相关产品推荐更多 >
万千商家帮你免费找货
0 人在求购买到急需产品
- 详细信息
- 文献和实验
- 技术资料
- 保存条件:
4℃避光低温密封
- 保质期:
2年
- 英文名:
Liriopesides B
- 库存:
大量
- 供应商:
上海纯优生物
- CAS号:
P0987
- 规格:
10mg/20mg
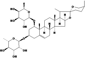
山麦冬皂苷B Liriopesides B 中药对照品,标准品 上海纯优生物科技有限公司现货价格优惠供应,纯度≥98%(HPLC),用于含量测定及医药研究。咨询订购可致电公司。
外观:White crystal
保存条件:低温,密封,干燥保存
分子式:C39H62O12
纯度:≥98%(HPLC)
来源:百合科植物山麦冬[Liriope spicata(Thunb.)Lout.Var.Prolifera Y.T.Ma]的干燥块根
分子量:722.40
中文名: 山麦冬皂苷B
产品编号:P0987
英文名:Liriopesides B
规格:最小标准规格10mg-20mg/支,根据需要另有其他规格
详情也可登录官网查询。
山麦冬皂苷B :
上海纯优生物致力于打造一个专业的中药标准化研究服务平台,为广大客户在天然产物有效成分中草药研究及医药研发生产提供多方面的产品和技术支持。
我们专业的对照品研发及检测中心,严格的质量控制,保证标准样品的质量可控性及批量生产的稳定性,1300多种现货中药对照品标准品,出厂产品均通过全面的检测(1HNMR13CNMRMS HPLC),并随货附赠HPLC检测报告,部分可提供C、H谱图。
也可登陆公司网站直接搜索您需要的产品及了解产品的详细情况。
相关产品:
| P0987 | 山麦冬皂苷B | Liriopesides B | HPLC≥98% | |
| P0042 | 高三尖杉酯碱 | Homoharringtonine | 26833-87-4 | HPLC≥98% |
| P0866 | 木糖;五碳醛糖 | D-(+)-Xylose | 58-86-6 | HPLC≥98% |
| P0815 | 甘松新酮 | Nardosinone | 23720-80-1 | HPLC≥98% |
| P0194 | 文多灵 | Vindoline | 2182-14-1 | HPLC≥98% |
| P0946 | 硫酸黄连碱 | Coptisine Sulfate | 1198398-71-8 | HPLC≥98% |
| P0809 | 宝藿苷I | Baohuoside I | 113558-15-9 | HPLC≥98% |
| P0012 | 异鼠李素 | Isorhamnetin | 480-19-3 | HPLC≥98% |
| P0264 | 异佛手柑内酯 | Isobergapten | 482-48-4 | HPLC≥98% |
| P0430 | 异鼠李素-3-O-新橙皮糖苷 | Isorhamnetin-3-O-neo | 55033-90-4 | HPLC≥98% |
| P0696 | 原苏木素B | Protosappanin B | 102036-29-3 | HPLC≥98% |
| P0240 | 异阿魏酸 | Isoferulic acid | 537-73-5 | HPLC≥98% |
| P0910 | 胆酸 | Cholic acid | 81-25-4 | HPLC≥98% |
| P0887 | 白当归脑 | Byakangelicol | 26091-79-2 | HPLC≥98% |
| P0083 | 多烯紫杉醇 | Docetaxel | 114977-28-5 | HPLC≥98% |
| P0762 | 短叶苏木酚酸 | Brevifolin-carboxyli | 18490-95-4 | HPLC≥98% |
| P0753 | 圣草酚 | Eriodictyol | 552-58-9 | HPLC≥98% |
| P0449 | 表没食子儿茶素(EGC) | Epigallocatechin | 970-74-1 | HPLC≥98% |
| P0571 | **苷 | KAEMPFEROL-3,7-DIRHA | 482-38-2 | HPLC≥98% |
| P0106 | 氯化两面针碱 | Nitidine Chloride | 6872-57-7 | HPLC≥98% |
| P0044 | Androstenedione | HPLC≥98% |
风险提示:丁香通仅作为第三方平台,为商家信息发布提供平台空间。用户咨询产品时请注意保护个人信息及财产安全,合理判断,谨慎选购商品,商家和用户对交易行为负责。对于医疗器械类产品,请先查证核实企业经营资质和医疗器械产品注册证情况。
文献和实验[1]Liriopesides B from Liriope spicata var. prolifera inhibits metastasis and induces apoptosis in A2780 human ovarian cancer cells.Yu H, Wang H, Yin Y, Wang Z.Mol Med Rep. 2020 Sep;22(3):1747-1758. doi: 10.3892/mmr.2020.11256. Epub 2020 Jun 18.
通过与FDC的相互作用激活的B细胞进入淋巴滤泡:经历了抗原识别和T细胞相互作用而被激活的B细胞,除了分化为产生IgM的浆细胞而外,大部分会返回到淋巴滤泡。淋巴滤泡中以网络形式分布着一群FDC,这是与T细胞区广泛分布的并指状树突状细胞(mter山g~tatlngl3(2)在起源与功能上全然不同的细胞成分。后者不属于白细胞,也非来自骨髓前体细胞,既无吞噬功能,也不表达MHCⅡ类分子,这是一种特化的细胞类型,功能是以抗原-抗体-补体复合物的形式捕获和留存抗原,供淋巴
B cell|B细胞 B cell antigen receptor|B细胞抗原受体 B cell differentiation factor|B细胞分化因子 B cell growth factor|B细胞生长因子 B cell proliferation|B细胞增殖 B cell receptor|B细胞受体 B cell transformation|B细胞转化
实验动物血中维生素B1、B2、B6、B12及烟酸、泛酸、叶酸含量
- S 1.67±0.57 ♂0.99±0.34 ♀1.21±0.29 S P 0.094~0.299 0.097~0.025 B ♂191±33 ♀204±44 B P 0.19±0.15 〈0.05 B P 2.5±0.44 2.0±0.19 B 0.5±0.04 山羊 -
技术资料暂无技术资料 索取技术资料











