相关产品推荐更多 >
万千商家帮你免费找货
0 人在求购买到急需产品
- 详细信息
- 技术资料
- 保存条件:
4℃冷藏、密封、避光
- 保质期:
详见说明书
- 英文名:
Taxifolin
- 库存:
22
- 供应商:
上海莼试
- CAS号:
480-18-2
- 规格:
20 mg/支
花旗松素 Taxifolin包装内附产品质量检测及鉴定报告,因为品质是企业的决战场,是基业长青的保证,我公司提供的一切产品仅供科研,实验室用,不得用于注射,食用或者其他用途。
产品中文名称: 花旗松素 Taxifolin
中文别名: 二氢槲皮素;紫杉叶素;黄杉素
英文名: Taxifolin
英文别名: Taxifoliol, Distylin
CAS登录号: 480-18-2
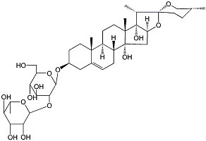
分子式: C15H12O7
分子量: 304.25
分子结构:
外观: 淡黄色粉末
规格: 20 mg/支
纯度: ≥ 98%
用途: 用于含量测定/鉴定/药理实验等。
提取来源: 松科植物花旗松
溶解性: 易溶于乙醇、乙酸、沸水,稍溶于冷水,几乎不溶于苯。
熔点: 208-210℃
药理药效: 抗癌:对小鼠白血病P388有活性,150和100mg/kg的生命延长率分别为40%和37%。抗菌:对金黄色葡萄球菌、大肠杆菌、痢疾杆菌和伤寒杆菌有较强的抑菌作用。
贮存条件: 4℃冷藏、密封、避光
有效期: 2年
花旗松素 Taxifolin一般在0℃~10℃之间冷藏保存(原则上最好保存在15℃以下的阴凉处),但相对于产品运输时,并不是所有产品的运输温度与储存温度一致,冷冻保存的温度在0℃以下。有些产品在运输时有暂时升温的可能性,个别产品特殊要求,我们将冷藏运输。
我们关注花旗松素 Taxifolin的每一个细节,因为产品与产品最大的差异在于细节。我们拥有严格的工艺流程和完善的质量标准控制,保证产品的质量可控性及批量的稳定性;完善的库存及供应体系,所有产品均能现货供应。质量承诺:产品若有质量问题,无条件退货换货。
人潜伏转化生长因子β结合蛋白2(LTBP2)免疫试剂盒 Human LTBP2 ELISA Kit
人潜伏膜蛋白1(LMP-1)免疫试剂盒 Human latent membrane protein-1,LMP-1 ELISA Kit
人前心钠肽(Pro-ANP)免疫试剂盒 Human Pro Atrial Natriuretic Peptide,Pro-ANP ELISA Kit
人前纤维蛋白1抗体免疫试剂盒 Human anti-Profilin 1 antibody ELISA Kit
人前纤维蛋白1免疫试剂盒 Human Profilin 1 ELISA Kit
人前铁调素(Pro-Hepc)免疫试剂盒 Human Pro-Hepcidin,Pro-Hepc ELISA Kit
人前列腺酸性磷酸酶(PAP)免疫试剂盒 Human Prostatic Acid Phosphatase,PAP ELISA Kit
人前列腺素H2(PGH2)免疫试剂盒 Human Prostaglandin H2,PGH2 ELISA Kit
人前列腺素F2α(PGF2α)免疫试剂盒 Human Prostaglandin F2α,PGF2α ELISA Kit
人前列腺素F(PGF)免疫试剂盒 human Prostaglandin F,PG-F ELISA Kit
人前列腺素E2(PGE2)免疫试剂盒 Human Prostaglandin E2,PGE2 ELISA Kit
人前列腺素E1(PGE1)免疫试剂盒 human Prostaglandin E1,PGE1 ELISA Kit
人前列腺素D合成酶(PGDS)免疫试剂盒 Human Prostaglandin D Synthase,PGDS ELISA Kit
人前列腺素D2(PGD2)免疫试剂盒 Human Prostaglandin D2,PGD2 ELISA kit
人前列腺素A1(PGA1)免疫试剂盒 Human Prostaglandin A1,PGA1 ELISA Kit
人前列环素(PGI2)免疫试剂盒 Human prostacycline,PGI2 ELISA Kit
人前颗粒蛋白(PGRN)免疫试剂盒 Human progranulin,PGRN ELISA Kit
人前胶原C内肽酶增强子1(PCOLCE1)免疫试剂盒 Human Procollagen C-Endopeptidase Enhancer 1,PCOLCE1 ELISA Kit
人前胶原C端肽酶(PCP)免疫试剂盒 Human procollagen C peptidase,PCP ELISA Kit
人免疫球蛋白A Fc段受体ⅠFcαRⅠ/CD89elisa试剂盒NF-L低分子量神经丝蛋白抗体
NF-M中分子量神经丝蛋白抗体
Necdin生长抑制蛋白NDN抗体
花旗松素 TaxifolinNGFB神经生长因子β抗体
C9orf127鼻咽癌细胞相关基因6抗体
Sodium / Hydrogen Exchanger 1钠氢通道蛋白抗体
SLC12A3钠氯离子转运蛋白抗体
NSE神经元特异性烯醇化酶/γ 烯醇化酶抗体
Neurotrophin 3神经营养因子-3前蛋白抗体
Nurr1核受体相关因子-1抗体
Nrf2核因子2相关因子2抗体
Neuropilin 1神经纤毛蛋白1抗体
Neurotrophin 4神经生长因子4/5抗体
Nidogen 2巢蛋白NID2抗体
NHEDC2线粒体钠/氢交换蛋白质2抗体
