相关产品推荐更多 >
万千商家帮你免费找货
0 人在求购买到急需产品
- 详细信息
- 技术资料
- 保存条件:
4℃冷藏、密封、避光
- 保质期:
详见说明书
- 英文名:
Bufalin
- 库存:
35
- 供应商:
上海莼试
- CAS号:
465-21-4
- 规格:
20mg/支
蟾毒灵 Bufalin包装内附产品质量检测及鉴定报告,因为品质是企业的决战场,是基业长青的保证,我公司提供的一切产品仅供科研,实验室用,不得用于注射,食用或者其他用途。
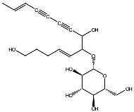
产品中文名称: 蟾毒灵 Bufalin
英文名: Bufalin
CAS登录号: 465-21-4
分子式: C24H34O4
分子量: 386.52
分子结构:
外观: 针状晶体
规格: 20mg/支
纯度: ≥ 98%
用途: 用于含量测定/鉴定/药理实验等
提取来源: 蟾蜍科动物如中华大蟾蜍Bufo bufo gargarizans Cantor 或黑眶蟾蜍 Bufo melanostictus Schneider 的干燥分泌物。
熔点: 242~243℃
旋光度: -20°
药理药效: 具有明确的抑制血管内皮细胞增殖、抗血管生成的作用。
贮存条件: 4℃冷藏、密封、避光
有效期: 2年
我们关注蟾毒灵 Bufalin的每一个细节,因为产品与产品最大的差异在于细节。我们拥有严格的工艺流程和完善的质量标准控制,保证产品的质量可控性及批量的稳定性;完善的库存及供应体系,所有产品均能现货供应。质量承诺:产品若有质量问题,无条件退货换货。
4-氟-3-硝基苯甲酸乙酯367-80-6
6-硝基四氯苯酞610-93-5
他克莫司109581-93-3
2-苯甲酰基吡啶1991/2/1
1,3-二乙酰基苯6781-42-6
(R)-(+)-9-(2-羟丙基)腺嘌呤14047-28-0
3,3,3-三氟-2,2-二甲基丙酸,97%889940-13-0
2-氨基-4,6-二甲氧基嘧啶36315-01-2
重水7789-20-0
3-氯-4-碘吡啶77332-79-7
3-羟基吡嗪-2-酰胺,98%55321-99-8
1,10-癸二醇112-47-0
3,4-二甲氧基苯乙醇7417-21-2
吡咯烷-1,2-二羧基 酸 1-叔-丁基 酯59433-50-0
(1S,2R)-2-氨基-1,2-二苯基乙醇23364-44-5
2-丁氧基苯硼酸91129-69-0
芦荟甙1415-73-2
苏尼替尼557795-19-4
蟾毒灵 Bufalin一般在0℃~10℃之间冷藏保存(原则上最好保存在15℃以下的阴凉处),但相对于产品运输时,并不是所有产品的运输温度与储存温度一致,冷冻保存的温度在0℃以下。有些产品在运输时有暂时升温的可能性,个别产品特殊要求,我们将冷藏运输。
Phospho-Jak3 (Tyr785)磷酸化蛋白酪氨酸激酶JAK-3抗体
Phospho-Jak3 (Tyr980 + Tyr981)磷酸化蛋白酪氨酸激酶JAK-3抗体
phospho-c-Jun(Thr93)磷酸化原癌基因c-Jun抗体
JAK2蛋白质酪氨酸激酶JAK2抗体
JWAJWA蛋白抗体
Junctophilin 3连接蛋白JPH3抗体
JAMC连接粘附分子C抗体
JAK1蛋白质酪氨酸激酶JAK-1抗体
JMJD2A组蛋白去甲基化酶JMJ2A抗体
JMJD5组蛋白去甲基化酶JMJD5抗体
phospho-JUP(Tyr550)磷酸化γ连环蛋白抗体
JLPJNK相互作用蛋白4抗体
JNK1+JNK2氨基末端激酶1/2抗体
JNK1+JNK2+JNK3氨基末端激酶1/2/3抗体
JNK1 + JNK3氨基末端激酶1/3抗体
Junctophilin 4连接蛋白JPH4抗体
