相关产品推荐更多 >
万千商家帮你免费找货
0 人在求购买到急需产品
- 详细信息
- 技术资料
- 保存条件:
Long term -20°C, Short term 4℃
- 库存:
大量
- 供应商:
北京辰辉创聚生物技术有限公司
- CAS号:
9067-32-7
- 规格:
1G/5G
| 规格: | 1G | 产品价格: | ¥1500.0 |
|---|---|---|---|
| 规格: | 5G | 产品价格: | ¥5800.0 |

| 产品信息
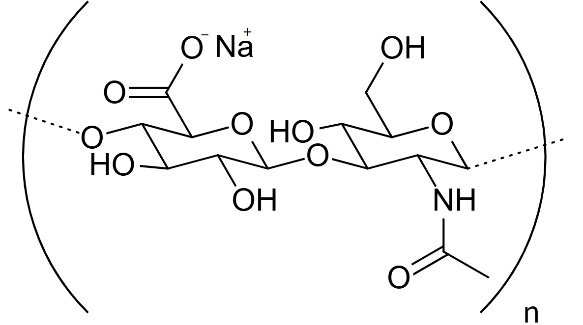
品名:NebuChem™ Sodium Hyaluronate (NaHy), 1200-1500kDa
货号:NBC-220007
品牌:Nebulabio
规格:1g; 5g; Bulk
| 产品描述
别名:Si-4402,Sl-1010,HA Sodium
化学名:(2S,3S,4R,5R,6R)-6-[(2S,3R,4R,5S,6R)-3-acetamido-2-[(2S,3S,4R,5R,6R)-6-[(2R,3R,4R,5S,6R)-3-acetamido-2,5-dihydroxy-6-(hydroxymethyl)oxan-4-yl]oxy-2-carboxy-4,5-dihydroxyoxan-3-yl]oxy-5-hydroxy-6-(hydroxymethyl)oxan-4-yl]oxy-3,4,5-trihydroxyoxane-2-carboxylic acid
CAS号:9067-32-7
分子式:(C14H22O11NNa)ₙH₂O
分子量:1200-1500kDa
外观:White powder
纯度:see COA
储存条件:Long term -20°C, Short term 4℃
For Research Use Only!
To get more information, please contact us freely.
风险提示:丁香通仅作为第三方平台,为商家信息发布提供平台空间。用户咨询产品时请注意保护个人信息及财产安全,合理判断,谨慎选购商品,商家和用户对交易行为负责。对于医疗器械类产品,请先查证核实企业经营资质和医疗器械产品注册证情况。
技术资料暂无技术资料 索取技术资料






