相关产品推荐更多 >
万千商家帮你免费找货
0 人在求购买到急需产品
- 详细信息
- 文献和实验
- 技术资料
- 库存:
现询
- 英文名:
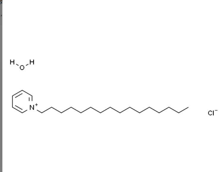
Cetylpyridinium Chloride Monohydrate
- CAS号:
6004-24-6
- 保质期:
Powder:2-8℃,2 years;Insolvent(母液):-20℃,6 months;-80℃,1 year
- 供应商:
北京索莱宝科技有限公司
- 保存条件:
Powder:2-8℃,2 years;Insolvent(母液):-20℃,6 months;-80℃,1 year
- 规格:
500mg/10mM*1mL in Water
| 规格: | 500mg | 产品价格: | ¥250.0 |
|---|---|---|---|
| 规格: | 10mM*1mL in Water | 产品价格: | ¥400.0 |
CAS:6004-24-6
分子式:C21H38ClN·H2O
分子量:358
纯度:HPLC≥98%
靶点:Bacterial



风险提示:丁香通仅作为第三方平台,为商家信息发布提供平台空间。用户咨询产品时请注意保护个人信息及财产安全,合理判断,谨慎选购商品,商家和用户对交易行为负责。对于医疗器械类产品,请先查证核实企业经营资质和医疗器械产品注册证情况。
文献和实验Ultrasound-Activated Probiotics Vesicles Coating for Titanium Implant Infections Through Bacterial Cuproptosis-Like Death and Immunoregulation
|
AuthorShuoyuan Li, Yan Yue, Wenqi Wang, Mingyue Han, Xufeng Wan, Qiaochu Li, Xiaoting Chen, Jian Cao, Yangming Zhang, Jiyao Li, Jianshu Li, Lei Cheng, Jiaojiao Yang, Duan Wang, Zongke Zhou
|
Publish_toADVANCED MATERIALS
|
|
IF27.4000
|
PMID39101293
|
为底栖生物的植物之总称。大型的底栖植物,在海中除绿藻、褐藻、红藻以外,还有大叶藻、 Phyll-ospadix等少数水中显花植物。在淡水中主要有眼子菜属( Potamogeton)、茨藻属( Najas)、水鳖属( Hydrocharis)等显花植物和轮藻属( Chara)。在水底生根,并在水中能显著向上伸展的植物,特称之为水底生根植物( rhizobenthos)。细小的硅藻、蓝藻在海洋和淡水中都有,除水底表面以外,有许多是在其他植物体和岩石上附着生活,称为附生藻类
本公司产品质量已通过国家认证,水质已通过国家卫生部认可主要产品有:水处理设备,矿泉水设备,反渗透设备,学生饮水工程,IC智能卡学生饮水机,直饮水工程,分质供水工程,纯净水厂加盟,灌装设备,矿泉水大小灌装线,家用纯水机,净水机,RO纯水机,加水站,投币饮水机,投币直饮机,售水机,售水站,自动售水机,自动售水投币饮水机,自动投币纯水机,投币纯水机,活水机,投币活水机,自动买水机,自动加水站等,现诚征全国各地区的代理,加盟与买断。
感染李氏杆菌的风险比常人高20倍,并且病菌会感染新生儿。 研究人员指出,虽然上述发现由动物实验得出,但人体内也具有类似的生化机制。因此,这一成果对研制用于人类的抗感染药物有重要意义。 Nature,doi:10.1038/nature07303,Olivier Disson, Marc Lecuit Conjugated action of two species-specific invasion proteins for fetoplacental












