相关产品推荐更多 >

DWDSDWDGDPDYDS-PEG-DSPE DWSW-PEG-DSPE DSPE-PEG-DWSW 血脑肿瘤屏障穿透肽 -聚乙二醇-磷脂
¥99
4ARM-PEG-OPA 4ARM-PEG-o-Phthalaldehyde 邻苯二甲醛封端的四臂聚乙二醇
¥99
2607975-44-8 | F1324 | Ac-LWYTDIRMSWRVP-OH | 高亲和力的BCL6核酸序列 | BCL6抑制剂
¥99
DSPE-PEG-YPF DSPE-PEG-Tyr-Pro-Phe YPF-PEG-DSPE 磷脂-聚乙二醇-山羊乳源降血糖功能肽
¥99
DSPE-PEG-OGP DSPE-PEG-ALKRQGRTLYGFGG OGP-PEG-DSPE 磷脂-聚乙二醇-骨生长肽
¥99
万千商家帮你免费找货
0 人在求购买到急需产品
- 详细信息
- 文献和实验
- 技术资料
- 库存:
1000
- 英文名:
DSPE-PEG-DSB
- CAS号:
N/A
- 保质期:
一年
- 供应商:
深圳市魅罗科技有限公司
- 保存条件:
-20℃以下冰冻、干燥
- 规格:
50mg
Desthiobiotin-PEG-DSPE DSB-PEG-DSPE DSPE-PEG-DSB 脱硫生物素-聚乙二醇-磷脂
关键产品信息
中文名称:磷脂-聚乙二醇-脱硫生物素
简称 : DSPE-PEG-DSB
品牌: 魅罗科技(MeloPEG)
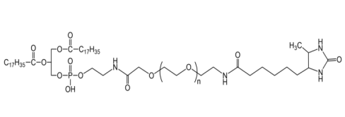
结构:

纯度:95%以上
注意事项
保持干燥
存储条件
-20℃以下冰冻、干燥
应用
DSPE-PEG-DSB由磷脂(DSPE)、聚乙二醇(PEG)和脱硫生物素(DSB)三部分组成,结合了膜锚定、长循环和功能化结合特性。
DSPE-PEG-DSB的特点与用途
1. 多功能修饰性:
DSPE部分能够稳定地嵌入脂质体或纳米颗粒的双层结构中,提供牢固的膜锚定能力。PEG链则有效增加了颗粒的水溶性和生物相容性,减少免疫清除。同时,DSB部分具有生物素类似物的特性,能够与链霉亲和素特异性结合,实现功能化分子或靶向分子的可逆连接。因此,DSPE-PEG-DSB具有较强的表面修饰能力和靶向模块化特性。
2. 长循环稳定性:
由于PEG的引入,DSPE-PEG-DSB修饰的纳米颗粒具有良好的抗体内清除特性。PEG能够有效屏蔽纳米颗粒表面的免疫原性,降低被网状内皮系统(RES)清除的概率,显著延长在体内的循环时间。这使其在药物递送和长效治疗中表现优异,尤其适合制备长循环靶向药物载体。
3. 间接靶向能力:
DSB并不具备直接靶向性,而是通过与链霉亲和素结合,间接连接靶向分子,如抗体或生物素化配体。这种模块化设计使DSPE-PEG-DSB成为多用途靶向平台,可根据需求快速更换结合分子。例如,通过链霉亲和素-生物素相互作用,可以将抗体、受体或配体连接到纳米颗粒表面,从而构建个性化靶向载体。
4. 多领域应用:
DSPE-PEG-DSB被广泛用于药物递送、分子成像和生物传感等领域。在药物递送中,它能够靶向特定细胞或组织,提高药物疗效并降低副作用。在分子成像方面,修饰荧光探针后可以用于体内实时成像和示踪。生物传感领域中,由于DSB-链霉亲和素的可逆结合特性,还可用于构建动态传感平台,实现分子检测和生物反应调控。
相关目录:
DSPE-PEG-Benzylguanine 磷脂-聚乙二醇-苄基鸟嘌呤
DSPE-PEG-Tyramine 磷脂-聚乙二醇-酪胺
DSPE-PEG-Cyclohexanedione 磷脂-聚乙二醇-环己二酮
DSPE-PEG-Vitamin A 磷脂-聚乙二醇-视黄醇
DSPE-PEG-Phosphorylethanolamine 磷脂-聚乙二醇-乙醇-胺磷酸酯
DSPE-PEG-DCA 磷脂-聚乙二醇-脱氧胆酸
风险提示:丁香通仅作为第三方平台,为商家信息发布提供平台空间。用户咨询产品时请注意保护个人信息及财产安全,合理判断,谨慎选购商品,商家和用户对交易行为负责。对于医疗器械类产品,请先查证核实企业经营资质和医疗器械产品注册证情况。
文献和实验Angiogenic Vessel-Targeting DDS by Liposomalized Oligopeptides
of PEGylated liposomes, we synthesized a novel lipid derivative of the peptide, distearoylphosphatidylethanolamine–polyethyleneglycol–APRPG (DSPE–PEG–APRPG). The lipid derivative of APRPG peptide is expected to be readily incorporated into liposomal membrane
技术资料暂无技术资料 索取技术资料





