾客提供售前、售中、售后的全方位服务,被全国各大院校科研机构认可并指定为试剂长期供应商,欢迎来电咨询。
风险提示:丁香通仅作为第三方平台,为商家信息发布提供平台空间。用户咨询产品时请注意保护个人信息及财产安全,合理判断,谨慎选购商品,商家和用户对交易行为负责。对于医疗器械类产品,请先查证核实企业经营资质和医疗器械产品注册证情况。
技术资料暂无技术资料 索取技术资料
EDTA二钠(二水),ACS,99%
¥147









