相关产品推荐更多 >

DSPE-PEG-DRGDS DSPE-PEG-Asp-Arg-Gly-Asp-Ser DSPE-PEG-DRGDS 磷脂-聚乙二醇-环肽
¥99
SH-PEG-Se-Se-PCL PCL-Se-Se-PEG-Thiol/HS 巯基-聚乙二醇-双硒键-聚己内酯 ROS活性氧响应的材料
¥99
CGSPGWVRC-PEG-PLGA PLGA-PEG-CGSPGWVRC 肺归巢肽-聚乙二醇-聚乳酸-羟基乙酸共聚物
¥99
DSPE-PEG-TP508 磷脂-聚乙二醇-凝血酶肽 DSPE-PEG-AGYKPDEGKRGDACEGDSGGPFV
¥99
DSPE-PEG-YTSLIHSLIEESQNQQEKNEQELLELDKWASLWNWF (T20) T20-PEG-DSPE 磷脂-聚乙二醇-HIV融合抑制肽
¥99
万千商家帮你免费找货
0 人在求购买到急需产品
- 详细信息
- 文献和实验
- 技术资料
- 库存:
1000
- 英文名:
DSPE-PEG-NGR(Asn-Gly-Arg)
- CAS号:
N/A
- 保质期:
一年
- 供应商:
深圳市魅罗科技有限公司
- 保存条件:
-20°干燥避光
- 规格:
50mg
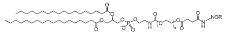
DSPE-PEG-NGR DSPE-PEG-Asn-Gly-Arg NGR-PEG-DSPE 磷脂-聚乙二醇-肿瘤血管归巢肽
关键产品信息
中文名称:磷脂-聚乙二醇-肿瘤血管归巢肽
简称 : DSPE-PEG-NGR(Asn-Gly-Arg)
品牌:魅罗科技(MeloPEG)
结构
纯度:95%+
注意事项
保持干燥
存储条件
-20℃以下冰冻、干燥
应用
DSPE-PEG-NGR(Asn-Gly-Arg)由三部分组成,具有多功能协同特性:DSPE 是一种磷脂分子,可嵌入脂质体结构中,提供良好的生物相容性与稳定性;PEG(聚乙二醇)连接 DSPE 与靶向肽,延长血液循环时间,提升载体的稳定性与隐蔽性;NGR(三肽 Asn-Gly-Arg)则能特异性识别肿瘤血管内皮或CD13阳性肿瘤细胞,实现精准靶向。这种结构设计兼具脂质体构建、长效递送和肿瘤主动靶向功能,适用于多种纳米药物系统的开发。
应用领域:
抗肿瘤药物靶向递送:用于递送如多柔比星、紫杉醇、顺铂等化疗药,提高肿瘤局部药物浓度,增强疗效,降低毒性。
抗肿瘤血管生成治疗(Anti-angiogenesis):靶向肿瘤新生血管,破坏其血供系统,是抗血管生成疗法(如与紫杉醇、雷珠单抗等联合)的理想工具。
靶向递送RNA或基因药物:将siRNA、miRNA、mRNA等封装进NGR修饰的载体中,可实现对肿瘤相关基因的高效沉默或表达。
肿瘤成像与诊断:通过修饰荧光探针或MRI对比剂,实现肿瘤血管的靶向成像,有助于早期诊断与术前评估。
多功能纳米系统开发平台:可作为“通用型靶向模块”广泛应用于多种纳米粒设计中,构建具备靶向、成像、治疗等多重功能的一体化系统。
相关目录:
DSPE-PEG-PTP 磷脂-聚乙二醇-胰腺癌靶向肽PTP(肿瘤靶向蛋白PTP)
DSPE-PEG-T7(HAIYPRH) 磷脂-聚乙二醇-转铁蛋白靶向肽HAIYPRH
DSPE-PEG-Octreotide 磷脂-聚乙二醇-奥曲肽/生长抑索受体靶向肽
DSPE-PEG-YIGSR 磷脂-聚乙二醇-抗黏附肽
DSPE-PEG-SP94 磷脂-聚乙二醇-肝癌特异靶向肽SP94
DSPE-PEG-M2pep 磷脂聚乙二醇M2型巨噬细胞靶向肽
DSPE-PEG-CREKA 磷脂-聚乙二醇-肿瘤血管靶向肽
风险提示:丁香通仅作为第三方平台,为商家信息发布提供平台空间。用户咨询产品时请注意保护个人信息及财产安全,合理判断,谨慎选购商品,商家和用户对交易行为负责。对于医疗器械类产品,请先查证核实企业经营资质和医疗器械产品注册证情况。
文献和实验Angiogenic Vessel-Targeting DDS by Liposomalized Oligopeptides
. At first, we introduce our strategies to identify objective peptides. We performed in vivo biopanning using a phage-displayed peptide library and identified Ala-Pro-Arg-Pro-Gly (APRPG) peptide as a ligand for angiogenic vessels. To modify APRPG peptide on the surface
技术资料暂无技术资料 索取技术资料




