相关产品推荐更多 >

Aldehydel/CHO- Alginate 氧化海藻酸钠 醛基标记海藻酸钠 Alginate-CHO/Aldehydel
¥99
DSPE-PEG-AE105 AE105-PEG-DSPE DSPE-PEG-D-Cha-F-s-r-Y-L-W-S 磷脂-聚乙二醇-uPAR靶向肽
¥99
GGYAELRMGG MMP-11 激活响应系统 可被基质金属蛋白酶-11 特异性切割的功能性肽段
¥99
FITC-Pemetrexed 绿色荧光素标记培美曲塞 Pemetrexed-FITC 小分子化合物荧光标记
¥99
DSPE-PEG-MG1-RB RB-MG1-PEG-DSPE 磷脂-聚乙二醇-肿瘤靶向肽MG1-罗丹明
¥99
万千商家帮你免费找货
0 人在求购买到急需产品
- 详细信息
- 文献和实验
- 技术资料
- 库存:
1000
- 英文名:
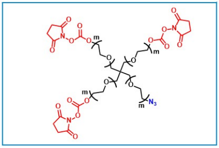
4arm PEG,1arm-Azide,3arm-NHS
- 保质期:
一年
- 供应商:
深圳市魅罗科技有限公司
- 保存条件:
-20°冷冻保存
- 规格:
50mg
4arm PEG,1arm-Azide,3arm-NHS 四臂聚乙二醇,一臂-叠氮, 三臂-活性脂
关键产品信息
中文名称: 四臂聚乙二醇三臂活性脂一臂叠氮
英文名称:4arm PEG,1arm-Azide,3arm-NHS
简称 : (NHS)3-4ARM-PEG-N3
品牌: 魅罗科技(MeloPEG)
结构:

纯度:95%以上
定制: N3 和 NHS 的比例可以任意比例定制
分子量: PEG2K、PEG5K、PEG10K、PEG20k,其他分子量咨询客服
注意事项
保持干燥
存储条件
-20℃以下冰冻、干燥
应用
(NHS)₃-4ARM-PEG-N₃ 是一种四臂PEG材料,结合三臂NHS用于快速胺偶联与一臂叠氮用于Click化学修饰的多功能交联平台。
化学反应:
NHS 与伯胺(–NH₂)发生酰胺化反应:通过活性酯(NHS ester)与胺基快速、高效形成稳定的酰胺键。
叠氮(N₃)与炔基发生 Click 反应:通过 CuAAC 或 SPAAC 与炔基分子实现高度选择性、定向的 1,2,3-三唑环连接。
作用:
三臂 NHS 提供强反应活性用于与蛋白、肽、小分子或基材中的胺基进行快速偶联,一臂叠氮则作为 Click 化学生物正交位点,用于与炔基探针、靶向配体或纳米结构进行特异性连接,从而构建兼具高效率偶联与精确功能化能力的多功能四臂 PEG 修饰平台。
相关目录:
(DBCO)3-4ARM-PEG-Maleimide 四臂聚乙二醇三臂二苯基环辛炔一臂马来酰亚胺
(DBCO)2-4ARM-PEG-(Maleimide)2 四臂聚乙二醇二臂二苯基环辛炔二臂马来酰亚胺
(Maleimide)3-4ARM-PEG-DBCO 四臂聚乙二醇三臂马来酰亚胺一臂二苯基环辛炔
(DBCO)3-4ARM-PEG-ACA 四臂聚乙二醇三臂二苯基环辛炔一臂丙烯-酰胺
(NH2)3-4ARM-PEG-NHBoc 四臂聚乙二醇三臂氨基一臂叔丁氧羰基氨基
(NH2)2-4ARM-PEG-(NHBoc)2 四臂聚乙二醇二臂氨基二臂叔丁氧羰基氨基
(NHBoc)3-4ARM-PEG-NH2 四臂聚乙二醇三臂叔丁氧羰基氨基一臂氨基
风险提示:丁香通仅作为第三方平台,为商家信息发布提供平台空间。用户咨询产品时请注意保护个人信息及财产安全,合理判断,谨慎选购商品,商家和用户对交易行为负责。对于医疗器械类产品,请先查证核实企业经营资质和医疗器械产品注册证情况。
文献和实验一、 实验设备 八臂迷宫(8-Arm Maze)用来检测药物或大脑受损状态下学习和记忆方面的表现,它由八个完全相同的臂组成,这些臂从一个中央平台放射出来,所以又被称为放射迷宫(Radial Maze)。八臂迷宫操作简便、可行,而且能区分短期的工作记忆和长期的参考记忆,现已被广泛用于学习记忆功能评价。 二、实验方法 1.动物适应实验环境1周后,称重,禁食24小时。此后每天训练结束后限制性地给予正常食料(据体重不同,大鼠16-20
等了 9 年,这种方法让中风患者成功恢复运动控制!Nat Med 最新研究迎来治疗新希望
导读 在全球范围内,25 岁以上的成年人中,有四分之一的人在一生中会经历中风,其中 75% 的人会在手臂和手的运动控制方面存在长期缺陷,严重限制他们的身体自主权,这将对个人和社会造成巨大的影响。这些运动缺陷持续存在的部分原因是目前的神经康复方法未能大幅减少上肢损伤。 慢性中风患者表现为典型的上肢运动综合征,源于皮质脊髓束 (CST) 的损伤,它破坏了皮层以及控制手臂和手运动的颈脊髓回路之间的连接。鉴于大多数情况下 CST 的损伤是不完全的,因此人们认为可以通过放大剩余 CST 的能力
分子在纯化时若无商品化的亲和填料可供选择,也可以利用预活化填料,按照说明书介绍的流程,自行偶联生物分子到填料上,形成独有的亲和填料,来分离纯化其对应的生物分子,如酶/底物、抗原/抗体等。如需要纯化某种单抗,可以将相应的抗原偶联到预活化填料NHS activated Sepharose 4FF或CNBr activated Sepharose 4FF上,然后通过亲和层析实验,就可以实现抗体的高纯度纯化。偶联配基时,需要考虑活化基团是否与填料匹配,以及填料本身是否带有间隔臂。如果偶联的配基是蛋白
技术资料暂无技术资料 索取技术资料




