相关产品推荐更多 >
万千商家帮你免费找货
0 人在求购买到急需产品
- 详细信息
- 技术资料
- 英文名:
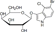
X-Gal (5-bromo-4-chloro-3-indolyl-b-galactopyranoside)
- 库存:
99
- 供应商:
Biotium
- 保存条件:
-20°C
X-Gal是广泛使用的b-半乳糖苷酶显色底物,底物水解后产生深蓝色沉淀。
X-gal (5-Bromo-4-chloro-3-indolyl-β-galactopyranoside) is the most widely used chromogenic substrate for β-galactosidase. Enzyme hydrolysis of the substrate yields a dark blue colored precipitate (maximum absorbance 615 nm).
- White solid soluble in DMSO
- Store desiccated at -20°C and protect from light
- C14H15BrClNO6
- MW: 408.6
- [7240-90-6]
风险提示:丁香通仅作为第三方平台,为商家信息发布提供平台空间。用户咨询产品时请注意保护个人信息及财产安全,合理判断,谨慎选购商品,商家和用户对交易行为负责。对于医疗器械类产品,请先查证核实企业经营资质和医疗器械产品注册证情况。
X-Gal Biotium 10011-2
询价












