相关产品推荐更多 >
万千商家帮你免费找货
0 人在求购买到急需产品
- 详细信息
- 文献和实验
- 技术资料
- 保存条件:
-20°C
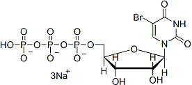
- 英文名:
5-BROMOURIDINE-5#-TRIPHOSPHATE, 10 MM IN 40026
- 库存:
99
- 供应商:
Biotium
- CAS号:
161848-60-8
风险提示:丁香通仅作为第三方平台,为商家信息发布提供平台空间。用户咨询产品时请注意保护个人信息及财产安全,合理判断,谨慎选购商品,商家和用户对交易行为负责。对于医疗器械类产品,请先查证核实企业经营资质和医疗器械产品注册证情况。
文献和实验µl (50µl) of lambda phage DNA/HindIII fragments (10µg/ml).7.Non-radioactive Labeling Mix (minus DIG-dUTP):50µl (150µl) of 1mM dGTP, 1mM dATP, 1mM dCTP, 0.65mM dTTP aqueous solution.8.Deionized Water: 1.5ml of water deionized on a Milli-Q®
μL 1x dNTPs 1.25mM 10μL 0.25mM MgCl2 25mM 5μL 2.5mM DMSO
disodium salt of EDTA is used, adjust the weight accordingly. The pH can be adjusted with acetic acid or NaOH. For corresponding concentration dilutions, multiply the weight in grams by the desired molarity. For exam ple, for 10 mM EDTA, multiply 292.24 X













