万千商家帮你免费找货
0 人在求购买到急需产品
- 详细信息
- 文献和实验
- 技术资料
- 提供商:
晶莱生物
- 服务名称:
人胰腺类器官模型构建
- 规格:
元
胰腺癌是消化道常见恶性肿瘤之一,在肿瘤领域有“癌症之W”的称号。据柳叶刀杂志记载,胰腺癌确诊后的五年生存率约为10%,是预后最差的恶性肿瘤之一。胰腺癌临床症状隐匿且不典型,是诊断和治疗都很困难的消化道恶性肿瘤。因此适用于研究胰腺癌生理特性和治疗方案的类器官模型,作为一种疾病模型和再生医学,在胰腺领域至关重要,也被越来越多的科研工作者所关注并使用。
目前, 类器官培养技术在很多器官(如胃、肠、肝、胆、脑等)中都取得了较好的进展。胰腺是人体内唯一的一个既是外分泌腺又是内分泌腺的特殊脏器。因此, 胰腺类器官技术的发展面临很大的挑战。
胰腺分为外分泌部和内分泌部两部分,外分泌腺由腺泡和腺管(导管)组成,内分泌腺由胰岛组成,外分泌腺是胰腺炎和胰腺导管腺癌(PDAC)的起源部位。我们对人类胰腺疾病(包括PDAC)的起源和进展的了解有限,因为虽然胰腺导管类器官和胰岛类器官技术日趋优化,但是体外培养中维持人腺泡和导管细胞存在挑战,如何构建复合型胰腺类器官仍是当前研究的难点。
胰腺类器官可以由健康的胰腺或胰腺肿瘤产生,并构成体外和体内模型之间的重要翻译桥梁。文章报道了人类多能干细胞对胰腺导管和腺泡类器官的诱导,这些类器官具有新生儿外分泌胰腺的特性。我们开发了一种可再生的导管和腺泡类器官来源,用于模拟外分泌发育和疾病,具体方案和操作如下:
培养方案:
1.细胞准备
胰腺祖细胞由研究团队从Hues-8 细胞中提取,收集S1+4 d诱导阶段的PP2细胞团,并用TrypLE解离成单细胞。将消化的细胞以1500 rpm离心5分钟,然后用含有5%基质胶的分化培养基重悬,最终细胞密度为50000/mL。将细胞悬液接种在预涂有100%基质胶的培养板中,每四天更换一次培养基,并补充5%基质胶。
2. 胰腺导管诱导
对于导管细胞诱导,分化(碱性)培养基培养基中含有DMEM,1% Pen-Strep,1% B-27,10 ng/mL FGF-1,50 μg/mL抗坏血酸,1 μM A 83-01,10 ng/mL FGF-10,1 ng/mL EGF。
I 期(第0-4天)导管培养基含有碱性培养基,并添加10 μM Y-27632、50 nM SB939、3 μM IWP-2、25 nM IQ-1、50 nM iCRT14、15 ng FGF-10、10 ng/mL FGF-2、5 ng/mL EGF。
Ⅱ期(第4-8天)导管培养基含有碱性培养基,并添加3 μM IWP-2、25 nM IQ-1、50 nM iCRT14、5 μM Y-27632。
III期(第8-12天)导管培养基含有碱性培养基,并添加3 μM IWP-2、25 nM IQ-1、50 nM iCRT14,0.1 μM XAV-939。
IV期(第12天)导管培养基含有碱性培养基,并添加3 μM IWP-2、5 nM IQ-1、10 nM iCRT14。

A. 导管样和腺泡样类器官诱导方案示意图 B. 16天培养期间类器官的相位对比图像(n = 3,独立培养),比例尺,50毫米

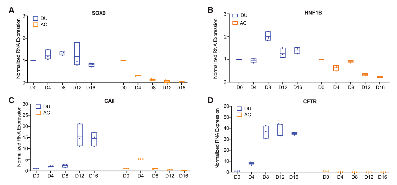
DUs和ac培养16天胰导管标志物SOX9 (A)、HNF1B (B)、CAII (C)、CFTR (D)的RNA表达。