JMJD7组蛋白去甲基转移酶JMJD7抗体
phospho-c-Jun(Tyr170)磷酸化原癌基因c-Jun抗体
产品中文名称: 蟾毒灵 Bufalin
英文名: Bufalin
CAS登录号: 465-21-4
分子式: C24H34O4
分子量: 386.52
分子结构:
外观: 针状晶体
规格: 20mg/支
纯度: ≥ 98%
用途: 用于含量测定/鉴定/药理实验等
提取来源: 蟾蜍科动物如中华大蟾蜍Bufo bufo gargarizans Cantor 或黑眶蟾蜍 Bufo melanostictus Schneider 的干燥分泌物。
熔点: 242~243℃
旋光度: -20°
药理药效: 具有明确的抑制血管内皮细胞增殖、抗血管生成的作用。
贮存条件: 4℃冷藏、密封、避光
有效期: 2年
我们关注蟾毒灵 Bufalin的每一个细节,因为产品与产品最大的差异在于细节。我们拥有严格的工艺流程和完善的质量标准控制,保证产品的质量可控性及批量的稳定性;完善的库存及供应体系,所有产品均能现货供应。质量承诺:产品若有质量问题,无条件退货换货。
4-氟-3-硝基苯甲酸乙酯367-80-6
6-硝基四氯苯酞610-93-5
他克莫司109581-93-3
2-苯甲酰基吡啶1991/2/1
1,3-二乙酰基苯6781-42-6
(R)-(+)-9-(2-羟丙基)腺嘌呤14047-28-0
3,3,3-三氟-2,2-二甲基丙酸,97%889940-13-0
2-氨基-4,6-二甲氧基嘧啶36315-01-2
重水7789-20-0
3-氯-4-碘吡啶77332-79-7
3-羟基吡嗪-2-酰胺,98%55321-99-8
1,10-癸二醇112-47-0
3,4-二甲氧基苯乙醇7417-21-2
吡咯烷-1,2-二羧基 酸 1-叔-丁基 酯59433-50-0
(1S,2R)-2-氨基-1,2-二苯基乙醇23364-44-5
2-丁氧基苯硼酸91129-69-0
芦荟甙1415-73-2
苏尼替尼557795-19-4
蟾毒灵 Bufalin一般在0℃~10℃之间冷藏保存(原则上最好保存在15℃以下的阴凉处),但相对于产品运输时,并不是所有产品的运输温度与储存温度一致,冷冻保存的温度在0℃以下。有些产品在运输时有暂时升温的可能性,个别产品特殊要求,我们将冷藏运输。
Phospho-Jak3 (Tyr785)磷酸化蛋白酪氨酸激酶JAK-3抗体
Phospho-Jak3 (Tyr980 + Tyr981)磷酸化蛋白酪氨酸激酶JAK-3抗体
phospho-c-Jun(Thr93)磷酸化原癌基因c-Jun抗体
JAK2蛋白质酪氨酸激酶JAK2抗体
JWAJWA蛋白抗体
Junctophilin 3连接蛋白JPH3抗体
JAMC连接粘附分子C抗体
JAK1蛋白质酪氨酸激酶JAK-1抗体
JMJD2A组蛋白去甲基化酶JMJ2A抗体
JMJD5组蛋白去甲基化酶JMJD5抗体
phospho-JUP(Tyr550)磷酸化γ连环蛋白抗体
JLPJNK相互作用蛋白4抗体
JNK1+JNK2氨基末端激酶1/2抗体
JNK1+JNK2+JNK3氨基末端激酶1/2/3抗体
JNK1 + JNK3氨基末端激酶1/3抗体
Junctophilin 4连接蛋白JPH4抗体
JMJD7组蛋白去甲基转移酶JMJD7抗体
phospho-c-Jun(Tyr170)磷酸化原癌基因c-Jun抗体
风险提示:丁香通仅作为第三方平台,为商家信息发布提供平台空间。用户咨询产品时请注意保护个人信息及财产安全,合理判断,谨慎选购商品,商家和用户对交易行为负责。对于医疗器械类产品,请先查证核实企业经营资质和医疗器械产品注册证情况。
技术资料暂无技术资料 索取技术资料
蟾毒灵 Bufalin
询价









