相关产品推荐更多 >
万千商家帮你免费找货
0 人在求购买到急需产品
- 详细信息
- 技术资料
- 保存条件:
RT
- 英文名:
Ammoniumpentaborate
- 库存:
55
- 供应商:
莼试
- CAS号:
12007-89-5
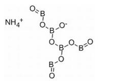
中文名称:五硼酸铵
英文名:Ammoniumpentaborate
别名:七缩五硼酸铵
CAS号:12007-89-5
分子式:NH4B5O8
介绍:
无色斜方晶系双椎晶类结晶。
储存条件:RT
溶解性:可溶于水,不溶于醇。
用途:用于防火木材、防火纺织品、电讯器材及高级玻璃的
英文名:Ammoniumpentaborate
别名:七缩五硼酸铵
CAS号:12007-89-5
分子式:NH4B5O8
介绍:
无色斜方晶系双椎晶类结晶。
储存条件:RT
溶解性:可溶于水,不溶于醇。
用途:用于防火木材、防火纺织品、电讯器材及高级玻璃的
风险提示:丁香通仅作为第三方平台,为商家信息发布提供平台空间。用户咨询产品时请注意保护个人信息及财产安全,合理判断,谨慎选购商品,商家和用户对交易行为负责。对于医疗器械类产品,请先查证核实企业经营资质和医疗器械产品注册证情况。
技术资料暂无技术资料 索取技术资料
五硼酸铵
询价









