相关产品推荐更多 >
万千商家帮你免费找货
0 人在求购买到急需产品
- 详细信息
- 文献和实验
- 技术资料
- 保存条件:
4℃冷藏、密封、避光
- 保质期:
详见说明书
- 英文名:
Tuberstemonine
- 库存:
32
- 供应商:
上海莼试
- CAS号:
6879-01-2
- 规格:
20mg/支
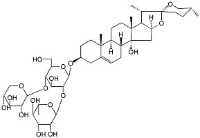
产品中文名称: 对叶百部碱 Tuberstemonine
英文名: Tuberstemonine
CAS登录号: 6879-01-2
分子式: C22H33NO4
分子量: 375.24
分子结构:
外观: 无色针状结晶
规格: 20mg/支
纯度: ≥ 98%
用途: 用于含量测定/鉴定/药理实验等。
提取来源: 百部科植物对叶百部Stemona tuberosa L.的块根
熔点: 86-88℃
药理药效: 润肺下气止咳,杀虫。用于新久咳嗽、肺劳咳嗽、百日咳;外用于头虱、体虱、蜕虫病、阴痒症。
贮存条件: 4℃冷藏、密封、避光
有效期: 2年
对叶百部碱 Tuberstemonine一般在0℃~10℃之间冷藏保存(原则上最好保存在15℃以下的阴凉处),但相对于产品运输时,并不是所有产品的运输温度与储存温度一致,冷冻保存的温度在0℃以下。有些产品在运输时有暂时升温的可能性,个别产品特殊要求,我们将冷藏运输。
我们关注对叶百部碱 Tuberstemonine的每一个细节,因为产品与产品最大的差异在于细节。我们拥有严格的工艺流程和完善的质量标准控制,保证产品的质量可控性及批量的稳定性;完善的库存及供应体系,所有产品均能现货供应。质量承诺:产品若有质量问题,无条件退货换货。
6-氯-2-甲酰胺基吡啶70593-61-2
5-氯靛红酸酐4743-17-3
5-氯喹啉635-27-8
5-氯异喹啉5430-45-5
5-羟基-1,2,3,4-四氢异喹啉102877-50-9
5-羟基异喹啉196962
2-氟-5-硝基吡啶456-24-6
8-氯-5-硝基喹啉22539-55-5
5-溴-1,2,3,4-四氢异喹啉盐酸盐81237-69-6
5-溴-1,2,3,4-四氢异喹啉盐酸盐81237-69-6
5-溴-8-甲氧基-2-甲基喹啉103862-55-1
5-溴-8-氯喹啉927800-41-7
6,7-二甲氧基-1,2,3,4-四氢异喹啉1745-05-9
6,7-二甲氧基-3,4-二氢异喹啉3382-18-1
6-氨基-1,2,3,4-四氢异喹啉72299-67-3
6-氨基喹啉580-15-4
5,6-二氯-2-吡啶甲酸88912-24-7
5-氨基-1,2,3,4-四氢异喹啉115955-90-3
HAX1造血干细胞特异性相关结合蛋白1抗体
H-2DdI类组织相容性H-2抗原D-Dalpha链抗体
HEATR5AHEAT重复内含蛋白5A蛋白抗体
HSP70热休克蛋白70抗体
HSD17B8羟类固醇脱氢酶17β抗体(17β-HSD8)
HABP4透明质酸结合蛋白4抗体
H5N1 HemagglutininA型流感病毒H5N1凝集素抗体
H1N1++H3N2 nucleocapsid proteinA型流感病毒核衣壳蛋白抗体
H1N1+H5N1+H3N2 nucleocapsid proteinA型流感病毒核衣壳蛋白抗体
H1N1+H5N1+H3N2 nucleocapsid proteinA型流感病毒核衣壳蛋白抗体
Haemophilus influenza BB型流感病毒蛋白抗体
HPV16-E7人类乳头状瘤病毒16-E7抗体
Hepsin跨膜蛋白酶丝氨酸1抗体
HLC3肺癌癌基因蛋白3抗体
High density lipoprotein高密度脂蛋白抗体
HEF1蛋白激酶底物相关蛋白抗体
对叶百部碱 TuberstemonineHIV1 p55+p24+p17艾滋病病毒抗体
H3N2 hemagglutinin流感病毒H3N2血凝素抗体
HPV16 L2人乳头瘤病毒16型L2抗体
H7N9 Matrix Protein 1A型禽流感病毒H7N9 M1蛋白抗体
风险提示:丁香通仅作为第三方平台,为商家信息发布提供平台空间。用户咨询产品时请注意保护个人信息及财产安全,合理判断,谨慎选购商品,商家和用户对交易行为负责。对于医疗器械类产品,请先查证核实企业经营资质和医疗器械产品注册证情况。
文献和实验叶 leaf 为维管植物孢子体所形成的主要器官之一。一般是指茎上侧生的扁平结构,可通过发达的同化组织进行光合作用,进行活跃的物质转化、水分蒸腾等的器官,但是叶的形态、机能和起源极为多样,长期以来关于什么称为叶的争论一直没有间断过,与茎的关系也不是简单的。虽然从歌德( J. W. von Go-ethe)以后,许多形态学家试图以抽象的概念对叶下定义(原叶,叶性学说、茎周体学说等),但在 J, Sachs( 1880)以后,转为以对叶的发生过程、生理方面的机制、物质代谢的类型
是绦虫类的一种附着器官,常有 4个,直接或通过柄部长于头部。吸叶呈耳状、长卵形、或叶状的构造,边缘为复杂的皱襞状,有的整个呈卷心菜样。具有显著的运动能力。
异形叶的一种。产生于枝条形成的末期(即从茎梢产生)与普通叶形状不同的叶。与低出叶相反。 如酸模( Rurnex aceto- sa)、日本藜芦( Vera- trum japonioum)那样其叶片的发育在茎梢受到抑制,因此产生的高出叶很简单,一般生长于花附近的叶或花叶,多少都显有异叶性,所以高出叶是非常普遍的现象。
技术资料暂无技术资料 索取技术资料









