相关产品推荐更多 >
万千商家帮你免费找货
0 人在求购买到急需产品
- 详细信息
- 技术资料
- 库存:
10
- 供应商:
广州市左克生物
- 规格:
1g/10g/50g/100g
| 规格: | 1g | 产品价格: | ¥237.0 |
|---|---|---|---|
| 规格: | 10g | 产品价格: | ¥558.0 |
| 规格: | 50g | 产品价格: | ¥1929.0 |
| 规格: | 100g | 产品价格: | ¥3096.0 |
产品简介:
品牌:瀚海生物
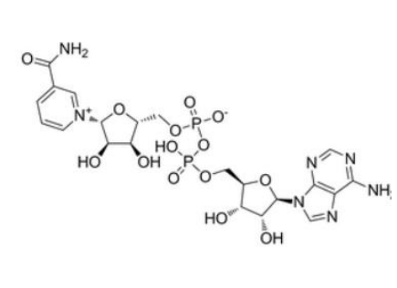
氧化型辅酶Ⅰ(NAD)
英文名称:β-Nicotinamide Adenine Dinucleotide(NAD)
货号:HH3101-01/HH3101-02/HH3101-03/HH3101-04
品牌介绍:
瀚海新酶成立于2015年,是专注于多肽药物、核酸药物、抗体与ADC药物、基因细胞治疗、生免诊断、分子诊断、生物传感器等应用领域核心原料、试剂、技术服务等“研、产、用、服”一体的高新技术企业,在上海、武汉、宜昌及美国加州设研发与营销中心,业务覆盖全球。
外观
白色粉末
结构式

分子式/分子量
C21H27N7O14P2/663.4
纯度
≥99 %(HPLC)
溶解性
易溶于水(参考浓度10mg/ml)
检测波长
λmax(显色波长)= 260nm
储存条件
2-8℃, 密封、干燥、避光保存,长时间建议在-25~-15℃避光保存。
保质期
2年
用途和用法
用于配制科研检测试剂。以NADH为指示系统和色素原底物,在340nm处有吸收峰,可
以检测乳酸脱氢酶,转氨酶等含量。
功能原理
β-NAD+是脱氢酶的辅酶,β-NAD+在反应过程中得到氢原子,自身还原成为NADH。NADH作为指示系统和色素原底物在340nm处有吸收峰,根据吸收程度可以检测指标物的含量。
优点
1)水溶性好;
2)稳定性好。
注意事项
材料仅用于体外诊断产品中,不得用于人体或体内实验。
风险提示:丁香通仅作为第三方平台,为商家信息发布提供平台空间。用户咨询产品时请注意保护个人信息及财产安全,合理判断,谨慎选购商品,商家和用户对交易行为负责。对于医疗器械类产品,请先查证核实企业经营资质和医疗器械产品注册证情况。
氧化型辅酶 I(NAD)
¥237 - 3096







