相关产品推荐更多 >
万千商家帮你免费找货
0 人在求购买到急需产品
- 详细信息
- 技术资料
- 库存:
9999
- 英文名:
Clara® Inhibitor-Tolerant Probe 1-Step Mix Hi-Rox
- 保质期:
2029 年 2 月 12 日
- 保存条件:
-20度冻存
产品概述
Clara® 抑制剂耐受性探针法预混液和一步法预混液是广谱抑制剂耐受性的 4× 预混液,分别用于探针法 qPCR 和一步法 RT-qPCR。即使存在 PCR 抑制剂,使用 Clara® 抑制剂耐受性探针法预混液也能实现尖端的 DNA 和 RNA 检测。这些广谱、抑制剂耐受性的 qPCR 预混液经过专业设计,能够克服来自实验室、环境和临床样本中的各种挑战性抑制剂,确保 DNA 检测结果可靠并简化工作流程。对于希望扩增 RNA 的终端用户,我们推荐 Clara® 抑制剂耐受性探针法一步法预混液。
产品特点
-
广谱抑制剂耐受性: 有效对抗多种PCR抑制剂。
-
4× 浓缩配方: 适合高通量和高度多重检测。
-
优异的RNA/DNA检测能力: 对RNA和DNA靶标均有高检测灵敏度。
-
低模板定量可靠: 可准确定量低丰度模板。
-
抗体介导的热启动技术: 提高反应特异性和灵敏度。
-
广泛的仪器兼容性: 兼容所有实时荧光PCR平台——标准和快速循环条件。
-
支持超快循环: 逆转录可短至3分钟,PCR变性1秒,退火/延伸3秒。
-
一步法配方: 包含修饰的 UltraScript® 逆转录酶和RNase抑制剂,单管操作。
应用领域
-
物种丰度定量
-
基因分型
-
等位基因鉴别
-
体外诊断试剂盒开发
-
单重及多重RNA/DNA检测
-
粗唾液样本qPCR
图1. 使用Clara®抑制剂耐受性探针法预混液检测DNA靶标。
使用Clara®抑制剂耐受性探针法预混液,在探针法qPCR反应中扩增γ-肌动蛋白的系列稀释液。使用了四种模板稀释度,每个靶标设三个技术重复,反应体系为20 μL。循环条件为:95°C 3分钟;随后95°C 10秒,60°C 20秒,共50个循环。Clara®抑制剂耐受性探针法预混液可成功扩增低至每反应0.25 pg/μL的cDNA靶标。
图2. 在有/无唾液情况下对DNA靶标进行四重检测。
使用Clara®抑制剂耐受性探针法预混液,在多重qPCR检测中扩增四个DNA靶标,比较存在人唾液(紫色)和不存在人唾液(蓝色)的情况。反应体系为20 μL,每个靶标/稀释度设三个技术重复。含唾液的反应中含有5 μL用通用转运培养基1/10稀释的唾液。循环条件为:95°C 3分钟;随后95°C 10秒,60°C 20秒,共50个循环。Clara®抑制剂耐受性探针法预混液即使在存在人唾液的情况下,也能在多重检测设置中成功扩增DNA靶标。
