相关产品推荐更多 >

GRADSPK-PEG-DSPE DSPE-PEG-GRADSPK Gly-Arg-Ala-Asp-Ser-Pro-Lys-PEG-DSPE 环肽-聚乙二醇-磷脂
¥99
DQIIANN CM7肽 具有高亲和力结合肿瘤相关受体c-Met的能力
¥99
DSPE-PEG-5-Hydroxytryptophan DSPE-PEG-5-HT 5-HT-PEG-DSPE 磷脂-聚乙二醇-5-羟基色氨酸
¥99
CPK peptide|CPKSNNGVC | 单羧酸转运蛋白1(MCT1)受体| H2N-Cys-Pro-Lys-Ser-Asn-Asn-Gly-Val-Cys
¥99
MMP-9特异性裂解多肽 GPLGLAGQC 用于检测酶活性和靶向药物递送
¥99
万千商家帮你免费找货
0 人在求购买到急需产品
- 详细信息
- 文献和实验
- 技术资料
- 库存:
1000
- 英文名:
(Tetrazine)2-4ARM-PEG-(DBCO)2
- CAS号:
N/A
- 保质期:
一年
- 供应商:
深圳市魅罗科技有限公司
- 保存条件:
-20℃以下冰冻、干燥
- 规格:
50mg
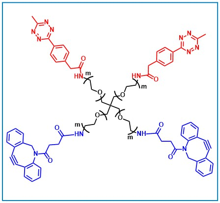
4arm PEG,2arm-DBCO,2arm-Tetrazine 四臂聚乙二醇,二臂-二苯基环辛炔 ,二臂-四嗪
关键产品信息
中文名称: 四臂聚乙二醇二臂二苯基环辛炔二臂四嗪
英文名称:4arm PEG,2arm-Tetrazine,2arm-DBCO
简称 : (Tetrazine)2-4ARM-PEG-(DBCO)2
品牌: 魅罗科技(MeloPEG)
结构:

纯度:95%以上
定制: DBCO 和Tetrazine的比例可以任意比例定制
分子量: PEG2K、PEG5K、PEG10K、PEG20k,其他分子量咨询客服
注意事项
保持干燥
存储条件
-20℃以下冰冻、干燥
应用
1. 基础结构特征
该载体以四臂 PEG 作为核心框架,每条臂均可独立携带官能团,构建出二臂 DBCO 与二臂 Tetrazine 的对称双功能分布结构。
2. PEG 主链优势
PEG 赋予材料良好的水溶性、生物相容性和化学稳定性,能降低非特异性吸附,并为多位点反应提供柔性链段与适度的空间距离。
3. DBCO 官能团性质
两臂 DBCO 可与叠氮(Azide)基团进行无铜点击反应(SPAAC),反应温和快速,无金属离子干扰,适用于蛋白、细胞及纳米材料的生物环境偶联。
4. Tetrazine 官能团性质
两臂 Tetrazine 可与 TCO 发生极快速的 IEDDA 生物正交反应,反应选择性高、条件温和,可用于快速标记、智能材料响应和交联构建。
5. 正交反应优势
DBCO–Azide 与 Tetrazine–TCO 两类点击反应互不影响,可在一个体系中独立操作,实现双通道、可控次序的反应设计。
6. 多臂结构的连接能力
四臂拓扑结构提供四个位点的分支能力,使载体可作为交联节点,用于生成网络结构、增加材料强度或实现多分子组装。
7. 应用于水凝胶和材料构建
双官能团分布与多臂拓扑结合,使其非常适合构建双网络水凝胶、动态交联体系或具有分级结构的生物材料。
8. 应用于生物修饰和递送体系
可用于双标签修饰、生物探针构建以及基于 PEG 的药物递送平台,通过正交反应实现多分子精准连接。
9. 反应顺序可调控
根据需求,可先进行 DBCO–Azide 反应或先进行 Tetrazine–TCO 反应,载体允许分别调控各自反应的时间、环境和目标分子。
相关目录:
(Alkyne)2-4ARM-PEG-(NHS)2 四臂聚乙二醇二臂炔基二臂活性脂
(NHS)3-4ARM-PEG-Alkyne 四臂聚乙二醇三臂活性脂一臂炔基
(Alkyne)3-4ARM-PEG-OH 四臂聚乙二醇三臂炔基一臂羟基
(NHS)3-4ARM-PEG-Maleimide 四臂聚乙二醇三臂活性脂一臂马来酰亚胺
(AC)3-4ARM-PEG-NHS 四臂聚乙二醇三臂丙烯酸酯一臂活性脂
(AC)2-4ARM-PEG-(NHS)2 四臂聚乙二醇二臂丙烯酸酯二臂活性脂
风险提示:丁香通仅作为第三方平台,为商家信息发布提供平台空间。用户咨询产品时请注意保护个人信息及财产安全,合理判断,谨慎选购商品,商家和用户对交易行为负责。对于医疗器械类产品,请先查证核实企业经营资质和医疗器械产品注册证情况。
文献和实验一、 实验设备 八臂迷宫(8-Arm Maze)用来检测药物或大脑受损状态下学习和记忆方面的表现,它由八个完全相同的臂组成,这些臂从一个中央平台放射出来,所以又被称为放射迷宫(Radial Maze)。八臂迷宫操作简便、可行,而且能区分短期的工作记忆和长期的参考记忆,现已被广泛用于学习记忆功能评价。 二、实验方法 1.动物适应实验环境1周后,称重,禁食24小时。此后每天训练结束后限制性地给予正常食料(据体重不同,大鼠16-20
一、实验 概述 八臂迷宫(radial arm maze )实验是最为常用的评价动物学习记忆能力的模型之一,由 Olton 等人于 20 世纪 70 年代中期建立。其基本依据是,控制进食的动物受食物的驱使对迷宫各臂进行探究,经过一定时间的训练,动物可记住食物在迷宫中的空间位置。该方法可同时测定动物的工作记忆( working memory )和参考记忆( reference memory )。 八臂迷宫操作简便、可行,而且能区分短期的工作记忆和长期的参考
先看下方两张图解,然后再进入正题。一、micoRNA 是什么?二、micoRNA 命名1. miRNA 简写成 miR-No,如 miR- 21。2. 高度同源的 miRNA 在 No。其后加英文字母,如 miR- 199a 和 miR- 199b。3. 由于不同染色体上的 DNA 序列转录加工而成的具有相同成熟序列的 miRNA,则在后面加上阿拉伯数字以区分。4. 如果一个前体的 2 个臂分别加工产生 miRNA,则在表达水平较低的 miRNA 后面加「*」,如 miR- 199
技术资料暂无技术资料 索取技术资料