免疫荧光检测sox9 (E)和CAII(F)无机物的表达
对于腺泡诱导,碱性培养基含有DMEM,1% Pen-Strep,1% B-27,10 ng/mL FGF-1,50 μg/mL抗坏血酸,1 μM A 83-01,10 ng/mL WNT1。
I 期腺泡(第 0-4 天)培养基含有碱性培养基,并添加10 μM Y-27632、3 μM SKL 2001、50 nM 地塞米松、0.3 μM CHIR-99021、50 nM XMU-MP-1、15 ng/mL WNT1、5 ng/mL FGF-2、1 ng/mL EGF、5 ng/mL FGF-10。
Ⅱ期(第4-8天)腺泡培养基含有碱性培养基,并添加3 μM SKL 2001、200 nM地塞米松、0.1μM LDN193189、50 nM XMU-MP-1。
III期(第8-12天)腺泡培养基含有碱性培养基,并添加3 μM SKL 2001、200 nM地塞米松、0.1 μM LDN193189、1 μM DBZ。
IV期(第12天)腺泡培养基含有碱性培养基,并添加0 .3 μM SKL 2001、25 nM地塞米松、0.1 μM DBZ。
对于TGF-β处理的实验,从第83天开始从培养基中去除A 83-01。

DUs和ac培养16天胰腺腺泡标记物PTF1A (G)、RBPJL (H)和CPA1 (I)的RNA表达


免疫荧光检测类器官中PTF1A (J)和CPA1 (K)的表达

晶莱生物服务流程
收费标准/服务周期/提供结果:
欢迎咨询详谈,我们会根据您的方案及需求制定详细的服务协议。
更多实验技术服务请浏览网站其他内容,或来电咨询!
做实验,找晶莱!您的科研生涯,我们一路相伴!
【平台项目开展范围】慢病毒,腺病毒,RNAi类,分子生物实验,病理实验,免疫学实验,细胞实验,动物实验,蛋白组学实验,芯片类实验,并为广大客户朋友们提供课题设计指导、基金申请指导等服务。
【北京公司】北京经济技术开发区科创十三街12号院德为科技园1号楼5层
【长沙公司】长沙市高新区麓谷大道627号新长海中心A1-1203室
【晶莱生物】已开展了数千个实验外包项目。我们专注于医学课题研究,已从课题申请、方案设计、试剂采购、模型构造、标本检测、数据分析,各个环节积累了数千个成功案例经验,为数千个来自临床的科研工作者解决了大量的科研问题。更多相关实验服务信息请咨询晶莱生物。
风险提示:丁香通仅作为第三方平台,为商家信息发布提供平台空间。用户咨询产品时请注意保护个人信息及财产安全,合理判断,谨慎选购商品,商家和用户对交易行为负责。对于医疗器械类产品,请先查证核实企业经营资质和医疗器械产品注册证情况。
文献和实验[1] Huang L, et al. Commitment and oncogene-induced plasticity of human stem cell-derived pancreatic acinar and ductal organoids. Cell Stem Cell. 2021 Jun 3;28(6):1090-1104.e6. doi: 10.1016/j.stem.2021.03.022. Epub 2021 Apr 28. PMID: 33915081; PMCID: PMC8202734.
在治疗前一年内胰岛素分泌检测不到,且有反复发生严重低血糖事件 (SHE) 的病史;治疗后,所有 6 名患者均表现出胰岛素分泌恢复、血糖控制改善、时间范围改善、外源性胰岛素使用减少或消除,并且在第 90 天后的评估期间完全没有发生不良反应【2】。 类器官是一项新兴技术,与动物模型相比,类器官可以完全是人类细胞来源的;与人源器官相比,类器官更容易获得,并且可以定向分化;与组织来源的原代细胞相比,类器官独有的多细胞类型和三维培养模式,能够更好地模拟体内的结构和功能【3】。 本篇文章基于 Nature
的分枝尖端,形成帽状间充质,促进帽状间充质中的肾祖细胞增殖分化,形成聚集(Pre-tubular aggregate,PA)。随后,PA 和 UB 分别进行间充质-上皮细胞转化(Mesenchymal-epithelial transition, MET)和小管生成,进而形成肾单位【2】。目前广泛用于肾脏研究的人肾脏细胞系忽略了细胞外微环境,与在体的器官类型和整体特性仍存在较大差异,不能充分体现出肾脏的作用及其特点,而三维培养的肾类器官模型为肾脏的研究提供了新途径。人源多能干细胞衍生的肾脏类器官
理解每种肝病的表型和损伤器官的机制,我们需要建立复杂的体外肝模型,以便于更好地进行肝脏相关的疾病和毒性研究。 本篇文章基于 Nature protocol【1】和 Journal of hepatology【2】发表的两篇文章,整理了人类诱导多能干细胞(human iPSCs)来源的肝脏类器官培养方案。 图 1. 人 iPSCs 来源的肝类器官培养方案【2】 细胞来源 Human iPSCs 培养基配方 MEFs培养基 iPSCs(I)培养基 iPSCs(II)培养
技术资料暂无技术资料 索取技术资料










