相关产品推荐更多 >
万千商家帮你免费找货
0 人在求购买到急需产品
- 详细信息
- 文献和实验
- 技术资料
- 英文名:
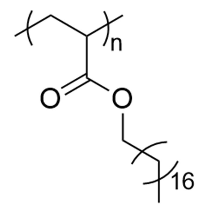
poly(octadecyl acrylate)
- 库存:
询盘
- 供应商:
上海阿拉丁生化科技股份有限公司
- CAS号:
25986-77-0
- 规格:
P774033-5g/P774033-25g/P774033-1g
| 规格: | P774033-5g | 产品价格: | ¥419.9 |
|---|---|---|---|
| 规格: | P774033-25g | 产品价格: | ¥1749.9 |
| 规格: | P774033-1g | 产品价格: | ¥100.9 |
英文名:poly(octadecyl acrylate)
纯度或规格:≥98%, 60kDa
SPU:P774033
CAS:25986-77-0
存储温度:-
运输条件:常规运输
查看阿拉丁官网此产品相关对应页面:
风险提示:丁香通仅作为第三方平台,为商家信息发布提供平台空间。用户咨询产品时请注意保护个人信息及财产安全,合理判断,谨慎选购商品,商家和用户对交易行为负责。对于医疗器械类产品,请先查证核实企业经营资质和医疗器械产品注册证情况。
文献和实验酸CAS:501-98-43.2 分子式:C9H8O33.3 结构式:3.4 相对分子量:164.20(按1987国际原子量)4、要求4.1 原材料要求4.1.1 原料对羟基苯甲醛为工业级,含量≥98%。4.1.2 丙二酸为工业级,含量≥98% ,4.1.3 甲醇 为工业级,含量≥95%。4.1.4 盐酸为工业级,含量 31%左右。4.1.5 自来水应符合城市供水要求。4.2 感官性状 4.2.1 本品为白色至淡黄色结晶粉末,具有本品特有的香气。化学性质稳定。 4.2.2 本品不溶
链在半胱氨酸和谷氨酸残基之间也有一个内硫酯键(Cys-S-CO-Glu)。此环状结构水解后,可形成一个转移性结合点,认为这是C3b由液相结合到固相上的结构条件,也是C3以缓慢的速率水解导致其构象改变出现能与B因子具有亲和力的“变构”C3b的分子基础。当C3转化酶从C3α链N端一个精氨酸-丝氨酸键(第77-78位)外将C3裂解后,可产生一个9kDa的小片段C3a(释放到液相中去),其余部分为C3b。同时,新生的C3bα`链内距N端5kDa的硫酯键断裂,在谷氨酰胺基上出现一个具有转酯作用的高度或多糖
等。 (2)无此数码谱:可能有以下原因:①此生化谱太不典型。②不能接受,鉴定值低(%id<80.0)。③可疑。需进一步确认是否纯培养,重新鉴定,可与供应商技术服务部联系。 3. 结果解释 (1)如果排序第一的细菌%id≥80.0,则可将未知菌鉴定在此条目中,并按%id值的大小对鉴定的可信度作出评价。%id≥99.9和T≥0.75为最佳的鉴定;%id 99.0~98.9之间,T≥0.5为很好的鉴定;%id 90
技术资料暂无技术资料 索取技术资料





![7-氯-1H-吡唑并[4,3-d]嘧啶,923282-64-8,≥97%,阿拉丁](https://img1.dxycdn.com/p/s14/2026/0106/692/8089956764445158002.jpg!wh200)




