相关产品推荐更多 >
万千商家帮你免费找货
0 人在求购买到急需产品
- 详细信息
- 询价记录
- 技术资料
- 保存条件:
-20°C
- 英文名:
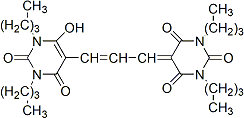
DIBAC4(3) (BIS-(1,3-DIBARBITURIC ACID)-T 61011
- 库存:
99
- 供应商:
Biotium
- CAS号:
70363-83-6
DiBAC4(3) (Bis-(1,3-Dibarbituric acid)-trimethine oxanol) is a so-called translational membrane potential dye that redistributes within the cell membrane when membrane potential changes (1,2). The fluorescence of the dye is enhanced when the dye enters the cell membrane as a result of membrane depolarization. The rate of fluorescence response of the dye to membrane potential change is usually slower than that of the styryl dye di-4-ANEPPS, but the fluorescence signal change for the former is significantly larger than for the latter dye. DiBAC4(3) has applications in high-throughput drug screening.
- λEx/λEm (MeOH) = 493/516 nm
- Orange solid soluble in DMSO or DMF
- Store at -20°C and protect from light
- C27H40N4O6
- MW: 519
- [70363-83-6]
风险提示:丁香通仅作为第三方平台,为商家信息发布提供平台空间。用户咨询产品时请注意保护个人信息及财产安全,合理判断,谨慎选购商品,商家和用户对交易行为负责。对于医疗器械类产品,请先查证核实企业经营资质和医疗器械产品注册证情况。
- 作者
- 内容
- 询问日期