Neurogenin 1神经元素1抗体
Neuropeptide Y神经肽Y抗体
Neurturin神经营养因子抗体
产品中文名称: 花旗松素 Taxifolin
中文别名: 二氢槲皮素;紫杉叶素;黄杉素
英文名: Taxifolin
英文别名: Taxifoliol, Distylin
CAS登录号: 480-18-2
分子式: C15H12O7
分子量: 304.25
分子结构:
外观: 淡黄色粉末
规格: 20 mg/支
纯度: ≥ 98%
用途: 用于含量测定/鉴定/药理实验等。
提取来源: 松科植物花旗松
溶解性: 易溶于乙醇、乙酸、沸水,稍溶于冷水,几乎不溶于苯。
熔点: 208-210℃
药理药效: 抗癌:对小鼠白血病P388有活性,150和100mg/kg的生命延长率分别为40%和37%。抗菌:对金黄色葡萄球菌、大肠杆菌、痢疾杆菌和伤寒杆菌有较强的抑菌作用。
贮存条件: 4℃冷藏、密封、避光
有效期: 2年
花旗松素 Taxifolin一般在0℃~10℃之间冷藏保存(原则上最好保存在15℃以下的阴凉处),但相对于产品运输时,并不是所有产品的运输温度与储存温度一致,冷冻保存的温度在0℃以下。有些产品在运输时有暂时升温的可能性,个别产品特殊要求,我们将冷藏运输。
我们关注花旗松素 Taxifolin的每一个细节,因为产品与产品最大的差异在于细节。我们拥有严格的工艺流程和完善的质量标准控制,保证产品的质量可控性及批量的稳定性;完善的库存及供应体系,所有产品均能现货供应。质量承诺:产品若有质量问题,无条件退货换货。
人潜伏转化生长因子β结合蛋白2(LTBP2)免疫试剂盒 Human LTBP2 ELISA Kit
人潜伏膜蛋白1(LMP-1)免疫试剂盒 Human latent membrane protein-1,LMP-1 ELISA Kit
人前心钠肽(Pro-ANP)免疫试剂盒 Human Pro Atrial Natriuretic Peptide,Pro-ANP ELISA Kit
人前纤维蛋白1抗体免疫试剂盒 Human anti-Profilin 1 antibody ELISA Kit
人前纤维蛋白1免疫试剂盒 Human Profilin 1 ELISA Kit
人前铁调素(Pro-Hepc)免疫试剂盒 Human Pro-Hepcidin,Pro-Hepc ELISA Kit
人前列腺酸性磷酸酶(PAP)免疫试剂盒 Human Prostatic Acid Phosphatase,PAP ELISA Kit
人前列腺素H2(PGH2)免疫试剂盒 Human Prostaglandin H2,PGH2 ELISA Kit
人前列腺素F2α(PGF2α)免疫试剂盒 Human Prostaglandin F2α,PGF2α ELISA Kit
人前列腺素F(PGF)免疫试剂盒 human Prostaglandin F,PG-F ELISA Kit
人前列腺素E2(PGE2)免疫试剂盒 Human Prostaglandin E2,PGE2 ELISA Kit
人前列腺素E1(PGE1)免疫试剂盒 human Prostaglandin E1,PGE1 ELISA Kit
人前列腺素D合成酶(PGDS)免疫试剂盒 Human Prostaglandin D Synthase,PGDS ELISA Kit
人前列腺素D2(PGD2)免疫试剂盒 Human Prostaglandin D2,PGD2 ELISA kit
人前列腺素A1(PGA1)免疫试剂盒 Human Prostaglandin A1,PGA1 ELISA Kit
人前列环素(PGI2)免疫试剂盒 Human prostacycline,PGI2 ELISA Kit
人前颗粒蛋白(PGRN)免疫试剂盒 Human progranulin,PGRN ELISA Kit
人前胶原C内肽酶增强子1(PCOLCE1)免疫试剂盒 Human Procollagen C-Endopeptidase Enhancer 1,PCOLCE1 ELISA Kit
人前胶原C端肽酶(PCP)免疫试剂盒 Human procollagen C peptidase,PCP ELISA Kit
人免疫球蛋白A Fc段受体ⅠFcαRⅠ/CD89elisa试剂盒NF-L低分子量神经丝蛋白抗体
NF-M中分子量神经丝蛋白抗体
Necdin生长抑制蛋白NDN抗体
花旗松素 TaxifolinNGFB神经生长因子β抗体
C9orf127鼻咽癌细胞相关基因6抗体
Sodium / Hydrogen Exchanger 1钠氢通道蛋白抗体
SLC12A3钠氯离子转运蛋白抗体
NSE神经元特异性烯醇化酶/γ 烯醇化酶抗体
Neurotrophin 3神经营养因子-3前蛋白抗体
Nurr1核受体相关因子-1抗体
Nrf2核因子2相关因子2抗体
Neuropilin 1神经纤毛蛋白1抗体
Neurotrophin 4神经生长因子4/5抗体
Nidogen 2巢蛋白NID2抗体
NHEDC2线粒体钠/氢交换蛋白质2抗体
Neurogenin 1神经元素1抗体
Neuropeptide Y神经肽Y抗体
Neurturin神经营养因子抗体
风险提示:丁香通仅作为第三方平台,为商家信息发布提供平台空间。用户咨询产品时请注意保护个人信息及财产安全,合理判断,谨慎选购商品,商家和用户对交易行为负责。对于医疗器械类产品,请先查证核实企业经营资质和医疗器械产品注册证情况。
技术资料暂无技术资料 索取技术资料
花旗松素 Taxifolin
询价