图3. 使用Clara®抑制剂耐受性探针法一步法预混液进行五重RNA靶标检测。
使用Clara®抑制剂耐受性探针法一步法预混液,在多重一步法RT-qPCR反应中扩增五个RNA靶标。每个稀释度设三个技术重复,反应体系为20 μL。循环条件为:47°C 10分钟,95°C 2分钟;随后95°C 10秒,60°C 30秒,共50个循环。Clara®抑制剂耐受性探针法一步法预混液在五重一步法RT-qPCR反应设置中,于标准循环条件下显示出高灵敏度和效率。
图4. 在有/无唾液情况下对病毒RNA靶标进行四重检测。
使用Clara®抑制剂耐受性探针法一步法预混液,在多重一步法RT-qPCR反应中扩增四个RNA靶标,比较存在人唾液(紫色)和不存在人唾液(蓝色)的情况。每个靶标设四个模板稀释度,每个稀释度三个技术重复,反应体系为20 μL。含唾液的反应中含有5 μL用通用转运培养基1/10稀释的唾液。循环条件为:47°C 10分钟,95°C 2分钟;随后95°C 10秒,60°C 30秒,共50个循环。Clara®抑制剂耐受性探针法一步法预混液即使在存在人唾液的情况下,也能在多重检测设置中成功扩增RNA靶标。

图5. Clara®抑制剂耐受性探针法一步法预混液与竞品的比较。
在存在人唾液的条件下,使用四种不同的预混液(包括Clara®)对四个RNA靶标进行多重一步法RT-qPCR反应比较。反应条件同上。Clara®抑制剂耐受性探针法一步法预混液在存在人唾液的多重检测设置中,其性能匹配或优于三种竞品。
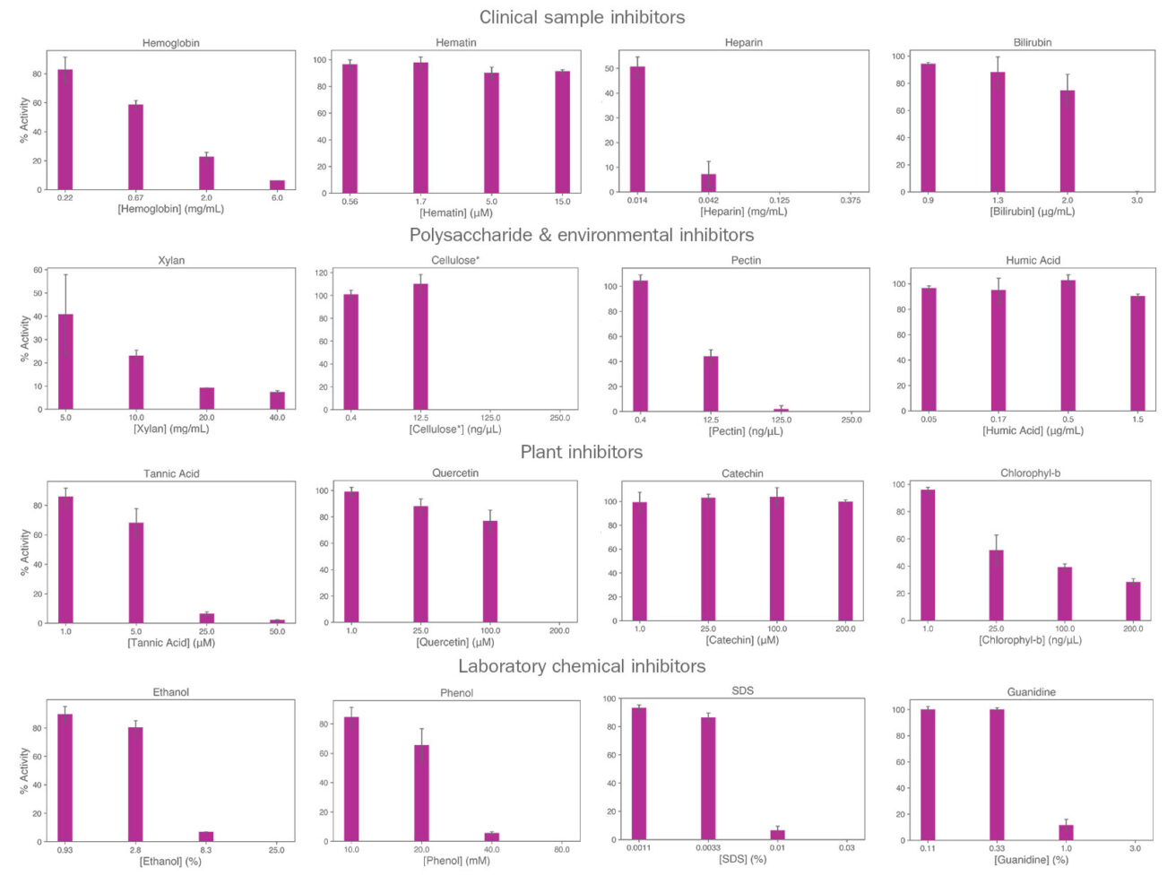
图6. Clara抑制剂耐受性化学在抑制剂存在下提供稳健性能。
使用Clara®抑制剂耐受性探针法一步法预混液,挑战递增浓度的各种临床、植物、环境和实验室化学抑制剂。根据未抑制的对照反应(100%活性)计算各抑制剂浓度存在下的活性百分比。PCR Biosystems的抑制剂耐受性化学在大多数测试抑制剂存在下均能提供稳健的qPCR性能。*纤维素在所用水性反应条件下不溶,以悬浮液形式加入。

风险提示:丁香通仅作为第三方平台,为商家信息发布提供平台空间。用户咨询产品时请注意保护个人信息及财产安全,合理判断,谨慎选购商品,商家和用户对交易行为负责。对于医疗器械类产品,请先查证核实企业经营资质和医疗器械产品注册证情况。
技术资料需要更多技术资料 索取更多技术资料









