相关产品推荐更多 >
万千商家帮你免费找货
0 人在求购买到急需产品
- 详细信息
- 文献和实验
- 技术资料
- 库存:
1000
- 英文名:
DSPE-PEG-VS
- CAS号:
N/A
- 保质期:
一年
- 供应商:
深圳市魅罗科技有限公司
- 保存条件:
-20℃以下冰冻、干燥
- 规格:
50mg
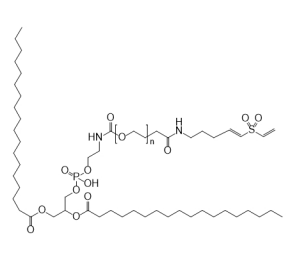
DSPE-PEG-Vinylsulfone DSPE-PEG-VS VS-PEG-DSPE 磷脂-聚乙二醇-乙-烯砜
关键产品信息
中文名称:磷脂-聚乙二醇-乙-烯砜
简称 : DSPE-PEG-VS
品牌: 魅罗科技(MeloPEG)
结构:

纯度:95%以上
注意事项
保持干燥
存储条件
-20℃以下冰冻、干燥
应用
DSPE-PEG-VS 是一种两亲性分子,具有脂质锚定和活性偶联功能,广泛用于靶向药物载体和生物偶联。
由以下三部分组成:
DSPE (1,2-二硬脂酰-sn-甘油-3-磷酸乙-醇胺):
疏水性: 具有两个长链脂肪酸(硬脂酸)基团,能够嵌入脂质双层或细胞膜。
膜锚定特性: 在脂质体或纳米载体中作为稳定结构单元。
PEG (聚乙二醇):
亲水性: 中间的疏水链段,赋予分子水溶性和生物相容性。
抗免疫清除: 减少蛋白吸附,延长循环时间。
Vinylsulfone (乙烯-砜):
活性基团: 末端带有乙-烯砜官能团(-CH=CH-SO₂-),是一种高反应性的共价偶联基团。
生物功能化: 可通过共价键与巯基(-SH)反应,常用于蛋白质、抗体或药物的偶联。
相关目录:
DSPE-PEG-Menthol 磷脂-聚乙二醇-薄荷醇
DSPE-PEG-Vitamin A 磷脂-聚乙二醇-视黄醇
DSPE-PEG-NOTA 磷脂-聚乙二醇-氮杂环-辛烷四乙酸
DSPE-PEG-DOTA 磷脂-聚乙二醇-四氮杂环配体
DSPE-PEG-Cyclodextrin 磷脂-聚乙二醇-环糊精
DSPE-PEG-β-CD 磷脂-聚乙二醇-β-环糊精
风险提示:丁香通仅作为第三方平台,为商家信息发布提供平台空间。用户咨询产品时请注意保护个人信息及财产安全,合理判断,谨慎选购商品,商家和用户对交易行为负责。对于医疗器械类产品,请先查证核实企业经营资质和医疗器械产品注册证情况。
文献和实验Angiogenic Vessel-Targeting DDS by Liposomalized Oligopeptides
of PEGylated liposomes, we synthesized a novel lipid derivative of the peptide, distearoylphosphatidylethanolamine–polyethyleneglycol–APRPG (DSPE–PEG–APRPG). The lipid derivative of APRPG peptide is expected to be readily incorporated into liposomal membrane
技术资料暂无技术资料 索取技术资料










