相关产品推荐更多 >
万千商家帮你免费找货
0 人在求购买到急需产品
- 详细信息
- 技术资料
- 保存条件:
-20°C
- 保质期:
12个月
- 英文名:
5-AMINOALLYL-DUTP, SODIUM SALT, LYOPHILI 40020-1
- 库存:
99
- 供应商:
Biotium
- CAS号:
116840-18-7
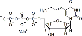
AA-dUTP是冻干粉形式,适合长时间运输。5-Aminoallyl-dUTP能够酶促地结合进DNA。含有胺基的DNA能够被荧光染料,生物素或者其他半抗原通过传统肽耦合的形式标记。这种两步法核酸标记法比使用预标记dUTP的一步法更经济。
5-Aminoallyl-dUTP (AA-dUTP) in lyophilized form suitable for long-term storage.
5-Aminoallyl-dUTP can be enzymatically incorporated into DNA. The resulting amine-containing DNA can be subsequently labeled with a fluorescent dye, biotin or other haptens via conventional peptide coupling method (1,2). This two-step method for labeling nucleic acids is considerably more economical than the one-step method using a prelabeled dUTP.
- White solid soluble in water
- Store at -20°C
- C12H17N3Na3O14P3
- MW: 589.17
- [116840-18-7]
AA-dUTP is also available as a 10 mM solution in TE buffer (catalog no. 40020).
风险提示:丁香通仅作为第三方平台,为商家信息发布提供平台空间。用户咨询产品时请注意保护个人信息及财产安全,合理判断,谨慎选购商品,商家和用户对交易行为负责。对于医疗器械类产品,请先查证核实企业经营资质和医疗器械产品注册证情况。
5-AMINOALLYL-DUTP, SODIUM SALT, LYOPHILI 40020-1
询价












